Day 52 神经网络调参指南
"""自定义权重初始化函数Args:model: PyTorch模型init_type: 初始化类型 ('xavier', 'kaiming', 'normal')"""# 使用示例print("使用Kaiming初始化后的模型权重统计:")print(f"自定义权重初始化函数Args:model: PyTorch模型init_type: 初始化类型 ('xavier', 'kaiming', '
·
文章目录
Day 52 · 神经网络调参指南
本节将系统介绍神经网络中的关键调参技术,帮助大伙理解和掌握模型训练的核心概念。
1. 随机种子
1.1 为什么需要随机种子?
在深度学习中,存在多个随机性来源:
| 来源 | 说明 |
|---|---|
| 权重初始化 | 权重和偏置的随机初始值 |
| 数据加载 | Shuffle打乱、随机批次加载 |
| 数据增强 | 随机旋转、缩放、平移、裁剪等 |
| Dropout | 随机正则化 |
| 优化器 | 某些优化器的随机性 |
设置随机种子可以确保实验可重复性,让每次训练得到相同的结果。
import torch
import torch.nn as nn
# 定义一个简单的线性模型
# 输入2个维度,输出1个维度
class SimpleNet(nn.Module):
def __init__(self):
super(SimpleNet, self).__init__()
# 线性层:y = w1*x1 + w2*x2 + b
self.linear = nn.Linear(2, 1)
def forward(self, x):
return self.linear(x)
# 创建模型实例(每次运行权重不同)
model = SimpleNet()
# 查看模型参数
print("模型参数(未设置种子,每次运行可能不同):")
for name, param in model.named_parameters():
print(f"{name}: {param.data}")
模型参数(未设置种子,每次运行可能不同):
linear.weight: tensor([[0.4258, 0.4165]])
linear.bias: tensor([0.1695])
1.2 设置全局随机种子
以下函数可以设置所有常见的随机种子,确保实验可重复:
import torch
import numpy as np
import os
import random
def set_seed(seed=42, deterministic=True):
"""
设置全局随机种子,确保实验可重复性
Args:
seed: 随机种子值,默认为42
deterministic: 是否启用确定性模式,默认为True
"""
# 1. Python内置random模块
random.seed(seed)
# 2. 环境变量(确保哈希函数一致性)
os.environ['PYTHONHASHSEED'] = str(seed)
# 3. NumPy随机种子
np.random.seed(seed)
# 4. PyTorch CPU随机种子
torch.manual_seed(seed)
# 5. PyTorch GPU随机种子
torch.cuda.manual_seed(seed)
torch.cuda.manual_seed_all(seed) # 多GPU情况
# 6. cuDNN确定性配置
if deterministic:
torch.backends.cudnn.deterministic = True
torch.backends.cudnn.benchmark = False
# 设置随机种子
set_seed(42)
# 验证效果:现在每次运行结果相同
model = SimpleNet()
print("模型参数(设置种子后,每次运行相同):")
for name, param in model.named_parameters():
print(f"{name}: {param.data}")
模型参数(设置种子后,每次运行相同):
linear.weight: tensor([[0.5406, 0.5869]])
linear.bias: tensor([-0.1657])
2. 权重初始化
2.1 为什么权重初始化很重要?
