双路径网络
原始论文有提到这个模型,简要介绍一下,去找了这个模型的论文,大概长下面这样,图中只是一个简单的示例,一个3rd-oredr的,可以有更高阶的更一般的状态公式如下原论文还有一些pool的部分,我也不做这个方向就没仔细去看。
DPN是一种densenet和resnet的结合,densenet能搜索新的特征,而resnet能重复使用之前的特征,DPN将两者进行了结合。
跳跃连接的作用
跳跃连接已在设计现代深度神经网络中被广泛使用,并在许多应用中取得了显著的成功。跳跃连接创建了一条路径,将信息从较低层直接传播到较高层。在正向传播过程中,跳跃连接使得非常顶层的网络能够访问来自远端底层的信息;而对于反向传播,它促进了梯度反向传播到底层,而不会减小幅度,这有效地缓解了梯度消失问题并简化了优化。
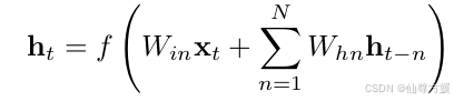
简要介绍HORNNs
原始论文有提到这个模型,简要介绍一下,去找了这个模型的论文,大概长下面这样,图中只是一个简单的示例,一个3rd-oredr的,可以有更高阶的

更一般的状态公式如下

原论文还有一些pool的部分,我也不做这个方向就没仔细去看
densenet的缺点
因为densenet是直接将之前的通道进行拼接,随着深度的增加,密集连接路径的宽度线性增长,导致参数数量呈二次方增长,如果实现没有特别优化,相比残差网络,这将消耗大量的GPU内存。这限制了构建更深、更宽的密集网络,这可能进一步提高准确性。
从RNN的角度理解resnet和densenet

论文中写成图中的样子,Z是记忆单元,RNN的形式确实是图中那种形式,最右边那个就是HORNNs的形式,论文说resnet本质是densenet的一种特殊情况,证明过程可以自己去看
dpn
具体公式如下

第一个公式是densenet一样的通道拼接,第二个是resnet一样的残差连接,然后将结果加起来,最后通过g更新,写成RNN的那种形式有点不太好理解,具体看下面这图

最右边的两张就是dpn,灰色那条是densenet的结构,另一条带加号的就是resnet的结构,更详细的看下面这张图

性能比较
分类

目标检测

语义分割

更多推荐



所有评论(0)