小白也能看懂!Transformer大模型核心概念与实战指南(收藏版)
Transformer 是一种基于自注意力机制的深度学习模型,诞生于 2017 年。目前大部分大语言模型,像 GPT 系列和 BERT 系列都是基于 Transformer 架构。Transformer 摒弃了之前序列处理任务中广泛使用的循环神经网络(RNN),转而使用自注意力层来直接计算序列内各元素之间的关系,从而有效捕获长距离依赖。这一创新设计不仅明显提高了处理速度,由于其并行计算的特性,也大
Transformer作为当前大语言模型的基础架构,其核心在于自注意力机制。本文从Transformer的背景介绍入手,详细解析了注意力机制、多头注意力等核心概念,并深入探讨了编码器、解码器的架构原理。通过图文并茂和代码实例,帮助读者理解Transformer如何捕捉长距离依赖、实现并行处理,以及其灵活的注意力分布和可扩展性等优势。适合对AI大模型感兴趣的小白和程序员学习参考。
一、Transformer 背景介绍
-
Transformer 是一种基于自注意力机制的深度学习模型,诞生于 2017 年。目前大部分大语言模型,像 GPT 系列和 BERT 系列都是基于 Transformer 架构。
-
Transformer 摒弃了之前序列处理任务中广泛使用的循环神经网络(RNN),转而使用自注意力层来直接计算序列内各元素之间的关系,从而有效捕获长距离依赖。这一创新设计不仅明显提高了处理速度,由于其并行计算的特性,也大幅度提升了模型在处理长序列数据时的效率。
-
看看这幅图你就明白 Transformer 在江湖中的地位了。

-
Transformer 模型由编码器和解码器组成,每个部分均由多层重复的模块构成,其中包含自注意力层和前馈神经网络。接下来我们依次了解下这些模块。
二、Transformer 核心概念
2.1、注意力机制(Attention)
-
Transformer 是一个完全基于注意力机制构建的模型,它的核心思想就是:Attention Is All You Need(注意力是你所需要的全部),与之前依赖循环神经网络(RNN)或长短期记忆网络(LSTM)的模型不同,Transformer 通过自注意力机制来处理序列数据,这使得每个输出元素都能直接与输入序列中的所有元素相关联,从而有效捕获长距离依赖关系。
-
拿 AI大模型实战——深入理解Seq2Seq 文章讲的举例,在编码阶段结束后,会产生一个上下文向量,或者叫隐藏状态,解码器根据这个向量计算下一个词的概率。参考下图:

-
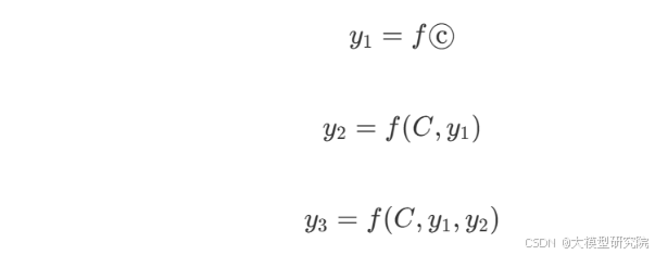
解码阶段参考公式:

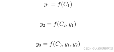
C 代表隐藏状态,解码器在不同解码阶段,仅依赖同一个隐藏状态 C。加入注意力机制后,编码器传给解码器多个隐藏状态,解码器根据不同的隐藏状态计算下一个词的概率。

在这里插入图片描述
-
这个时候,每推测一个词之前,都会计算一下所有和这个词相关的概率,这就是注意力。我们拿 AI大模型实战——深入理解Seq2Seq 文章讲的例子说明一下。
我 喜欢 学习 机器 学习。I like studying machine learning -
在推测 machine 的时候,会先计算一下和 machine 相关的词的概率,也叫分配注意力,比如 (我,0.2)(like,0.3)(学习,0.4)(机器,0.6),这时模型就知道了下一个词和机器相关,会把注意力集中在机器上,解码阶段参考公式:

-
那这个注意力分配概率怎么来的呢?不同的论文可以有不同的做法,这里我给你讲一个通用的做法。一般分为 3 步。
2.1.1、注意力分配概率的由来
-
1、转换为查询(Query)、键(Key)和值(Value)
我们首先将输入序列中的每个词和目标词转换为三种向量表示。
查询:代表目标词的向量,用于查询与输入序列中哪些词相关。
键:代表输入序列中每个词的向量,用于被查询匹配。
值:也是代表输入序列中每个词的向量,一旦词的重要性(通过键与查询的匹配)被确定,其值向量将被用来计算最终的输出。
-
2、计算相似度
接下来,模型需要判断目标词(查询)与输入序列中每个词(键)之间的相关性。这是通过计算查询向量与每个键向量之间的点积来实现的。点积的结果越大,表示两个向量越相似,也就意味着输入中的这个词与目标词越相关。在词嵌入那节课我们讲过,具有相同意思的词,在同一个向量空间中比较接近,而点积就是衡量两个向量在方向上的一致性,正好可以用来计算向量的相似度。
-
3、 转换为注意力权重
由于点积的结果可能会非常大,为了将其转换为一个合理的概率分布,即每个词的重要性权重,我们会对点积结果应用 Softmax 函数。Softmax 能够确保所有计算出的权重加起来等于 1,每个权重的值介于 0 和 1 之间。这样,每个输入词的权重就代表了它对于目标词的相对重要性。
-
我们可以用代码来表示这个过程。
import torchimport torch.nn.functional as F# 假设我们已经有了每个词的嵌入向量,这里用简单的随机向量代替真实的词嵌入# 假设嵌入大小为 4embed_size = 4# 输入序列 "我 喜欢 学习 机器 学习" 的嵌入表示inputs = torch.rand((5, embed_size))# 假设 "machine" 的查询向量query_machine = torch.rand((1, embed_size))def attention(query, keys, values): # 计算查询和键的点积,除以根号下的嵌入维度来缩放 scores = torch.matmul(query, keys.transpose(-2, -1)) / (embed_size ** 0.5) # 应用softmax获取注意力权重 attn_weights = F.softmax(scores, dim=-1) # 计算加权和 output = torch.matmul(attn_weights, values) return output, attn_weightsoutput, attn_weights = attention(query_machine, inputs, inputs)print("Output (Attention applied):", output)print("Attention Weights:", attn_weights) -
代码输出:
Output (Attention applied): tensor([[0.4447, 0.6016, 0.7582, 0.7434]])Attention Weights: tensor([[0.1702, 0.2151, 0.1790, 0.2165, 0.2192]] -
最后两个权重 0.2165 和 0.2192 表明,machine 和结尾的两个词“机器”和“学习”最相似,也就是为计算过程赋予了注意力:要注意最后这两个词。
2.2、多头注意力(Multi-head Attention)
-
多头注意力是 Transformer 模型中的一个关键创新。它的核心思想是将注意力机制“分头”进行,即在相同的数据上并行地运行多个注意力机制,然后将它们的输出合并。这种设计允许模型在不同的表示子空间中捕获信息,从而提高了模型处理信息的能力。Transformer 默认 8 个头,其工作过程如下:
分割:对于每个输入,多头注意力首先将查询、键和值矩阵分割成多个“头”。这是通过将每个矩阵分割成较小的矩阵来实现的,每个较小的矩阵对应一个注意力“头”。假设原始矩阵的维度是 d_{model},那么每个头的矩阵维度将是 d_{model}/h ,其中 h 是头的数量。
并行注意力计算:对每个头分别计算自注意力。由于这些计算是独立的,它们可以并行执行。这样每个头都能在不同的表示子空间中捕获输入序列的信息。
拼接和线性变换:所有头的输出再被拼接起来,形成一个与原始矩阵维度相同的长矩阵。最后,通过一个线性变换调整维度,得到多头注意力的最终输出。
三、Transformer 架构原理
3.1、模型结构
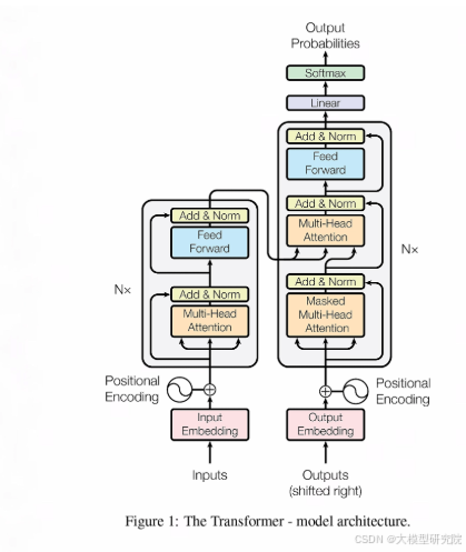
- 下图出自《Attention Is All You Need》论文,大部分介绍 Transformer 的文章都会引用这张图片,接下来我将带你一步一步揭开这个架构的神秘面纱。