神经网络权重的初始值会直接影响训练效果:
问题1:对称性问题
- 如果所有权重相同(包括全0),同一层的所有神经元输出相同
- 反向传播时梯度也相同,导致无法学习不同特征
问题2:梯度消失/爆炸
- 权重过小 → 信号逐层衰减 → 梯度消失
- 权重过大 → 信号逐层放大 → 梯度爆炸
import torch
import torch.nn as nn
# 演示梯度消失问题
def demo_gradient_problem():
"""展示权重初始化对梯度的影响"""
# 定义深层网络
class DeepNet(nn.Module):
def __init__(self, init_scale):
super().__init__()
layers = []
for _ in range(10): # 10层网络
linear = nn.Linear(100, 100, bias=False)
# 使用指定的初始化尺度
nn.init.normal_(linear.weight, mean=0, std=init_scale)
layers.append(linear)
layers.append(nn.Tanh())
self.net = nn.Sequential(*layers)
def forward(self, x):
return self.net(x)
# 测试不同初始化尺度
for scale in [0.01, 0.1, 1.0]:
model = DeepNet(scale)
x = torch.randn(1, 100)
output = model(x)
print(f"初始化std={scale}: 输出均值={output.mean().item():.6f}, 输出std={output.std().item():.6f}")
demo_gradient_problem()
初始化std=0.01: 输出均值=-0.000000, 输出std=0.000000
初始化std=0.1: 输出均值=-0.003439, 输出std=0.158675
初始化std=1.0: 输出均值=-0.104992, 输出std=0.953832
2.2 常见初始化方法
| 方法 | 公式 | 适用场景 |
|---|---|---|
| 零初始化 | W = 0 | ❌ 不推荐(对称性问题) |
| 随机初始化 | W ~ N(0, 0.01) | 浅层网络 |
| Xavier/Glorot | W ~ N(0, √(2/(n_in+n_out))) | Sigmoid/Tanh |
| He/Kaiming | W ~ N(0, √(2/n_in)) | ReLU |
import torch
import torch.nn as nn
import matplotlib.pyplot as plt
plt.rcParams['font.sans-serif'] = ['SimHei']
plt.rcParams['axes.unicode_minus'] = False
# 演示不同初始化方法
def compare_init_methods():
"""比较不同初始化方法的权重分布"""
fig, axes = plt.subplots(2, 2, figsize=(10, 8))
axes = axes.flatten()
# 1. 常数初始化(不推荐)
layer1 = nn.Linear(100, 100)
nn.init.constant_(layer1.weight, 0.01)
axes[0].hist(layer1.weight.data.numpy().flatten(), bins=50)
axes[0].set_title('常数初始化 (不推荐)')
# 2. 随机正态初始化
layer2 = nn.Linear(100, 100)
nn.init.normal_(layer2.weight, mean=0, std=0.01)
axes[1].hist(layer2.weight.data.numpy().flatten(), bins=50)
axes[1].set_title('随机正态初始化 (std=0.01)')
# 3. Xavier初始化(适用于Sigmoid/Tanh)
layer3 = nn.Linear(100, 100)
nn.init.xavier_normal_(layer3.weight)
axes[2].hist(layer3.weight.data.numpy().flatten(), bins=50)
axes[2].set_title('Xavier初始化 (Sigmoid/Tanh)')
# 4. He初始化(适用于ReLU)
layer4 = nn.Linear(100, 100)
nn.init.kaiming_normal_(layer4.weight, mode='fan_in', nonlinearity='relu')
axes[3].hist(layer4.weight.data.numpy().flatten(), bins=50)
axes[3].set_title('He/Kaiming初始化 (ReLU)')
plt.tight_layout()
plt.show()
compare_init_methods()

2.3 自定义初始化函数
import torch.nn as nn
def init_weights(model, init_type='kaiming'):
"""
自定义权重初始化函数
Args:
model: PyTorch模型
init_type: 初始化类型 ('xavier', 'kaiming', 'normal')
"""
for name, param in model.named_parameters():
if 'weight' in name:
if init_type == 'xavier':
nn.init.xavier_normal_(param)
elif init_type == 'kaiming':
nn.init.kaiming_normal_(param, mode='fan_in', nonlinearity='relu')
elif init_type == 'normal':
nn.init.normal_(param, mean=0, std=0.01)
elif 'bias' in name:
nn.init.constant_(param, 0)
return model
