预测成功率超80%!康奈尔大学提出创新AI框架,解码高导电性锂离子电解质的化学机制
来自康奈尔大学的研究团队开发了一种稳健、可解释且数据高效的框架 SCAN,用于盐–溶剂化学的建模与解释。该框架能够有效处理长尾数据,并捕捉盐–溶剂配方的完整谱系。研究人员将 SCAN 应用于非水电解质(NAE)体系,在电导率预测上实现了 0.372 mS·cm⁻¹ 的基准误差,相较基线模型将预测误差降低了 65.3%。
随着新能源电池市场的快速扩张,尤其是锂离子电池、固态电池和高能量密度电池的广泛应用,电解质性能的优化成为决定电池安全性、效率和寿命的关键因素。
盐–溶剂化学支撑着大多数锂离子电池体系中的电解质行为,决定了离子电导率、黏度和化学稳定性等关键性质。然而,其理性设计受到巨大化学空间的限制,该空间涵盖了无数种组合以及非线性的结构–性能耦合关系,而稀疏且分布不均衡的实验数据进一步加剧了这一问题,阻碍了模型的泛化能力。近年来,人工智能驱动的自主电解质发现虽然取得了一些进展,但现有研究仍明显缺乏统一的计算范式,能够在探索组合规模巨大的电解质配方所覆盖的广阔化学空间的同时,保持内在的可解释性。
在此背景下,来自康奈尔大学的研究团队开发了一种稳健、可解释且数据高效的框架 SCAN,用于盐–溶剂化学的建模与解释。该框架能够有效处理长尾数据,并捕捉盐–溶剂配方的完整谱系。研究人员将 SCAN 应用于非水电解质(NAE)体系,在电导率预测上实现了 0.372 mS·cm⁻¹ 的基准误差,相较基线模型将预测误差降低了 65.3%。
更重要的是,大规模验证表明,模型对排名靠前候选体系的预测成功率达到 81.08%。除预测能力外,SCAN 通过引入梯度解耦方法、符号回归和量子化学计算,揭示了分子柔性和离子–溶剂相互作用对电导率影响的化学机理。
相关研究成果以「A dynamic routing-guided interpretable framework for salt–solvent chemistry」为题,已发表于 Nature Computational Science。
研究亮点:
* SCAN 弥补了高性能 NAE 盐–溶剂化学研究中的关键空白
* 受原子中心势能面模型启发,研究开发了具有以描述符为中心的专用表征和注意力机制的多特征网络(MFNet)
* 创新性地在 MFNet 中引入动态路由策略,使模型能够在不改变原始数据分布的情况下,对广泛范围的离子电导率实现准确预测

论文地址:
https://www.nature.com/articles/s43588-026-00955-5
关注公众号,后台回复「SCAN」获取完整 PDF
数据维度覆盖广泛
为了训练高精度的 SCAN 模型,研究团队构建了CALiSol 数据集,包括 13 种锂盐、38 种有机溶剂(如下图),共计 13,302 条完整数据。

