机器学习常用损失函数与评价指标
人工智能中的智能体现在学习与应变能力上。学习对应的是训练,应变对应对学习能力的应用。学习的目的达到某个设定的目标,有了目标才能衡量学习有没有进步,调整自己的学习方向。这个目标在机器学习中称为损失函数,衡量应变能力的指标就是评估方法。下面主要介绍一下这两方面的一些知识。
人工智能中的智能体现在学习与应变能力上。学习对应的是训练,应变对应对学习能力的应用。学习的目的达到某个设定的目标,有了目标才能衡量学习有没有进步,调整自己的学习方向。这个目标在机器学习中称为损失函数,衡量应变能力的指标就是评估方法。下面主要介绍一下这两方面的一些知识。
1 损失函数
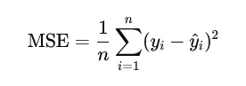
1.1 均方误差


在有些地方看见具体实现的时候是1/2n,看见多除以2的地方不要奇怪,除2主要是方便计算,因为对MSE求导数的时时2次方刚好和2约掉。这里n样本个数 ,yi 是真实值,ŷ 是预测值。
损失函数的目标就是要使预测值与真实值越来越接近。因为存在标签,所以只能在有监督学习情况下使用。
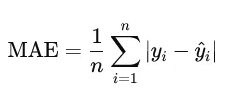
后面的绝对值误差也是类似作用,只是计算形式不一样。还有一些基于这两个公式的变体,可以自行研究
1.2 交叉熵损失
二分类交叉熵损失
|
对于二分类问题,样本的真实标签 yi只能取 0 或 1,模型预测为正类的概率为 y^(取值范围是 [0,1])。 当 yi=1 时,公式简化为 CE=−log(y^),希望 y^ 尽可能接近 1。 当 yi=0时,公式变为 CE=−log(1−y^)L=−log(1−y^),希望y^ 尽可能接近 0 |
多分类交叉熵损失
|
对于多分类问题,假设共有 c个类别,样本的真实标签 y 是一个独热编码向量,模型预测的概率分布为 y^=(y^1,y^2,…,y^c),其公式为:
其中 yi是真实标签向量的第 i个元素。该公式通过最小化预测分布与真实分布的差异来优化模型 |
1.3 选择
对于回归问题一般选择均方差损失函数,对于分类问题一般选择交叉熵。分类问题通常都是以概率来确定分类,交叉熵中的熵在信息论中也是个概率相关的计算。
2 评估方法
2.1 混淆矩阵

纵坐标表示真实分类,横坐标表示预测分类。T表示true,F表示false,N表示negative,P表示positive
TN表示,实际类型为N(反类),预测类型为反类(预测正确)。TN、TP都是表示预测正确,FN、FP都表示预测错误
2.1.1 准确率(Accuracy)
正确预测样本占总样本的比例:(TP+TN)/(TP+FP+FN+TN)
局限性:对不平衡数据敏感(如负样本远多于正样本时,高准确率可能掩盖模型缺陷)。比如A分类占95% B分类占5%,一致预测成A分类的准确率可以达到95%,但是不能说模型的预测能力很强。
2.1.2 精确率(Precision)
预测为正的样本中实际为正的比例:TP/(TP+FP)
适用场景:关注减少误报(如垃圾邮件过滤)
2.1.3 召回率(Recall)
实际为正的样本中被正确预测的比例:TP/(TP+FN)
适用场景:关注减少漏报(如疾病筛查)
2.1.4 F1分数
精确率与召回率的调和平均数:2*(Precision*Recall)/(Precision+Recall)
2.2 ROC曲线与AUC
ROC曲线:以假正率(FPR)为横轴、真正率(TPR)为纵轴的可视化曲线
FPR = FP / (FP + TN) TPR=TP / (FP + TN)
TPR 是预测正确的情况,当然是TPR 这个比FPR大好。可以把y=x看作一个分界线
AUC值:曲线下面积,越接近1模型性能越好
实际这两个东西不是很好理解,画出来也不直白,也不好计算,多分类计算量也大。
2.3 无监督学习聚类评估
无监督学习聚类评估主要分为有标签评估和无标签评估,评估的目标都是组内尽可能凝聚,组间尽可能分散。无标签评估主要有轮廓系数,CH index、DB index等,有标签评估主要有调整兰德指数、纯度、人工检查等。无监督学习通常都是无标签的数据。
2.3.1 轮廓系数(Silhouette Coefficient)
公式:
原理:衡量样本与同簇内其他样本的相似度(a)和与其他簇样本的相似度(b)。范围:-1到1,值越接近1表示聚类效果越好(簇内紧密、簇间分离)。
s≈1:样本聚类效果理想(内聚度高、分离度强)
s≈0:样本可能位于簇边界。
s≈−1:样本可能被错误分配
适用场景:适用于凸簇结构,但对非凸簇可能失效
2.3.2 CH Index (Calinski-Harabasz Index)
公式:
原理:基于簇间离散度与簇内离散度的比率,值越高表示聚类效果越好,其中 B 为簇间距离,W为簇内距离。k:表示聚类算法中预设的簇(类别)数量,即需要将数据划分成的组数
n:表示数据集中的样本总数(即所有数据点的数量)。
分子部分通过簇间离散度与簇内离散度的比值衡量聚类效果,分母部分通过 (n−k)/(k−1)(n−k)/(k−1) 对簇数进行归一化,避免簇数增加时指标虚高16。该指数值越大,表示簇间分离度越高、簇内紧凑度越好,聚类效果越优。
2.3.3 DB Index(Davies-Bouldin Index)
原理:计算每个簇与其最相似簇的平均相似度,值越小表示聚类效果越好,公式

特点:对簇间重叠敏感,适用于密度差异较大的数据
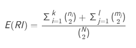
2.3.4 调整兰德指数(Adjusted Rand Index, ARI)
公式:


原理:
a:同属一个聚类簇且同属一个真实类别的样本对数
b:同属一个聚类簇但不同属一个真实类别的样本对数
c:不同属一个聚类簇但同属一个真实类别的样本对数
d:不同属一个聚类簇且不同属一个真实类别的样本对数
N:为总样本数,k为真实类别数,l为聚类簇数
ni为第i个真实类别的样本数,mj为第j个聚类簇的样本数
表示从n个样本中选取2个的组合数
2.3.5 纯度(Purity)
原理:计算被正确分配到簇中的数据点比例,简单直观但易受簇数量影响
更多推荐




所有评论(0)