(22)今天跟你们讲一点培训没有的知识!C 语言是不是必须有 main 函数??C语言 main 函数的多种写法?编译和链接过程以及 GCC 程序是怎么地启动流程《小鹅说 C 语言》
每个 C 程序都至少有一个函数,即主函数 main();main 函数有且仅有⼀个;main 函数是程序的入口;每个 C 语⾔程序不管有多少行代码,都是从 main 函数开始执行的,到 main 函数结束(遇到 return 或者执行到函数末尾时,函数才结束)。即使⼀个工程中有多个 .c ⽂件,但是只能有⼀个 main 函数(因为程序的入口只能有⼀个)。也就是说,没有 main 函数程序将不知道从
文章目录
1、main 函数
1.1、归纳总结
- 每个 C 程序都至少有一个函数,即主函数 main() ;
- main 函数有且仅有⼀个;
main 函数是程序的入口;- 每个 C 语⾔程序不管有多少行代码,都是
从 main 函数开始执行的,到 main 函数结束(遇到 return 或者执行到函数末尾时,函数才结束)。 - 即使⼀个工程中有
多个 .c ⽂件,但是只能有⼀个 main 函数(因为程序的入口只能有⼀个)。
也就是说,没有 main 函数程序将不知道从哪里开始执行,运行时会报错。
如之前的文章(12)基本程序结构中的 C 实例 -- Hello World就是一个标准的函数定义模版。如下:
#include <stdio.h> //头文件
//空白行
/* 我们的第一个 C 程序 */ //注释
int main() //函数
{ //函数体开始
printf("Hello, World! \n"); //输出语句
return 0; //结束并返回语句
} //函数体结束
1.2、容易出错的地方
- 示例中的自定义函数必须命名为 main
- main 被写成了 mian
- main 后边的 () 漏掉了
- 代码中不能使用中文符号,比如括号和分号
2、main 函数多种写法
C 语⾔中 main 函数常见的写法有多种,请看下⾯的代码。
2.1、写法1
初学者这种写法很常⻅,也是我推荐的写法。
int main()
{
return 0;
}
2.2、写法2
在 linux 编程中比较常见。
int main(void)
{
return 0;
}
2.3、写法3
应用需要传参时的写法。
int main(int argc, char* argv[])
{
return 0;
}
可以参考这个资料学习:https://zh.cppreference.com/w/c/language/main_function
2.4、旧时写法
有的老旧教材中将 main 函数写作:
void main()
{
}
或者
main()
{
}
这在 VC6.0 下能够通过编译,但在 C-Free、GCC 中却会报错,因为这不是标准的 main 函数的写法,大家最好按照前面示例中的格式来写。
3、main 函数扩展
3.1、C 语言是不是必须有 main 函数??
这个答案是肯定的,C 语言必须有 main 函数,作为程序的入口。
一个源程序不论由多少个文件组成,都有一个且只能有一个 main 函数,即主函数。
但是一切程序都是人写出来的,只要它是代码实现的,我们就能改它。
虽然 main 函数通常被认为是程序的入口点,但我们可以通过调整链接脚本、启动代码改变入口点,甚至使用 ld 命令的一些特殊参数,改变程序的执行流程。
3.2、下面给大家介绍几种方法
在 gcc 编译器下,如何去掉 main 函数。仅仅作为参考学习使用。
先来个测试代码,代码里面包含两个函数,函数写的时候要注意加上退出方式,因为我们下面要做的不是一个正常的操作,正常的 C 语言 main 函数前后都还会有初始化和回收操作。
#include <stdio.h>
#include <stdlib.h>
void test()
{
printf("this is test ...\n");
exit(0); //退出程序并返回值 0
}
void func()
{
printf("this is func ...\n");
exit(0); //退出程序并返回值 0
}
3.2.1、启动代码
编译的时候加上 -nostartfiles 选项:
gcc test.c -o test -nostartfiles
编译器会默认指定第一个函数作为入口,运行程序,没什么异常。
3.2.2、ld 命令的 -e 参数
编译的时候加上 -e 选项:
gcc test.c -o test -nostartfiles -e func
入口就从 func 函数运行了,说明-e 选项可以随意指定函数入口!
3.2.3、链接脚本
修改链接脚本。
ld --verbose > xxx.lds
先使用 ld --verbose 获得链接脚本,然后修改入口函数,默认是 _start 函数,在这个函数里面会调用 main 函数。把它改成其他函数,编译的时候手动选择链接脚本,也能实现。
gcc test.c -o test -nostartfiles -T xxx.lds
以上几种方式都属于偏门,仅仅作为参考使用,玩玩就号,知道有这么回事就行。main 函数永远都是 C 语言的入口,没事不要去修改它。
4、为什么使用以上三种方式可以改变程序入口?
理解为何使用链接脚本、启动代码以及 ld 命令的 -e 参数等方式能够改变程序的入口点,需要深入了解 C 程序编译和链接的过程,以及操作系统加载可执行文件的机制。
4.1、编译和链接过程
- 编译阶段:
在编译阶段,源代码(.c 文件)被编译成目标文件(.o 文件)。这个阶段主要包括预处理、编译和汇编。
- 链接阶段:
在链接阶段,目标文件被链接成可执行文件。这个过程包括解析符号、地址空间分配、重定位等步骤。链接器(ld命令)负责将多个目标文件组合成一个可执行文件。

