电力设备局部放电监测与诊断技术深度调研报告(2026)
电力设备局部放电监测与诊断技术调研摘要 随着特高压电网发展,电力设备绝缘可靠性面临更高要求。局部放电(PD)是绝缘劣化的主要征兆,也是引发故障的重要因素。本报告系统分析了PD的物理机制、检测标准、传感技术及智能诊断方法。 核心发现: 标准体系:IEC 60270和GB/T 7354等标准规定了PD测量方法及限值,GIS等设备要求严苛(≤5 pC)。 传感技术:HFCT、UHF、TEV及超声波等多模
电力设备局部放电监测与诊断技术深度调研报告(2026)

1. 摘要与引言
1.1 调研背景与意义
随着全球能源互联网的构建以及特高压(UHV)输电技术的飞速发展,电力系统的电压等级不断提升,对电力设备的绝缘可靠性提出了前所未有的挑战。绝缘故障是导致电力设备非计划停运的主要原因之一,而局部放电(Partial Discharge, PD)既是绝缘劣化的主要征兆,也是导致绝缘最终击穿的重要诱因。因此,对局部放电进行全面、深入的技术调研,对于提升电网运行的安全性、实现从“周期性检修”向“状态检修”(CBM)的转变具有极其重要的战略意义。
本报告旨在提供一份详尽的电力领域局部放电技术调研成果,涵盖了从基础物理机制、检测标准体系、先进传感技术、信号处理算法、定位技术到基于人工智能的诊断模型及未来数字化趋势的全方位分析。报告内容基于广泛的国际文献、技术标准(IEC, IEEE, GB/T)及最新的科研成果 1。
1.2 局部放电的物理定义与危害机制
局部放电是指在高压电场作用下,绝缘结构中局部区域的电场强度超过了该区域介质的击穿场强,导致局部区域发生放电,但并未形成贯穿两个主电极之间通道的电气现象 4。
1.2.1 电子崩与微观过程
局部放电的引发通常始于绝缘介质内部气隙(Void)、杂质或电极表面的强电场区域。当有效电子在电场作用下获得足够的动能,碰撞中性气体分子并使其电离,形成电子崩(Electron Avalanche)。这种微秒级甚至纳秒级的电荷迁移过程会产生一系列物理效应:
- 电脉冲电流:电荷的快速移动在外电路引起瞬态电流脉冲,是IEC 60270标准测量的基础 6。
- 电磁辐射:放电过程伴随着极短的上升沿(<1ns),辐射出从高频(HF)到超高频(UHF)甚至光波段的电磁波 7。
- 声发射:局部气体的急剧膨胀和收缩产生机械波(超声波)8。
- 化学产物:长期的电子轰击导致绝缘材料分解,产生臭氧( O _ 3 O\_3 O_3)、氮氧化物( N O _ x NO\_x NO_x)以及在油中产生氢气( H _ 2 H\_2 H_2)、乙炔( C _ 2 H _ 2 C\_2H\_2 C_2H_2)等特征气体 9。
1.2.2 绝缘劣化的累积效应
局部放电虽然短时间内不会导致设备击穿,但其长期累积效应是破坏性的。
- 热效应:放电点的局部高温会碳化绝缘材料,形成导电通道。
- 化学腐蚀:产生的酸性物质(如硝酸)会腐蚀金属和绝缘纸。
- 电树枝(Electrical Treeing):在固体绝缘中,放电通道逐渐延伸形成树枝状通道,一旦贯穿绝缘层,将直接导致灾难性的绝缘击穿 2。
2. 标准体系与检测规范
电力行业的局部放电检测受到严格的标准体系约束,这些标准不仅定义了测量的物理量,还规定了不同电压等级和设备类型的合格限值。
2.1 国际标准体系(IEC)
国际电工委员会(IEC)制定了一系列核心标准,指导全球的PD测量技术。
2.1.1 IEC 60270:传统脉冲电流法
IEC 60270《高电压试验技术——局部放电测量》是PD测量的“宪法” 12。
- 核心指标:视在电荷量(Apparent Charge),单位为皮库仑(pC)。
- 测量原理:通过耦合电容器( C _ k C\_k C_k)与被测设备( C _ a C\_a C_a)构成回路,利用测量阻抗( Z _ m Z\_m Z_m)捕获放电瞬间的脉冲电流。
- 局限性:该标准主要适用于背景噪声可控的实验室环境或离线试验。在现场强干扰环境下,基于pC值的绝对测量往往难以实现高信噪比 12。
2.1.2 IEC TS 62478:非传统检测方法