-
在 Transformer 中,编码器可以叫做编码器组,解码器也一样,叫做解码器组,就是说它们不仅仅是由一个编码器和一个解码器组成的。

-
每一个编码器内部又分为自注意力层和前馈神经网络层,你可以看一下图示。

-
每一个解码器内部又分为三层:自注意力层、编码 - 解码注意力层和前馈神经网络层。

3.2、编码器
3.2.1、输入处理(编码器)
- 第一步进行词嵌入处理,在第一个编码器中,将单词向量化,然后进行位置编码,就是为每个单词添加位置信息,因为 Transformer 不像 RNN 或者 CNN,顺序处理序列,所以需要引入位置编码机制,确保模型能够记住单词的顺序。
3.2.2、自注意层处理(编码器)
- 这一层模型会计算每个输入元素与序列中其他元素的关系,使每个元素的新表示都富含整个序列的上下文信息。这意味着,通过自注意力机制,模型能够理解每个词,不仅仅在其自身的语义层面上,还包括它与句子中其他词的关系。之后数据经过 Add & Norm 操作进入前馈处理层(Feed Forward),Add & Norm 是什么意思呢?
- Add 表示残差连接,是指在自注意力层后把这一层处理过的数据和这一层的原始输入相加,这种方式允许模型在增加额外处理层的同时,保留输入信息的完整性,从而在不损失重要信息的前提下,学习到输入数据的复杂特征。具体来说,如果某一层的输入是 x,层的函数表示为 **f(x)**,那么这层的输出就是 **x + f(x)**。这样做主要是为了缓解深层网络中的梯度消失或梯度爆炸问题,使深度模型更容易训练。
- 那为什么说它可以缓解梯度消失问题呢?因为 **x + f(x),而不仅仅是f(x)**,这样在反向传播过程中,可以有多条路径,可以减轻连续连乘导致梯度减少到 0 的问题。接下来我们继续看 Norm 操作。
- Norm 表示归一化(Normalization),数据在经过 Add 操作后,对每一个样本的所有特征进行标准化,即在层内部对每个样本的所有特征计算均值和方差,并使用这些统计信息来标准化特征值。这有助于避免训练过程中的内部协变量偏移问题,即保证网络的每一层都在相似的数据分布上工作,从而提高模型训练的稳定性和速度。
- 之后数据进入前馈层,也就是前馈神经网络。
3.2.3、前馈层处理(编码器)
-
前馈全连接网络(FFN)对每个位置的表示进行独立的非线性变换,提升了模型的表达能力。通过两次线性映射和一个中间的 ReLU 激活函数,FFN 引入了必要的非线性处理,使模型能够捕捉更复杂的数据特征。这一过程对于加强模型对序列内各元素的理解至关重要,提高了模型处理各种语言任务的能力。我们通过公式来解释一下。