13 种锂盐的化学结构及38 种有机溶剂的化学结构
数据维度覆盖广泛,每个数据点包含以下内容:
* 离子电导率 k:0–38.1 mS/cm
* 温度 T:194.15–477.42 K
* 盐浓度 c:0–4 mol/L 或 mol/kg
* 锂盐类型:LiPF₆、LiTFSI、LiFSI、LiBOB 等共 13 种
* 溶剂类型:包括碳酸乙烯酯(EC)、甲基乙基碳酸酯(EMC)、丙腈(AN)等多种
* 混合策略 SRT:按摩尔、体积或质量比例
所有锂盐与溶剂的分子信息通过 SMILES 序列转化为三维分子坐标,并在 B3LYP/6-31G 理论水平下进行了几何优化,确保分子结构和电子性质精确可靠。通过这种方法,数据集不仅提供离子电导率值,还包括每个体系的分子特征、结构信息和溶剂化环境,为 AI 模型提供丰富输入,兼顾数据完整性与科学可解释性。
在数据集构建过程中,研究团队特别关注了长尾分布(Long-Tailed Data, LTD)问题:高导电率体系数量有限,而大多数体系电导率偏低——9,115 个 NAE(约 68.5%)的 k < 5 mS·cm⁻¹,而仅有 67 个(约 0.5%)的 k > 20 mS·cm⁻¹。
SCAN:采用 MFNet 与动态路由机制
SCAN 是一种由动态路由引导的 NAE 工程平台,下图示意了其完整工作流程:
分析(Analysis)
构建一个高保真实验数据集,涵盖多种锂盐、溶剂及实验条件的组合,对各变量进行了统计分析,包括对 k 值长尾分布的表征。
设计(Design)
为锂盐和溶剂分别设计了具有化学信息的分子指纹,并结合条件编码,以准确表征盐–溶剂–条件组合。
学习(Learn)
开发定制的多特征融合网络(MFNet)用于预测 NAEs 的 k 值;通过查询(query)、键(key)和值(value)嵌入构建独立注意力模块,分别处理盐、溶剂和条件的表征,随后利用全连接神经网络进行融合;此外,引入动态路由策略以提升模型性能与鲁棒性。
预测(Predict)
构建高通量筛选流程,从超过一千万种盐–溶剂组合中识别有潜力的 NAEs。对预测 k 值较高的候选体系进一步通过分子动力学(MD)模拟进行验证,包括能量最小化(EM)、正则系综(NVT)、等温等压系综(NPT)、MD 生产模拟、均方位移(MSD)分析以及径向分布函数(RDF)计算。

SCAN:一种由动态路由引导的 NAE 工程平台
MFNet 和动态路由机制是整个框架的核心,具体机制如下:
MFNet:多通道自注意力网络
MFNet(Molecular Feature Network)框架受原子中心势能面模型启发,将网络分为 3 个独立子网,分别处理:
* 锂盐子网:在 CALiSol 数据集中,每个 NAE 仅包含一种锂盐,因此其描述符向量直接输入到锂盐子网中
* 溶剂子网:由于部分数据点涉及多种溶剂(例如 PC 与 AN 按 0.9:0.1 混合),计算这些溶剂描述符的平均值作为输入,以反映整体溶剂环境
* 条件子网:处理温度、浓度等实验条件
在自注意力模块之后,两个全连接隐藏层用于逐步投影和非线性转换输入,生成高维特征以增强后续处理的表现力。层间使用 ReLU 非线性激活函数进一步提升模型的表示能力。
最终网络架构如下:锂盐子网(14–16–16)、溶剂子网(14–16–16)和条件子网(6–16–16)。具有内在维度(特征维度 <128)的潜在输出被送入加权融合模块,计算加权输出,同时保留输入特征的全局依赖信息。由于锂盐、溶剂和条件的编码分别由3 个子网独立处理,使用单头自注意力(SHA)可轻量化处理小规模特征数据(分别为 14、14 和 6 维),非常适合嵌入维度较小的任务。
动态路由机制:解决长尾数据问题
在长尾分布下,数据样本主要集中于「头部区域」,而「尾部区域」样本稀缺。然而传统模型往往对头部样本过拟合而忽略尾部区域,导致关键但稀缺化学空间探索不足。为解决这一问题,本研究在 MFNet 中引入动态路由策略。不同于对所有样本一视同仁的标准架构,动态路由通过学习软门控机制,根据层输入自适应地为不同层分配不同表征能力,如下图:

