git基本使用
本文介绍了Git的基本下载安装流程和常用操作指南。首先提供了Git下载链接和详细安装教程,包括用户信息配置、SSH密钥生成方法。详细说明了如何创建远程仓库并关联本地仓库,以及代码提交推送的全过程。文章还对比了merge和rebase两种合并分支方式的区别:merge保留提交历史适合团队协作,rebase简化历史记录适合个人开发,并特别强调main分支不能使用rebase。最后给出了Git常用操作流
下载与安装
Git下载及安装保姆级教程(内附快速下载方法)-CSDN博客
查询自己用户名和邮箱
git config --global user.name
git config --global user.email
设置自己用户名和邮箱
git config --global user.name "你的名字"
git config --global user.email "你的邮箱"
生成SSH Key
ssh-keygen -t rsa -C "youremail@example.com"
去如下目录去找你生成的文件
C:\Users\heaboy\.ssh
就是在用户目录下
/root/.ssh
heaboy 以及root均为用户名
主要是要找.ssh文件夹
并且生成的时候也会给出我们存储的路径。
下面这步是将本地新建仓库默认分支名改为 main
git config --global init.defaultBranch main
原因是当前代码托管平台如gitee,默认主分支就叫main,而不是之前的master,本地git默认分支名是master,推送时如果不显式指定目标分支,就会推送给master。
可以不改。用作提醒
创建远程仓库
先在gitee创建一个远程仓库
查看仓库是否生成成功

新建一个本地文件夹作为本地仓库并把我们新建好的文件夹初始化成本地仓库
这个文件夹一般就是你的项目根目录
第一步:
第二步:
在命令行里输入git init
结果:
作为本地仓库的目录里生成了一个.git文件夹(windows隐藏了,打开),里面放了本地仓库的配置,把它删了本地仓库就没了,然后就能重新生成新的本地仓库
初始化本地仓库后返回gitee拿到远程仓库访问路径
关联本地仓库和远程仓库
git remote add origin <远程仓库URL>
origin指给这个远程仓库起的本地名字(约定俗成叫
origin)
然后需要先将远程仓库的分支和本地进行合并,为以后提交做准备
git pull origin main
main代表远程仓库分支名,一般默认分支main
把代码添加进暂存区
git add .
可能会报
warning: in the working copy of 'xxx', LF will be replaced by CRLF the next time Git touches it是 Git 的换行符自动转换机制(autocrlf) 在起作用,不是错误,通常也不影响代码功能,但了解它能避免潜在问题。
- LF(\n):Unix/Linux/macOS 使用的换行符。
- CRLF(\r\n):Windows 使用的换行符。
但是如果不是文本文件提示这种就会出问题
然后提交到本地仓库
git commit -m '此次提交描述'
把代码从本地仓库推送到远程仓库
git push origin master
master指本地默认开发分支,origin指默认远程版本库,其中master名字与上传远程库的分支名相同,比如你上传master,那么远程库也会叫master分支,但是如gitee默认主分支是main,所以可以
git push origin master:main 或干脆把本地分支名改成main
常用操作

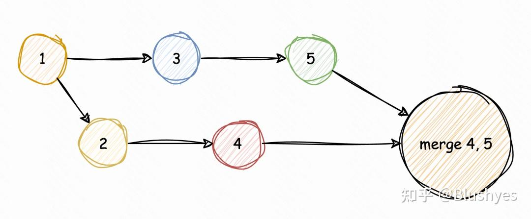
merge 和 rebase 最大的区别在于是否会保留原有的提交(或者说破坏原有的提交结构)。
merge 会对提交历史进行保留,很显然更适合多人协作开发的场景,因为如果出现问题也可以追溯到历史的每一次提交。
而 rebase 则是会让提交历史更加简洁易读,保持提交历史的线性结构,所以更适合个人开发和整理分支的情况。rebase 并不会保留原有的提交,而是会创建当前分支比目标分支更新的所有提交的副本
所以,main 分支是万万不能使用 rebase 的!!!
更多推荐


所有评论(0)