-
输入 x 就是上一层自注意力层的输出,首先通过一个线性变换,即与权重矩阵 W1 相乘并加上偏置向量 b1,这一步的计算可以表示为 xW1 + b1。权重矩阵 W1 和偏置向量 b1 是这一层的参数,它们在模型训练过程中学习得到。
-
接着,线性变换的结果通过一个 ReLU 激活函数 max(0,.)。ReLU 函数的作用是增加非线性,它定义为 max(0,z),其中 z 是输入。如果 z 为正,函数输出 z;如果 z 为负或 0,函数输出 0。这一步可以帮助模型捕捉复杂的特征,防止输出被压缩在线性空间内。
-
其次,max 函数的输出再次通过一个线性变换,即与第二个权重矩阵 W 2 相乘并加上第二个偏置向量 b2。这一步可以表示为 max(0,xW1+b1)W2+b2,其中 max(0,xW1+b1) 是第一层的输出。
-
最后,同样经过和自注意力层一样的 Add & Norm 处理,完成归一化输出。
3.3、解码器
3.3.1、自注意力层处理(解码器)
-
解码器的自注意力层设计得比较特别,与编码器的自注意力层不同,解码器的自注意力层需要处理额外的约束,即保证在生成序列的每一步仅依赖于之前的输出,而不是未来的输出。这是通过一个特定的掩蔽(masking)技术来实现的。接下来我详细解释一下解码器自注意力层的几个关键点。
1、处理序列依赖关系,解码器的自注意力层使每个输出位置可以依赖于到目前为止在目标序列中的所有先前位置。这允许模型在生成每个新词时,综合考虑已生成的序列的上下文信息。
2、掩蔽未来信息,为了确保在生成第 t 个词的时候不会使用到第 t+1 及之后的词的信息,自注意力层使用一个上三角掩蔽矩阵,在实现中通常填充为负无穷或非常大的负数。这保证了在计算 Softmax 时未来位置的贡献被归零,从而模型无法“看到”未来的输出。
3、动态调整注意力焦点,通过学习的注意力权重,模型可以动态地决定在生成每个词时应更多地关注目标序列中的哪些部分。
import torchimport torch.nn.functional as Fdef decoder_self_attention(query, key, value, mask): """ 解码器自注意力层,带掩蔽功能。 参数: - query, key, value: 形状为 (batch_size, seq_len, embed_size) 的张量 - mask: 形状为 (seq_len, seq_len) 的张量,用于防止未来标记的注意力 返回: - attention output: 形状为 (batch_size, seq_len, embed_size) 的张量 - attention weights: 形状为 (batch_size, seq_len, seq_len) 的张量 """ # 计算缩放点积注意力分数 d_k = query.size(-1) # 键向量的维度 scores = torch.matmul(query, key.transpose(-2, -1)) / torch.sqrt(torch.tensor(d_k, dtype=torch.float32)) # 应用掩蔽(将未来的标记设置为极大的负数以排除它们) scores = scores.masked_fill(mask == 0, float('-inf')) # 应用softmax获取注意力权重 attention_weights = F.softmax(scores, dim=-1) # 使用注意力权重和值向量乘积得到输出 attention_output = torch.matmul(attention_weights, value) return attention_output, attention_weights# 示例用法batch_size = 1seq_len = 5embed_size = 64query = torch.rand(batch_size, seq_len, embed_size)key = torch.rand(batch_size, seq_len, embed_size)value = torch.rand(batch_size, seq_len, embed_size)# 生成掩蔽矩阵以阻止对未来标记的注意(使用上三角矩阵掩蔽)mask = torch.triu(torch.ones(seq_len, seq_len), diagonal=1).bool()# 调用函数output, weights = decoder_self_attention(query, key, value, mask)print("输出形状:", output.shape)print("注意力权重形状:", weights.shape) -
mast 的值:
tensor([[False, True, True, True, True], [False, False, True, True, True], [False, False, False, True, True], [False, False, False, False, True], [False, False, False, False, False]]) ```