动态路由层的前向传播过程
该机制使稀有样本能够激活不同的路由路径并促进条件计算,从而提升对低频类别的泛化能力,其两大关键特性为:
* 输入依赖的路由权重:即针对每个样本选择特征子空间,而无需修改原始损失函数或数据分布;
* 类别自适应特征解耦:即显式建模主导类别与尾部类别的差异,表明动态路由比单纯的静态损失重塑提供了更灵活、可解释的 LTD 解决方案。
可解释性:GBA 与符号回归
SCAN 在准确预测离子电导率的同时,提供化学可解释性:
* GBA(Gradient-based Attribution):由于 SCAN 模型采用三并行注意力神经网络框架,其决策过程的可视化相比树模型更为复杂,为了识别影响 k 的关键化学因素,采用了 GBA 方法来评估特征重要性——计算每个输入特征对模型输出的梯度贡献,识别最关键的锂盐、溶剂及条件特征
* 符号回归(Symbolic Regression):为了发现关键 Li 盐、溶剂及条件信息与 kkk 之间的可解释函数关系,采用了基于 PySRRegressor 的符号回归方法。
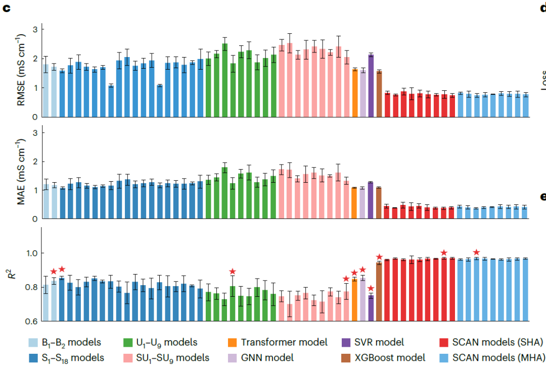
SCAN 模型持续优于所有基线模型
为全面评估采用 MFNet 与动态路由的 SCAN 框架性能,研究人员构建了四类基于 MFNet 的基线模型,均不包含动态路由:(1)基础 MFNet 模型:B1(未经预处理的描述符)和 B2(经最大值缩放处理的描述符);(2)结合少数类过采样技术 SMOTE 的 MFNet 模型:S1–S18;(3)结合 K 最近邻欠采样技术(KUTE)的 MFNet 模型:U1–U9;(4)同时结合 SMOTE 和 KUTE 的 MFNet 模型:SU1–SU9。
同时采用基于 Transformer 的模型、图神经网络(GNN)、支持向量回归(SVR)和极端梯度提升(XGBoost)作为基线比较,如下图所示。此外,还实现了采用单头注意力(SHA)或多头注意力(MHA)结构以及不同动态路由层数(η = 2–10)的 SCAN 模型以验证模型鲁棒性。

基线模型性能
NAE 评估性能
如下图的结果显示,采用 SHA(η = 9)的 SCAN 模型持续优于所有基线模型,具有显著更低的预测误差(RMSE 0.769 mS·cm⁻¹,MAE 0.372 mS·cm⁻¹)和更高的 R²(0.969)。值得注意的是,相比 MAE 表现最佳的基线 GNN(1.072 mS·cm⁻¹),误差降低了 65.3%。采用 MHA(η = 4)的 SCAN 性能与 SHA 版本相当,表明 MFNet 与动态路由集成具有良好鲁棒性。

在不同动态路由层数(η)下,采用单头注意力(SHA)与多头注意力(MHA)架构的 SCAN 模型性能对比评估
此外,研究人员绘制了 SCAN 与代表性基线模型在 1,000 个训练周期中的验证损失曲线,如下图。从训练初期开始,SCAN 的预测误差明显低于基线模型,初始损失仅为 4.59 mS·cm⁻¹,并且其验证损失持续下降并收敛至更低水平,表明其稳定性与泛化能力更强。

训练损失轨迹
高通量 NAE 筛选能力
高精度 SCAN 可高效探索扩展的 NAE 化学空间,为此,研究人员开发了高通量筛选流程(如下图),旨在识别高 k NAEs,据此生成了包含 11,515,140 种潜在双溶剂 NAE。