4.2、默认入口点
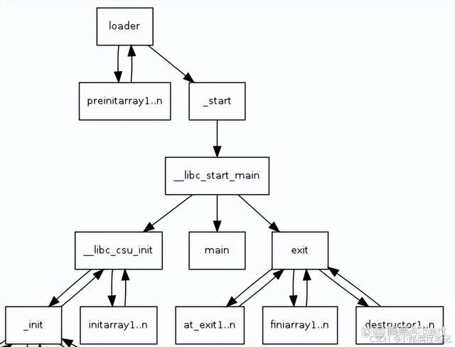
在默认情况下,链接器会将程序的入口点(即程序启动时首先执行的地方)设置为一个特定的符号,通常是 _start。这是一个预定义的入口点,由启动文件(crt0)提供。启动文件执行一些基本的初始化工作,然后调用 C 运行时库的初始化函数,最终跳转到 main 函数。
GCC 程序启动流程:

4.3、为何能够改变入口点
- 启动代码:
启动代码是在程序启动时执行的一段特殊代码。通过自定义启动代码,我们可以在程序启动时执行自己的初始化逻辑,然后选择跳转到任意的函数作为程序的入口点,而不仅仅是默认的 _start。这就是为什么启动代码能够改变程序的入口点的原因。
- ld 命令的 -e 参数:
-e 参数直接指定程序的入口点。通过这个参数,我们可以告诉链接器在哪里开始执行程序。这就是为什么使用 ld 命令的 -e 参数能够改变程序的入口点的原因。
- 链接脚本:
链接脚本定义了可执行文件在内存中的布局和组织方式,包括程序的入口点。通过在链接脚本中使用 ENTRY 命令,我们可以显式地指定程序的入口点。这就是为什么链接脚本能够改变程序的入口点的原因。
4.4、总结
通过链接脚本、启动代码以及 ld 命令的 -e 参数等方式,程序员可以在编译和链接的过程中插入自定义的逻辑,从而控制程序的启动过程。这些方法提供了对程序启动流程的灵活性,使得程序员能够更精细地控制程序的行为和执行流程。
每日一更!
公众号、CSDN等博客:小鹅编程笔记
日更较慢有需要完整笔记请私我,C/C++/数据结构-算法/单片机51-STM32-GD32-ESP32/嵌入式/Linux操作系统/uboot/Linux内核-驱动-应用/硬件入门-PCB-layout/Python/后期小程序和机器学习!
更多推荐


所有评论(0)