为了适应现场在线监测的需求,IEC发布了技术规范TS 62478,专门针对电磁(HF/VHF/UHF)和声学测量方法 13。
- 转变:不再强制要求pC值,而是认可mV、dBm等物理量,重点在于灵敏度校验(Sensitivity Check)而非绝对校准(Calibration)。
2.2 中国国家标准(GB/T)
中国的PD标准体系与IEC高度接轨,但在具体的工程验收环节有更为细致的规定。
2.2.1 GB/T 7354 与 GB/T 50150
- GB/T 7354-2018:等同采用IEC 60270,定义了PD测量的基本术语和方法 15。
- GB/T 50150-2016:《电气装置安装工程电气设备交接试验标准》。这是工程现场最关键的强制性标准,规定了新设备投入运行前的验收门槛 16。
2.2.2 典型设备的放电限值
根据GB/T 50150及相关设备导则,不同电压等级设备的PD允许限值存在显著差异。这些限值是判断设备是否“健康”的红线。
| 设备类型 | 电压等级 | 典型PD限值 (pC) | 备注 |
|---|---|---|---|
| 油浸式电力变压器 | 110kV / 220kV | l e 100 t e x t p C \\le 100 \\text{ pC} le100textpC | 在1.5倍或1.3倍最高相电压下测量,具体取决于试验程序 19。 |
| 气体绝缘开关设备 (GIS) | 110kV - 500kV | l e 5 t e x t p C \\le 5 \\text{ pC} le5textpC | GIS对清洁度要求极高,任何微粒都可能导致故障,因此限值极严 20。 |
| 干式变压器 | 10kV - 35kV | l e 10 t e x t p C \\le 10 \\text{ pC} le10textpC | 环氧树脂浇注绝缘,对内部气隙非常敏感。 |
| 高压电缆 (XLPE) | 110kV及以上 | l e 5 t e x t p C \\le 5 \\text{ pC} le5textpC | 竣工试验通常要求背景噪声极低以检测微弱缺陷。 |
2.3 标准的发展趋势
随着GB/T 42287等新标准的实施,未来将更加注重特高压直流(HVDC)系统中的PD测量(如GB/T 25308-2022针对直流滤波器的规定),以及高海拔环境下的修正系数(GB/T 41635-2022)3。
3. 核心传感技术与检测原理
针对局部放电产生的声、光、电、热、化学等多维物理现象,业界发展出了多种传感技术。单一传感器往往存在局限性,多传感器融合(Multi-Modal Fusion)已成为主流趋势。
3.1 电脉冲传感器:高频电流互感器 (HFCT)
HFCT是目前电缆和变压器在线监测中应用最广泛的非侵入式传感器。
- 工作原理:基于罗氏线圈(Rogowski Coil)或铁氧体磁芯的电磁感应原理。当PD脉冲沿接地线泻放时,HFCT感应出高频电流信号 8。
- 频率响应:通常覆盖 100 kHz 至 20 MHz 频段。优质的HFCT需要具备宽频带和平坦的幅频特性,以真实还原脉冲波形。
- 工程应用:
- 电缆终端:卡装在电缆屏蔽层的接地线上,用于检测电缆本体及附件的局放。
- 变压器铁芯接地:监测铁芯多点接地或绕组对地放电。
- 优势:安装方便,无需停电(若接地线结构允许),可捕捉流动的电流脉冲。
- 劣势:容易受到系统侧高频干扰的影响,信噪比(SNR)通常低于UHF传感器。
3.2 电磁波传感器:超高频 (UHF)
UHF法是GIS和大型变压器监测的“金标准”,特别是在抗干扰方面表现卓越。
- 物理机制:PD脉冲的上升沿极陡(<1ns),激发出频率高达GHz级的电磁波。UHF传感器本质上是工作在 300 MHz - 3 GHz 频段的天线 7。
- 传感器分类:
- 内置式(Internal):在设备制造阶段安装于油阀或GIS盆式绝缘子内部,灵敏度最高,能捕捉到 5pC 以下的微弱信号 22。
- 外置式(External):贴附在GIS的盆式绝缘子外侧,利用电磁波泄露进行检测。安装灵活,但信号经过金属外壳和绝缘子会有较大衰减。