# 使用示例
class MLP(nn.Module):
def __init__(self):
super().__init__()
self.fc1 = nn.Linear(784, 256)
self.fc2 = nn.Linear(256, 10)
self.relu = nn.ReLU()
def forward(self, x):
x = self.relu(self.fc1(x))
return self.fc2(x)
model = MLP()
model = init_weights(model, 'kaiming')
print("使用Kaiming初始化后的模型权重统计:")
for name, param in model.named_parameters():
if 'weight' in name:
print(f"{name}: mean={param.mean():.4f}, std={param.std():.4f}")
使用Kaiming初始化后的模型权重统计:
fc1.weight: mean=-0.0001, std=0.0504
fc2.weight: mean=0.0000, std=0.0866
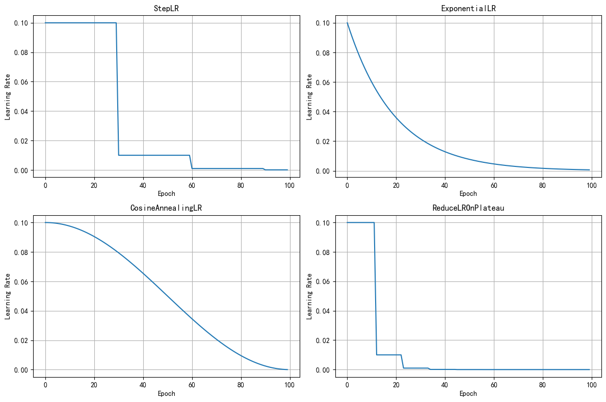
3. 学习率调度
3.1 学习率的重要性
学习率是最重要的超参数之一:
| 学习率 | 问题 |
|---|---|
| 过大 | 震荡、无法收敛、跳过最优解 |
| 过小 | 收敛慢、容易陷入局部最优 |
最佳实践:初期使用较大学习率快速探索,后期逐渐减小以精细调整。
import torch
import torch.nn as nn
import torch.optim as optim
import matplotlib.pyplot as plt
# 演示不同学习率调度器
def demo_lr_schedulers():
"""展示不同学习率调度器的效果"""
epochs = 100
initial_lr = 0.1
schedulers = {
'StepLR': lambda opt: optim.lr_scheduler.StepLR(opt, step_size=30, gamma=0.1),
'ExponentialLR': lambda opt: optim.lr_scheduler.ExponentialLR(opt, gamma=0.95),
'CosineAnnealingLR': lambda opt: optim.lr_scheduler.CosineAnnealingLR(opt, T_max=100),
'ReduceLROnPlateau': lambda opt: optim.lr_scheduler.ReduceLROnPlateau(opt, mode='min', patience=10)
}
fig, axes = plt.subplots(2, 2, figsize=(12, 8))
axes = axes.flatten()
for idx, (name, scheduler_fn) in enumerate(schedulers.items()):
# 创建简单模型和优化器
model = nn.Linear(10, 1)
optimizer = optim.SGD(model.parameters(), lr=initial_lr)
scheduler = scheduler_fn(optimizer)
lrs = []
for epoch in range(epochs):
lrs.append(optimizer.param_groups[0]['lr'])
if name == 'ReduceLROnPlateau':
scheduler.step(1.0) # 需要传入loss值
else:
scheduler.step()
axes[idx].plot(lrs)
axes[idx].set_title(name)
axes[idx].set_xlabel('Epoch')
axes[idx].set_ylabel('Learning Rate')
axes[idx].grid(True)
plt.tight_layout()
plt.show()
demo_lr_schedulers()

3.2 常用学习率调度器总结
| 调度器 | 特点 | 适用场景 |
|---|---|---|
| StepLR | 每隔固定epoch降低lr | 通用 |
| ExponentialLR | 指数衰减 | 需要平滑下降 |
| CosineAnnealingLR | 余弦退火 | 配合warmup |
| ReduceLROnPlateau | 根据指标自适应调整 | 验证集性能监控 |
4. 正则化策略
正则化用于防止过拟合,提高模型泛化能力。
4.1 L1/L2正则化
| 类型 | 公式 | 效果 |
|---|---|---|
| L1 | λ∑ | w |
| L2 | λ∑w² | 权重衰减(更平滑) |
import torch.optim as optim
# L2正则化(权重衰减)在PyTorch中通过weight_decay参数实现
model = nn.Linear(100, 10)
# 创建带L2正则化的优化器
optimizer = optim.Adam(
model.parameters(),
lr=0.001,
weight_decay=1e-4 # L2正则化系数
)
print(f"优化器配置: {optimizer}")
print(f"L2正则化系数: {optimizer.param_groups[0]['weight_decay']}")
优化器配置: Adam (
Parameter Group 0
amsgrad: False
betas: (0.9, 0.999)
capturable: False
differentiable: False
eps: 1e-08
foreach: None
fused: None
lr: 0.001
maximize: False
weight_decay: 0.0001
)
L2正则化系数: 0.0001
4.2 Dropout
Dropout在训练时随机丢弃部分神经元,迫使网络学习更鲁棒的特征。
注意:测试时需要关闭Dropout(调用model.eval())
import torch
import torch.nn as nn
class MLPWithDropout(nn.Module):