在这里插入图片描述
-
解码器中的自注意力层至关重要,因为它不仅提供了处理序列内依赖关系的能力,还确保了生成过程的自回归性质,即在生成当前词的时候,只依赖于之前已经生成的词。这种机制使 Transformer 模型非常适合各种序列生成任务,如机器翻译、文本摘要等。
-
之所以有这种机制,是因为自注意力机制允许当前位置的输出与未来位置的输入产生关联,从而导致数据泄露和信息泄露的问题。而推理阶段,是不可能读到未来信息的,这样可能会导致模型在训练和推断阶段表现不一致,以及模型预测结果的不稳定性。
3.3.2、编码 - 解码注意力层(解码器)
-
编码 - 解码注意力层(Encoder-Decoder Attention Layer)是一种特殊的注意力机制,用于在解码器中对输入序列(编码器的输出)进行注意力计算。这个注意力层有助于解码器在生成输出序列时对输入序列的信息进行有效整合和利用,注意,这个注意力层关注的是全局的注意力计算,包括编码器输出的信息序列和解码器内部的自注意力计算。
-
那它与上面讲的解码器自注意力层有什么区别呢?
1、信息来源不同:编码 - 解码注意力层用在解码器(Decoder)中,将解码器当前位置的查询向量与编码器(Encoder)的输出进行注意力计算,而解码自注意力层用于解码器自身内部,将解码器当前位置的查询向量与解码器之前生成的位置的输出进行注意力计算。
2、计算方式不同:编码 - 解码注意层计算当前解码器位置与编码器输出序列中所有位置的注意力分数。这意味着解码器在生成每个输出位置时,都可以综合考虑整个输入序列的信息。解码自注意力层计算当前解码器位置与之前所有解码器位置的输出的注意力分数。这使得解码器可以自我关注并利用先前生成的信息来生成当前位置的输出。
-
用一句话总结就是:编码 - 解码注意层关注整个编码器输出序列,将编码器的信息传递给解码器,用于帮助解码器生成目标序列,解码自注意力层关注解码器自身先前生成的位置的信息,用于帮助解码器维护上下文并生成连贯的输出序列。
3.3.3、前馈层处理(解码器)
- 前馈处理和编码器中的前馈处理类似,通过两次线性映射和一个中间的 ReLU 激活函数,生成解码器最终的输出,原理可以看我们上一节课介绍的内容。
3.3.3.1、Linear
-
在 Transformer 架构中,Linear 层就是线性层的意思,通常被用于多个子模块中,包括编码器和解码器中的不同部分。Linear 层的作用是对输入数据进行线性变换,将输入张量映射到另一个张量空间中,并且通过学习参数来实现数据的线性组合和特征变换。可以说,Linear 无处不在,也很容易理解。我简单讲解下解码器后面的 Linear 的作用。
-
解码器后面的 Linear 层通常用于将经过前馈层处理的特征表示,映射到最终的输出空间,即模型的输出词汇表的维度。这个 Linear 层的作用是将解码器前馈层的输出映射为模型最终的预测结果,例如生成下一个单词或标记的概率分布,实际上是进行降维,将前馈层的高维输出转换为词汇表的维度。你可以参考下面的示例代码:
import torchimport torch.nn as nnimport torch.nn.functional as Fclass Decoder(nn.Module): def __init__(self, d_model, vocab_size): super(Decoder, self).__init__() self.d_model = d_model self.vocab_size = vocab_size # 前馈网络(Feed Forward Network) self.feedforward = nn.Sequential( nn.Linear(d_model, 2048), nn.ReLU(), nn.Linear(2048, vocab_size) ) def forward(self, x): # x: 解码器前馈网络的输出,形状为 [batch_size, seq_len, d_model] # 将解码器前馈网络的输出通过线性层进行映射 output_logits = self.feedforward(x) # 输出形状为 [batch_size, seq_len, vocab_size] # 对输出 logits 进行 softmax 操作,得到预测概率 output_probs = F.softmax(output_logits, dim=-1) # 输出形状为 [batch_size, seq_len, vocab_size] return output_probs# 示例用法d_model = 512 # 解码器特征维度vocab_size = 10000 # 词汇表大小# 创建解码器实例decoder = Decoder(d_model, vocab_size)# 输入数据,假设解码器前馈网络的输出input_tensor = torch.randn(2, 10, d_model) # 示例输入,batch_size=2,序列长度=10# 解码器前向传播output_probs = decoder(input_tensor)# 输出预测概率,形状为 [2, 10, 10000]print(output_probs.shape) -