- 抗干扰原理:变电站现场的电晕干扰(Corona)主要集中在 300 MHz 以下。UHF通过高通滤波特性,天然屏蔽了这些低频干扰,仅保留设备内部的高频缺陷信号,极大地提高了信噪比 23。
- 校准难题:UHF法测量的是电磁场强度(V/m或dBm),而非电荷量(pC)。目前业界尚无通用的UHF绝对校准标准,通常采用“等效灵敏度”或在实验室通过GTEM小室测定天线系数(Antenna Factor)来建立关联 24。
3.3 暂态地电压 (TEV)
TEV是针对开关柜(Switchgear)监测的特有技术。
- 集肤效应与波传播:当开关柜内部发生放电,电磁波在金属封闭腔体内传播,遇到缝隙(如柜门接缝)时泄露到金属柜体外表面。由于高频信号的集肤效应,电流汇聚在金属表面,形成暂态电压 5。
- 检测方式:使用电容耦合式探头吸附在开关柜金属外壳表面。
- 应用场景:主要用于10kV-35kV中压开关柜的母线室、断路器室检测。判断标准通常依据幅值(dBmV)和脉冲数。
3.4 超声波与声发射 (AE)
声学检测是定位PD源的有力工具,因为声波在绝缘油或SF6气体中的传播速度远低于电磁波,便于利用时间差定位。
- 频段:通常选择 20 kHz - 300 kHz 的超声频段,避开变压器铁芯磁致伸缩产生的低频噪声 8。
- 传感器:压电陶瓷传感器(PZT)贴在油箱壁外侧,或光纤声传感器潜入内部。
- 挑战:声波在传播过程中衰减极大,且遇到绕组、铁芯等障碍物会发生折射和反射,导致“多径效应”,使得定位计算变得复杂 26。相比UHF,声学法的灵敏度较低,通常作为UHF发现异常后的辅助定位手段。
3.5 光学与化学检测
- 光测法:利用荧光光纤传感器探测放电产生的微弱光脉冲。荧光光纤埋入变压器绕组内部,对电磁干扰完全免疫。研究表明,在检测某些低电压下的电子崩放电时,光学法可能比UHF更灵敏,能提供更宽的相位分布信息 27。
- 油中溶解气体分析 (DGA):虽然不是实时脉冲检测,但DGA是诊断变压器长期潜伏性故障的权威方法。
- 氢气 ( H _ 2 H\_2 H_2):低能量局部放电和电晕的主要特征气体。
- 乙炔 ( C _ 2 H _ 2 C\_2H\_2 C_2H_2):通常代表高能量电弧放电,但在严重或持续的局部放电中也会微量产生。
- 甲烷 ( C H _ 4 CH\_4 CH_4):伴随过热或放电产生。
- 通过分析 H _ 2 / C H _ 4 H\_2/CH\_4 H_2/CH_4 等比值,可以区分单纯的PD故障和过热兼PD故障 9。
4. 信号处理与降噪算法
现场环境充满了各种电磁干扰(无线电广播、电力电子开关噪声、电晕等),如何从强噪声中提取微弱的PD信号是技术核心。
4.1 干扰类型与特征
- 白噪声:随机分布,覆盖全频段,通常由热噪声引起。
- 窄带周期性干扰:如通讯载波,频域上表现为尖峰。
- 脉冲型干扰:如晶闸管动作,时域上与PD脉冲相似,难以区分。
4.2 先进降噪算法
4.2.1 小波变换 (Wavelet Transform)
小波变换利用由于PD信号和噪声在时频域上的不同特性进行分离。
- 阈值去噪:将信号分解为不同尺度的小波系数。PD信号通常对应较大的系数,而噪声对应较小的系数。通过设定硬阈值或软阈值,滤除噪声分量 31。
- 小波基选择:选择与PD波形相似的小波基(如Daubechies系列)至关重要。
4.2.2 变分模态分解 (VMD) 与经验模态分解 (EMD)
- EMD:将信号自适应分解为若干个本征模态函数(IMF)。但在处理断续信号时容易出现“模态混叠”问题。
- VMD:引入了变分框架,能够更有效地分离窄带干扰和宽带PD信号。结合优化算法(如花授粉算法 FPA、鲸鱼优化算法 WOA)自动寻优分解层数 K K K 和惩罚因子 a l p h a \\alpha alpha,可显著提升信噪比 32。
4.2.3 奇异值分解 (SVD)
SVD技术通过构建Hankel矩阵,将一维时间序列转化为矩阵形式。由于窄带干扰通常对应较大的奇异值,通过置零前几个大奇异值,可以有效剔除周期性窄带干扰 34。
5. 局部放电定位技术