NAE 化学空间构建
利用 SCAN 的预测能力,快速识别出 56,092 个 k ≥ 15 mS·cm⁻¹ 的 NAE,其中 18,662 条预测不确定性较低(<3 mS·cm⁻¹)。该流程大幅降低了分子动力学模拟及实验的计算与成本负担。
候选非水电解质(NAEs)的验证
为了严格验证预测结果,研究人员进行了分子动力学(MD)模拟以获得 k 值。根据温度(T)、浓度(c)和实际条件,其将 MD 验证范围缩小至基于 LiFSI、LiTFSI 和 LiBOB 的 NAE 候选体系,最终选择 37 个有前景的体系进行详细研究,如下图:

NAE 发现的高通量筛选流程框架
每个体系的平均计算时间约为 10 小时(36,355.12 秒),模拟 10⁷ 个候选体系的预计成本约为 10⁸ GPU 小时——即便在理想高性能计算条件下,也远超暴力 MD 筛选的实际能力。相比之下,训练良好的 SCAN 模型,从描述符计算到最终预测,每个候选体系所需时间不足 5 秒,计算成本降低超过 7,200 倍,大幅提升了可扩展性和效率。这凸显了 SCAN 框架在 NAE 发现中的必要性,其代理模型能够以极低的计算成本快速优先筛选高性能候选。
下图 b(基于 LiFSI 和 LiTFSI 的 NAEs)和下图 a(基于 LiBOB 的 NAEs)展示了 MD 模拟得到的均方位移(MSD)随时间变化曲线及相应扩散系数。所有体系的 MSD 均呈稳定线性增长,表明模拟稳定且收敛。SCAN 预测的 k 值与 MD 模拟结果对比显示高度一致,所有体系的平均偏差仅为 3.198 mS·cm⁻¹,最大偏差为 7.342 mS·cm⁻¹。在验证体系中:25 个体系的 k > 15 mS·cm⁻¹,成功率为 67.57%。对于预测 k > 14 mS·cm⁻¹ 的体系,验证成功率上升至 81.08%。

MSD 曲线

MSD 曲线
人工智能正在重塑电池研发的底层范式
电池作为消费电子、电动汽车、电网储能系统等关键应用的核心支撑,正推动着全球可持续能源转型。提升能量密度与功率密度、延长循环寿命、增强安全性及降低制造成本,是电池研发领域的核心目标,而实现这些目标的关键,在于深入理解电池内部的电化学机制,具体包括电化学界面反应及稳定机制、电子与离子等物质的耦合传输,以及下一代电极材料的储能机制。
从更宏观的技术演进路径来看,SCAN 框架所代表的「数据驱动 + 可解释建模」范式,正成为新一代电池研发体系的重要组成部分。过去几十年,电池材料体系的创新主要依赖经验驱动与试错实验,研发周期长、成本高,而随着机器学习与高通量计算的融合,电池研发正变得愈发高效。
例如,字节跳动 Seed 团队 Wen Yan 和 Sheng Gong 等人开发了一个用于电解液配方设计的统一框架,整合了正向预测模型与逆向生成方法。研究人员广泛收集了具有性质标签的单一分子(超过 240,000 个)与分子混合物(超过 10,000 个)的文献数据,从而广泛覆盖电解质设计空间。通过进一步纳入超过 100,000 个来自分子动力学模拟的分子混合物数据,得以训练一个不仅能预测电导率、还能预测与锂金属电池界面稳定性相关的溶化结构的精确机器学习模型。
论文标题:A unified predictive and generative solution for liquid electrolyte formulation
论文链接:
https://www.nature.com/articles/s42256-025-01173-w
总体而言,人工智能正在重塑电池研发的底层范式,随着模型与实验体系的深度融合,未来电池材料的发现速度和创新密度有望进入一个新的加速周期。
参考文献:
https://www.nature.com/articles/s43588-026-00955-5
https://phys.org/news/2026-02-ai-framework-reveals-chemistry-high.html
https://static-content.springer.com/esm/art%3A10.1038%2Fs43588-026-00955-5/MediaObjects/43588_2026_955_MOESM1_ESM.pdf
https://www.eet-china.com/mp/a471613.html
更多推荐



所有评论(0)