AI大模型面经——大模型新手必看:超详细训练与微调实操经验,收藏学习路径助你快速入门!
本文详细探讨了大模型训练与微调的实操经验,重点分析batch size设置和优化器选择两大关键因素。研究表明,batch size存在临界值,超过后将导致收益递减;过小会引入噪声,过大则增加计算成本。微调阶段建议使用AdamW或新型Sophia优化器。在数据选择方面,预训练推荐书籍、论文等高密度知识源,微调则需注重数据质量和多样性。文末还提供了大模型学习资料包,包括思维导图、书籍和实战案例等资源,
本文分享了超详细的大模型训练与微调实操经验,主要从训练设置(batch size及优化器设置)和训练数据选择两大角度进行阐述。内容涵盖了batch size的合理设置方法、过大或过小的影响、微调时优化器的选择、预训练和微调时训练数据的偏好等。文章强调数据质量和代表性在微调阶段的重要性,并提供了书籍、论文、网站内容等推荐数据源。最后,作者还分享了AI大模型学习资料,包括书籍阅读、实战案例、面试资料等,旨在帮助读者全面掌握大模型技术。
前言
本篇主要从训练设置(batch size及优化器设置)、训练数据选择两大角度分享大模型训练与微调经验。
本篇开始填[大模型面经——超细节大模型训练与微调实操经验总结(上)的坑,继续细节的讲讲大模型中训练和微调的经验。
本篇主要从训练设置(batch size及优化器设置)、训练数据选择两大角度来具体谈谈经验,下面是一个问题的快捷目录。
-
训练大模型时,batch size如何设置比较合理,可以讲讲自己的思考
-
如果batch size设置过小或过大分别会怎样?
-
微调时优化器怎么设置好?
-
预训练和微调时选择的训练数据分别有什么偏好,有没有一些建议?
batch size如何设置比较合理
我们知道,大模型训练或微调的过程中batch size的设置本质上是取训练效率和模型的最终效果的平衡。
目前一些研究结果表明数据并行程度的临界点是存在的,我们这里先上一个结论:
batch size在一定临界值以内越大越好,超过临界值会开始收益持平或者递减;并且batch size需要跟其他超参数比如学习率、优化器搭配等相适配。
下面先给大家一些不同大模型中batch size的参考值:
- OpenAI的GPT-3模型使用了约3500万个token的batch size;
- 谷歌的PaLM模型使用了2048个样本的batch size;
- llama3至少也使用了上千个样本的batch size。
下面我们基于openAI的一些研究工作,学习一下openAI是如何基于一些研究理论在后续scaling law工作中预测模型的最优batch size的:
1. 最优步长
各种研究结果表明实际是存在一个关于数据并行程度的临界点的,找到这个临界点,就可以有效的平衡训练的效率和模型的最终效果。
OpenAI 发现最优步长公式可以作如下表示:

注:B 为 batch size,Bnoise为 噪声尺度
2. 损失更新
我们基于第1步中最优步长(step size),现在开始改进最优化从含有噪声的梯度中获得的损失:


上述公式中我们主要观察真实梯度、步长和B的关系,可以得出:
1)无论如何准确地估计真实梯度,总存在一个最大步长
2)批处理大小越大,优化模型的步长就越大(有一个上限)
下面再来看两张比较经典的图,

上面的图说明了更大的批次模型可以取得更多提升。但是当 batch size 太大时,我们会遇到收益递减的问题(因为分母中的 1 开始占主导地位)。
3. 梯度尺度估计
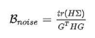
OpenAI 的研究发现,噪声尺度可以通过以下方式估计:

其中,H 是参数的真实 Hessian 矩阵,C 是相对于梯度的每个示例的协方差矩阵,g 是真实梯度。
为了进一步简化这个方程,OpenAI作出了一个假设,即优化是完全 well-conditioned 的。
在这种情况下,Hessian 矩阵只是单位矩阵的倍数,噪声尺度简化就可以简化为以下形式:

该方程表明噪声尺度等于个别梯度分量的方差之和,除以梯度的 norm。
4. 学习率视作temperature
之前说上述结论合理的前提,是在模型的 LR 是调的比较恰当的情况下。
这是因为 OpenAI 发现噪声尺度基本符合以下规律:

在使用 SGD 和小 batch 进行更新时,可以大概近似为

这表明

下面的图中可以看出规律

根据以上的公式和图,我们可以得知:
-
高温度导致较小的噪声尺度。其中的直觉是在高温度下,相对于方差,梯度幅度较大。
-
当学习率以一个常数因子衰减时,噪声尺度大致以相同的因子增长。因此,如果学习率太小,噪声尺度将被放大。
OpenAI 使用上述结论,在模型训练推理中在后续的 scaling law 工作中预测了模型的最优 batch size 大小,具体如下图。

batch size设置过小或过大分别会怎样
1. 过小
更新方向(即对真实梯度的近似)会具有很高的方差,导致的梯度更新主要是噪声。经过一些更新后,方差会相互抵消。
总体上推动模型朝着正确的方向前进,但个别更新可能不太有用,可以使用更大 batch size 进行更新。
2. 过大
当 batch size 非常大时,从训练数据中抽样的任何两组数据都会非常相似(因为它们几乎完全匹配真实梯度)
在这种情况下,增加 batch size 几乎不会改善性能,因为无法改进真实的梯度预测。
换句话说,需要在每一步中处理更多的数据,但并不能减少整个训练过程中的步数,这表明总体训练时间几乎没有改善,还增加了总体的 FLOPS。

上图,可以观察到更大的 batch size 通常对应较少的训练 step,但相应地需要增加处理的数据。
当 batch size 从 2048 翻倍时,达到同样性能所需要的 step 几乎没有任何改善,但需要花费两倍的计算资源。
再给一张谷歌的实验图:


Google 的经验研究也有类似的观察,即在固定的 epoch budget 下,当 batch size 达到临界值时,模型的性能会 batch size 的增加而降低。
微调时优化器怎么设置好?
在微调 LLM 时,优化器的选择不是影响结果的主要因素。无论是 AdamW、具有调度器 scheduler 的 SGD ,还是具有 scheduler 的 AdamW,对结果的影响都微乎其微。
也可以考虑一个目前比较新的优化器Sophia:使用梯度曲率而非方差进行归一化,提高训练效率和模型性能。
预训练和微调时选择的训练数据分别有什么偏好
下面简单做个总结。
1. 预训练阶段
首要选择:书籍、论文
数据质量较高,领域相关性比较强,知识覆盖率(密度)较大,此外文本序列较长也有利于增强模型推理能力。
其他:相关领域网站内容、新闻
2. 微调阶段
此阶段数据的质量重要性大于数据的数量的重要性,因此有以下建议:
1)选取的训练数据要干净、并具有代表性。
2)构建的prompt尽量多样化,提高模型的鲁棒性。
3)进行多任务同时进行训练的时候,要尽量使各个任务的数据量平衡
如何系统的学习大模型 AI ?
由于新岗位的生产效率,要优于被取代岗位的生产效率,所以实际上整个社会的生产效率是提升的。
但是具体到个人,只能说是:
“最先掌握AI的人,将会比较晚掌握AI的人有竞争优势”。
这句话,放在计算机、互联网、移动互联网的开局时期,都是一样的道理。
我在一线互联网企业工作十余年里,指导过不少同行后辈。帮助很多人得到了学习和成长。
我意识到有很多经验和知识值得分享给大家,也可以通过我们的能力和经验解答大家在人工智能学习中的很多困惑,所以在工作繁忙的情况下还是坚持各种整理和分享。但苦于知识传播途径有限,很多互联网行业朋友无法获得正确的资料得到学习提升,故此将并将重要的AI大模型资料包括AI大模型入门学习思维导图、精品AI大模型学习书籍手册、视频教程、实战学习等录播视频免费分享出来。
一直在更新,更多的大模型学习和面试资料已经上传带到CSDN的官方了,有需要的朋友可以扫描下方二维码免费领取【保证100%免费】👇👇