def __init__(self, dropout_rate=0.5):
super().__init__()
self.fc1 = nn.Linear(784, 256)
self.fc2 = nn.Linear(256, 128)
self.fc3 = nn.Linear(128, 10)
self.relu = nn.ReLU()
self.dropout = nn.Dropout(p=dropout_rate) # Dropout层
def forward(self, x):
x = self.relu(self.fc1(x))
x = self.dropout(x) # 训练时随机丢弃50%神经元
x = self.relu(self.fc2(x))
x = self.dropout(x)
return self.fc3(x)
# 演示训练/测试模式的区别
model = MLPWithDropout(dropout_rate=0.5)
x = torch.randn(1, 784)
# 训练模式
model.train()
out1 = model(x)
out2 = model(x)
print(f"训练模式 - 两次输出是否相同: {torch.allclose(out1, out2)}")
# 测试模式(关闭Dropout)
model.eval()
out3 = model(x)
out4 = model(x)
print(f"测试模式 - 两次输出是否相同: {torch.allclose(out3, out4)}")
训练模式 - 两次输出是否相同: False
测试模式 - 两次输出是否相同: True
5. 早停策略
5.1 什么是早停?
早停(Early Stopping)是一种防止过拟合的技术:
- 监控验证集性能
- 当性能不再提升时停止训练
- 保存最佳模型参数
class EarlyStopping:
"""
早停类:监控验证集性能,在性能不再提升时停止训练
"""
def __init__(self, patience=7, min_delta=0, verbose=True):
"""
Args:
patience: 允许多少个epoch性能不提升
min_delta: 性能提升的最小阈值
verbose: 是否打印信息
"""
self.patience = patience
self.min_delta = min_delta
self.verbose = verbose
self.counter = 0
self.best_score = None
self.early_stop = False
self.best_model_state = None
def __call__(self, val_loss, model):
score = -val_loss # 转换为越大越好
if self.best_score is None:
# 第一次调用
self.best_score = score
self.save_checkpoint(model)
elif score < self.best_score + self.min_delta:
# 性能没有提升
self.counter += 1
if self.verbose:
print(f'EarlyStopping counter: {self.counter}/{self.patience}')
if self.counter >= self.patience:
self.early_stop = True
else:
# 性能提升
self.best_score = score
self.save_checkpoint(model)
self.counter = 0
def save_checkpoint(self, model):
"""保存模型状态"""
self.best_model_state = model.state_dict().copy()
if self.verbose:
print(f'验证损失下降,保存模型...')
def load_best_model(self, model):
"""加载最佳模型"""
model.load_state_dict(self.best_model_state)
return model
# 使用示例
print("早停策略使用示例:")
print("""
early_stopping = EarlyStopping(patience=7)
for epoch in range(epochs):
train_loss = train(model, train_loader)
val_loss = validate(model, val_loader)
early_stopping(val_loss, model)
if early_stopping.early_stop:
print("Early stopping triggered!")
break
# 加载最佳模型
model = early_stopping.load_best_model(model)
""")
早停策略使用示例:
early_stopping = EarlyStopping(patience=7)
for epoch in range(epochs):
train_loss = train(model, train_loader)
val_loss = validate(model, val_loader)
early_stopping(val_loss, model)
if early_stopping.early_stop:
print("Early stopping triggered!")
break
# 加载最佳模型
model = early_stopping.load_best_model(model)
总结
本教程介绍了神经网络调参的5个关键技术:
| 技术 | 作用 | 关键点 |
|---|---|---|
| 随机种子 | 实验可重复性 | 设置Python/NumPy/PyTorch/cuDNN种子 |
| 权重初始化 | 避免梯度问题 | Xavier(Sigmoid/Tanh), He(ReLU) |
| 学习率调度 | 平衡收敛速度和精度 | 余弦退火、分段衰减 |
| 正则化 | 防止过拟合 | L2正则化、Dropout |
| 早停 | 防止过拟合 | 监控验证集,保存最佳模型 |
推荐的调参顺序
- 设置随机种子
- 选择合适的权重初始化
- 调整学习率和调度器
- 添加正则化
- 配置早停
更多推荐

所有评论(0)