示例中,我们定义了一个简单的解码器(Decoder),其中包含一个前馈网络。前馈网络由两个线性层和一个 ReLU 激活函数组成,用于将解码器的特征表示 x 映射到词汇表大小的维度上。最后,对输出进行 Softmax 操作,得到预测概率。我们再看看 Softmax 函数的作用。
3.3.3.2、Softmax 函数
-
Softmax 函数作用非常大,其核心就是一句话:将一组任意实数转换成一个概率分布。在 Transformer 模型中有多处用到,比如注意力机制和多头注意力机制,通过 Softmax 函数计算注意力分数,以及在解码器最后一层,会将上面讲的 Linear 线性层输出的数据,应用 Softmax 函数进行处理。这里有两个问题需要注意。
1、为什么需要通过 Softmax 函数进行计算?意义在哪里?
2、将任意实数转化为概率分布,数据的意义将会发生变化,会不会对效果产生影响?
-
我们看一下关于问题 1 的解释。
将得分转换成概率后,模型能够更加明确地选择哪些输入的部分是最相关的。
在神经网络中,直接处理非常大或非常小的数值可能会导致数值不稳定,出现梯度消失或爆炸等问题。通过 Softmax 函数处理后,数据将被规范化到一个固定的范围,从 0 到 1 之间,可以缓解这些问题。
Softmax 函数的输出是概率分布,这使得模型的行为更加透明,可以直接解释为“有多少比例的注意力被分配到特定的输入上”。这有助于调试和优化模型,以及理解模型的决策过程。
-
我们再看一下关于问题 2 的解释。
原始的得分只表达了相对大小关系,即一个得分比另一个高,但不清楚这种差异有多大。而通过 Softmax 转换后,得到的概率值不仅反映出哪些得分较高,还具体表达了它们相对于其他选项的重要性。这种转换让模型可以做出更精确的决策。
原始得分可能因范围广泛或分布不均而难以直接操作,而概率形式的输出更标准化、更规则,适合进一步的处理和决策,如分类决策、风险评估等。
-
我们看一个简单的示例代码。
import numpy as npimport torchimport torch.nn.functional as F# 假设有一个简单的查询 (Query) 和键 (Key) 矩阵,这里使用随机数生成np.random.seed(0) # 设置随机种子以确保结果的可复现性query = np.random.rand(1, 64) # 查询向量,维度为1x64key = np.random.rand(64, 10) # 键矩阵,维度为64x10# 将numpy数组转换为torch张量query = torch.tensor(query, dtype=torch.float32)key = torch.tensor(key, dtype=torch.float32)# 计算点积注意力得分attention_scores = torch.matmul(query, key) # 结果维度为1x10# 应用Softmax函数,规范化注意力权重attention_weights = F.softmax(attention_scores, dim=-1)print("注意力得分(未规范化):", attention_scores)print("注意力权重(Softmax规范化后):", attention_weights) -
程序输出结果:
注意力得分(未规范化): tensor([[17.9834, 15.4092, 15.5016, 15.2171, 18.3008, 17.4539, 15.6339, 16.3575, 14.5159, 15.4736]])注意力权重(Softmax规范化后): tensor([[0.2786, 0.0212, 0.0233, 0.0175, 0.3826, 0.1640, 0.0266, 0.0548, 0.0087, 0.0226]]) -
Softmax 函数的具体实现:

1、指数化:对输入向量的每个元素应用指数函数。这意味着每个输入值 x_i 被转换为 e^{x_i},其中 e 是自然对数的底。这一步的作用是将所有输入转化为正数,并放大了输入值之间的差异。
2、归一化:计算所有指数化值的总和 {\sum_{j}{}{e{x_j}}},然后,将每个指数化后的值除以这个总和。这一步的结果是一组和为 1 的概率值,其中每个概率值都表示原始输入值相对于其他值的重要性或贡献度。
-
代码实现如下:
import numpy as npdef softmax(x): exp_x = np.exp(x - np.max(x)) # 防止数值溢出 return exp_x / exp_x.sum()# 示例输入x = np.array([1.0, 2.0, 3.0])print("Softmax输出:", softmax(x))
四、Transformer 的优势
4.1、并行处理能力
- 与传统的循环神经网络(RNN)和长短期记忆网络(LSTM)不同,Transformer 完全依赖于自注意力机制,消除了序列处理中的递归结构,允许模型在处理输入数据时实现高效的并行计算。这使得训练过程大大加速,特别是在使用现代 GPU 和 TPU 等硬件时。你可以回顾一下 Position Encoding 的作用,就是为序列添加位置编码,以便在并行处理完以后,进行合并。
4.2、捕捉长距离依赖
- Transformer 通过自注意力机制能够捕捉序列中的长距离依赖关系。在自然语言处理中,这意味着模型可以有效地关联文本中相隔很远的词汇,提高对上下文的理解。
4.3、灵活的注意力分布
- 多头注意力机制允许 Transformer 在同一个模型中同时学习数据的不同表示。每个头可以专注于序列的不同方面,例如一个头关注语法结构,另一个头关注语义内容。
4.4、可扩展性
- Transformer 模型可以很容易地扩展到非常大的数据集和非常深的网络结构。这一特性是通过模型的简单可堆叠的架构实现的,使其在训练非常大的模型时表现出色。
- 当然还有其他特性,比如适用性、通用性等,总的来说,Transformer 通过其独特的架构设计在效率、效果和灵活性方面提供了显著的优势,使其成为处理复杂序列数据任务的强大工具。
最后
对于正在迷茫择业、想转行提升,或是刚入门的程序员、编程小白来说,有一个问题几乎人人都在问:未来10年,什么领域的职业发展潜力最大?
答案只有一个:人工智能(尤其是大模型方向)
当下,人工智能行业正处于爆发式增长期,其中大模型相关岗位更是供不应求,薪资待遇直接拉满——字节跳动作为AI领域的头部玩家,给硕士毕业的优质AI人才(含大模型相关方向)开出的月基础工资高达5万—6万元;即便是非“人才计划”的普通应聘者,月基础工资也能稳定在4万元左右。
再看阿里、腾讯两大互联网大厂,非“人才计划”的AI相关岗位应聘者,月基础工资也约有3万元,远超其他行业同资历岗位的薪资水平,对于程序员、小白来说,无疑是绝佳的转型和提升赛道。