01.大模型风口已至:月薪30K+的AI岗正在批量诞生

2025年大模型应用呈现爆发式增长,根据工信部最新数据:
国内大模型相关岗位缺口达47万
初级工程师平均薪资28K(数据来源:BOSS直聘报告)
70%企业存在"能用模型不会调优"的痛点
真实案例:某二本机械专业学员,通过4个月系统学习,成功拿到某AI医疗公司大模型优化岗offer,薪资直接翻3倍!
02.大模型 AI 学习和面试资料
1️⃣ 提示词工程:把ChatGPT从玩具变成生产工具
2️⃣ RAG系统:让大模型精准输出行业知识
3️⃣ 智能体开发:用AutoGPT打造24小时数字员工
📦熬了三个大夜整理的《AI进化工具包》送你:
✔️ 大厂内部LLM落地手册(含58个真实案例)
✔️ 提示词设计模板库(覆盖12大应用场景)
✔️ 私藏学习路径图(0基础到项目实战仅需90天)






第一阶段(10天):初阶应用
该阶段让大家对大模型 AI有一个最前沿的认识,对大模型 AI 的理解超过 95% 的人,可以在相关讨论时发表高级、不跟风、又接地气的见解,别人只会和 AI 聊天,而你能调教 AI,并能用代码将大模型和业务衔接。
- 大模型 AI 能干什么?
- 大模型是怎样获得「智能」的?
- 用好 AI 的核心心法
- 大模型应用业务架构
- 大模型应用技术架构
- 代码示例:向 GPT-3.5 灌入新知识
- 提示工程的意义和核心思想
- Prompt 典型构成
- 指令调优方法论
- 思维链和思维树
- Prompt 攻击和防范
- …
第二阶段(30天):高阶应用
该阶段我们正式进入大模型 AI 进阶实战学习,学会构造私有知识库,扩展 AI 的能力。快速开发一个完整的基于 agent 对话机器人。掌握功能最强的大模型开发框架,抓住最新的技术进展,适合 Python 和 JavaScript 程序员。
- 为什么要做 RAG
- 搭建一个简单的 ChatPDF
- 检索的基础概念
- 什么是向量表示(Embeddings)
- 向量数据库与向量检索
- 基于向量检索的 RAG
- 搭建 RAG 系统的扩展知识
- 混合检索与 RAG-Fusion 简介
- 向量模型本地部署
- …
第三阶段(30天):模型训练
恭喜你,如果学到这里,你基本可以找到一份大模型 AI相关的工作,自己也能训练 GPT 了!通过微调,训练自己的垂直大模型,能独立训练开源多模态大模型,掌握更多技术方案。
到此为止,大概2个月的时间。你已经成为了一名“AI小子”。那么你还想往下探索吗?
- 为什么要做 RAG
- 什么是模型
- 什么是模型训练
- 求解器 & 损失函数简介
- 小实验2:手写一个简单的神经网络并训练它
- 什么是训练/预训练/微调/轻量化微调
- Transformer结构简介
- 轻量化微调
- 实验数据集的构建
- …
第四阶段(20天):商业闭环
对全球大模型从性能、吞吐量、成本等方面有一定的认知,可以在云端和本地等多种环境下部署大模型,找到适合自己的项目/创业方向,做一名被 AI 武装的产品经理。
- 硬件选型
- 带你了解全球大模型
- 使用国产大模型服务
- 搭建 OpenAI 代理
- 热身:基于阿里云 PAI 部署 Stable Diffusion
- 在本地计算机运行大模型
- 大模型的私有化部署
- 基于 vLLM 部署大模型
- 案例:如何优雅地在阿里云私有部署开源大模型
- 部署一套开源 LLM 项目
- 内容安全
- 互联网信息服务算法备案
- …
学习是一个过程,只要学习就会有挑战。天道酬勤,你越努力,就会成为越优秀的自己。
如果你能在15天内完成所有的任务,那你堪称天才。然而,如果你能完成 60-70% 的内容,你就已经开始具备成为一名大模型 AI 的正确特征了。
这份完整版的大模型 AI 学习资料已经上传CSDN,朋友们如果需要可以微信扫描下方CSDN官方认证二维码免费领取【保证100%免费】

更多推荐

所有评论(0)