EAAI | 香港理工大学王旭等:一种增强MFNN的多源气动数据重构方法
本研究提出了一种改进的多精度数据关联方法,通过在多层神经网络间引入差分方法层,有效拓展了模型的适用性。典型数值算例表明,与传统方法相比,所提出的多精度建模方法在精度和泛化能力方面均有提升,尤其在处理不连续问题方面表现突出。在翼型和机翼跨声速压力分布重构中,MFNN_DM方法显著提升了对激波位置的预测能力,较数值模拟及DNN、MFNN等方法实现了精度的大幅提升。通过多源气动数据重构,本研究验证了物理
Multisource aerodynamic data reconstruction method using an enhanced multifidelity neural network
王旭,李怀璐,林海涛,唐辉,张伟伟*
香港理工大学机械工程系
西北工业大学航空学院

引用格式:Wang X, Li H, Lin H, Tang H, Zhang W. Multisource aerodynamic data reconstruction method using an enhanced multifidelity neural network [J]. Engineering Applications of Artificial Intelligence. 2025 Nov 15;159:111707. (10.1016/j.engappai.2025.111707)
编者按
飞行器气动压力分布的获取通常依赖于风洞试验或数值模拟。然而,多源数据在精度与效率上的差异为气动数据重构带来了挑战。特别是在跨声速问题中,间断位置的不一致使得多精度建模方法的精度始终难以保证。为了充分挖掘多精度数据在间断问题中的一致性,本研究提出一种新型多保真度架构,以增强模型对跨声速气动问题的适用性。通过在多保真度神经网络中引入差分运算,该模型能够自适应地从潜在低保真数据中寻找合适的映射关系。当高、低保真数据间存在趋势不一致时,本方法可有效降低建模误差。该方法同样适用于各类工程问题中试验与仿真数据的数据融合。
一、研究背景
多源数据建模为增强实验数据提供了一种创新方法。然而现有方法对高、低精度的数据差异提出了明确要求,这导致多精度神经网络方法在空间分布重构方面仍面临挑战。特别是对于CFD与试验数据这类多源数据,其激波位置差异呈现高度非线性特征。为了扩展极端条件下的多精度建模能力,我们致力于开发一种专用于气动数据重构的增强型多保真神经网络。该方法优先保证气动数据集空间分布的精确重构,网络架构经过特别设计用于消除激波位置等关键数据点差异的影响,从而获得高精度重构结果。在当前的工作中,我们扩展了原始映射关系来提升多保真方法的适用性与有效性。经多种测试案例验证,该方法展现出显著成效,为多保真方法在相关领域的发展提供了重要启示。
二、研究方法
通过在多精度数据之间增加差分运算,数据之间的相关性可以通过模型自主获取,而非指定的对应关系。模型改变了多精度模型中点对点的映射关系,提高了模型的泛化精度。模型通过差分增强的多精度数据关联关系如图1所示。
基于上述分析,我们在传统MFNN中融入了差分方法层,由此构建的模型称为"基于差分法的多精度神经网络"(MFNN_DM)。图2展示了所提出的多源气动数据重构方法。
三、结果与讨论
为验证所提方法的有效性,我们在经典数值算例和气动案例上开展了多保真度建模实验。预测结果表明:多保真数据间的不一致性会显著影响传统模型性能,而本文提出的多保真方法能显著提升泛化能力。
首先,我们验证了传统MFNN方法与所提出方法在数值算例上的差异。不同于传统数值算例,我们在高、低精度数据之间引入了位置偏差,以模拟趋势的不一致对建模能力的影响。模型的训练误差过程如图3(d)所示,差分关系允许模型更灵活地选取关联方式,这显著提高了模型的训练精度。针对间断问题的预测结果如图4所示。
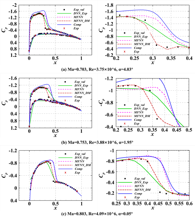
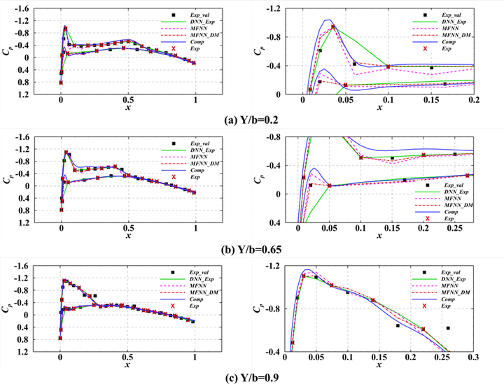
针对翼型和ONERA M6机翼跨声速压力分布的重构结果(图5-8)显示,增强型多保真模型能精确捕捉激波位置,从而提升建模精度。压力分布重构结果分析表明,与深度神经网络及传统多保真神经网络相比,新方法可降低30%以上的重构误差。
本研究提出了一种改进的多精度数据关联方法,通过在多层神经网络间引入差分方法层,有效拓展了模型的适用性。典型数值算例表明,与传统方法相比,所提出的多精度建模方法在精度和泛化能力方面均有提升,尤其在处理不连续问题方面表现突出。在翼型和机翼跨声速压力分布重构中,MFNN_DM方法显著提升了对激波位置的预测能力,较数值模拟及DNN、MFNN等方法实现了精度的大幅提升。通过多源气动数据重构,本研究验证了物理模拟与试验方法相结合的可行性,展现了多精度建模技术在非线性间断问题重构中的应用潜力。主要结论包括:
-
所提出的差分方法进一步拓展了多精度模型内部的关联关系,为多源数据不一致性问题提供了自适应解决方案。当高/低精度数据存在偏差时,MFNN_DM方法能有效削弱偏差影响,提升多精度建模能力。
-
面对试验数据稀疏与CFD数据不准确的双重挑战,通过多精度建模实现数据融合与重构是有效解决途径。采用多精度建模可减小多源数据差异,提升实验数据应用能力。
-
通过NACA0012翼型和ONERA M6机翼跨声速压力分布重构,验证了MFNN_DM模型的泛化能力,建模精度提升超30%。
-
本研究证实了物理模拟与试验方法相结合的可行性,展现了多精度建模技术在非线性间断问题重构中的独特优势。
公众号原文链接(文末附论文资源):
EAAI | 香港理工大学王旭等:一种增强MFNN的多源气动数据重构方法
注:文章由作者原创供稿,并获得作者授权发布。
更多推荐



所有评论(0)