对于想入局大模型、抢占未来10年行业红利的程序员和小白来说,现在正是最好的学习时机:行业缺口大、大厂需求旺、薪资天花板高,只要找准学习方向,稳步提升技能,就能轻松摆脱“低薪困境”,抓住AI时代的职业机遇。
如果你还不知道从何开始,我自己整理一套全网最全最细的大模型零基础教程,我也是一路自学走过来的,很清楚小白前期学习的痛楚,你要是没有方向还没有好的资源,根本学不到东西!
下面是我整理的大模型学习资源,希望能帮到你。

👇👇扫码免费领取全部内容👇👇

最后
1、大模型学习路线

2、从0到进阶大模型学习视频教程
从入门到进阶这里都有,跟着老师学习事半功倍。

3、 入门必看大模型学习书籍&文档.pdf(书面上的技术书籍确实太多了,这些是我精选出来的,还有很多不在图里)

4、 AI大模型最新行业报告
2026最新行业报告,针对不同行业的现状、趋势、问题、机会等进行系统地调研和评估,以了解哪些行业更适合引入大模型的技术和应用,以及在哪些方面可以发挥大模型的优势。

5、面试试题/经验

【大厂 AI 岗位面经分享(107 道)】

【AI 大模型面试真题(102 道)】

【LLMs 面试真题(97 道)】

6、大模型项目实战&配套源码

适用人群

四阶段学习规划(共90天,可落地执行)
第一阶段(10天):初阶应用
该阶段让大家对大模型 AI有一个最前沿的认识,对大模型 AI 的理解超过 95% 的人,可以在相关讨论时发表高级、不跟风、又接地气的见解,别人只会和 AI 聊天,而你能调教 AI,并能用代码将大模型和业务衔接。
- 大模型 AI 能干什么?
- 大模型是怎样获得「智能」的?
- 用好 AI 的核心心法
- 大模型应用业务架构
- 大模型应用技术架构
- 代码示例:向 GPT-3.5 灌入新知识
- 提示工程的意义和核心思想
- Prompt 典型构成
- 指令调优方法论
- 思维链和思维树
- Prompt 攻击和防范
- …
第二阶段(30天):高阶应用
该阶段我们正式进入大模型 AI 进阶实战学习,学会构造私有知识库,扩展 AI 的能力。快速开发一个完整的基于 agent 对话机器人。掌握功能最强的大模型开发框架,抓住最新的技术进展,适合 Python 和 JavaScript 程序员。
- 为什么要做 RAG
- 搭建一个简单的 ChatPDF
- 检索的基础概念
- 什么是向量表示(Embeddings)
- 向量数据库与向量检索
- 基于向量检索的 RAG
- 搭建 RAG 系统的扩展知识
- 混合检索与 RAG-Fusion 简介
- 向量模型本地部署
- …
第三阶段(30天):模型训练
恭喜你,如果学到这里,你基本可以找到一份大模型 AI相关的工作,自己也能训练 GPT 了!通过微调,训练自己的垂直大模型,能独立训练开源多模态大模型,掌握更多技术方案。
到此为止,大概2个月的时间。你已经成为了一名“AI小子”。那么你还想往下探索吗?
- 为什么要做 RAG
- 什么是模型
- 什么是模型训练
- 求解器 & 损失函数简介
- 小实验2:手写一个简单的神经网络并训练它
- 什么是训练/预训练/微调/轻量化微调
- Transformer结构简介
- 轻量化微调
- 实验数据集的构建
- …
第四阶段(20天):商业闭环
对全球大模型从性能、吞吐量、成本等方面有一定的认知,可以在云端和本地等多种环境下部署大模型,找到适合自己的项目/创业方向,做一名被 AI 武装的产品经理。
-
硬件选型
-
带你了解全球大模型
-
使用国产大模型服务
-
搭建 OpenAI 代理
-
热身:基于阿里云 PAI 部署 Stable Diffusion
-
在本地计算机运行大模型
-
大模型的私有化部署
-
基于 vLLM 部署大模型
-
案例:如何优雅地在阿里云私有部署开源大模型
-
部署一套开源 LLM 项目
-
内容安全
-
互联网信息服务算法备案
-
…
👇👇扫码免费领取全部内容👇👇

3、这些资料真的有用吗?
这份资料由我和鲁为民博士(北京清华大学学士和美国加州理工学院博士)共同整理,现任上海殷泊信息科技CEO,其创立的MoPaaS云平台获Forrester全球’强劲表现者’认证,服务航天科工、国家电网等1000+企业,以第一作者在IEEE Transactions发表论文50+篇,获NASA JPL火星探测系统强化学习专利等35项中美专利。本套AI大模型课程由清华大学-加州理工双料博士、吴文俊人工智能奖得主鲁为民教授领衔研发。
资料内容涵盖了从入门到进阶的各类视频教程和实战项目,无论你是小白还是有些技术基础的技术人员,这份资料都绝对能帮助你提升薪资待遇,转行大模型岗位。

这份完整版的大模型 AI 学习资料已经上传CSDN,朋友们如果需要可以微信扫描下方CSDN官方认证二维码免费领取【保证100%免费】

更多推荐

所有评论(0)