发现PD只是第一步,精确定位缺陷位置(Localization)对于指导维修至关重要。
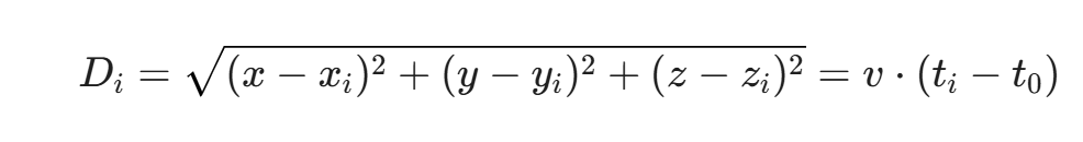
5.1 到达时间差法 (TDOA)
这是目前应用最成熟的定位算法,适用于UHF和声学阵列。
- 数学模型:假设PD源坐标为 ( x , y , z ) (x,y,z) (x,y,z),第 i i i 个传感器的坐标为 ( x _ i , y _ i , z _ i ) (x\_i, y\_i, z\_i) (x_i,y_i,z_i),信号到达第 i i i 个传感器的时间为 t _ i t\_i t_i。则距离方程为:

其中 v v v 是波速, t _ 0 t\_0 t_0 是放电发生的绝对时刻(未知量)。通过至少4个传感器的方程联立,消去 t _ 0 t\_0 t_0,求解非线性方程组即可得到坐标 6。
- 求解难点:方程组是非线性的,通常采用Chan氏算法、泰勒级数展开或粒子群优化算法(PSO)进行数值求解 36。
5.2 声电联合定位
针对变压器内部结构复杂的问题,采用“电信号触发,声信号定位”的策略。
- 原理:电磁波传播速度极快(光速,约 3 t i m e s 10 8 3 \\times 10^8 3times108 m/s),可视为瞬时到达;声波在油中速度慢(约 1400 m/s)。
- 计算:测量声信号滞后于电信号的时间差 D e l t a t \\Delta t Deltat,则距离 R a p p r o x v _ s o u n d c d o t D e l t a t R \\approx v\_{sound} \\cdot \\Delta t Rapproxv_soundcdotDeltat。该方法极大简化了计算模型,且只需少量传感器即可估算距离球面的交点 6。
5.3 阵列信号处理与波束形成
对于大型变电站的开放空间检测,使用天线阵列(Antenna Array)。利用MUSIC(多重信号分类)算法或ESPRIT算法估计信号的到达角(DOA),通过双站或多站测向交叉定位PD源,无需精确的时间同步 35。
6. 图谱识别与人工智能诊断
从信号中提取特征并识别缺陷类型(Pattern Recognition),是评估设备风险等级的关键。
6.1 经典图谱分析:PRPD
相位分辨局部放电(Phase Resolved Partial Discharge, PRPD)图谱是目前诊断的通用语言。它将放电脉冲叠加在工频电压的相位(0-360°)上 38。
- 电晕放电 (Corona):主要集中在电压波形的负半周峰值附近(对于针尖负极性),相位分布窄,幅值稳定 1。
- 内部气隙 (Internal Void):典型的“兔耳”形状,出现在电压过零点后的上升沿和下降沿,正负半周基本对称 11。
- 表面放电 (Surface):不对称,放电幅值通常较大,且相位范围随电压升高而展宽。
- 悬浮电位 (Floating):幅值非常稳定,相邻脉冲间隔均匀,通常出现在电压变化率最大的时刻。
6.2 深度学习 (Deep Learning) 的引入
传统机器学习(SVM, 随机森林)依赖人工提取统计特征(偏度、陡度),而深度学习能够直接从PRPD图像或原始波形中学习特征,准确率已突破90% 40。
6.2.1 卷积神经网络 (CNN)
将PRPD图谱视为图像,利用CNN(如ResNet, VGG, MobileNet)强大的图像分类能力进行识别。
- 优势:对图形特征(形状、聚类)极其敏感,能够区分复杂的重叠放电模式。
- 最新进展:2024-2025年的研究开始引入“双通道”输入,即同时输入PRPD图谱和PRPS(相位分辨脉冲序列)图谱,结合空间特征和时序特征,大幅提升了对由于负荷变化引起的间歇性放电的识别能力 42。
6.2.2 长短期记忆网络 (LSTM)
针对PD信号的时序特性,LSTM能够捕捉脉冲序列的前后关联。
- 应用:识别放电的发展趋势,区分随机干扰脉冲和具有物理规律的PD脉冲序列。LSTM与CNN的混合模型(CNN-LSTM)被证明在变压器PD诊断中具有极高的鲁棒性 43。
6.2.3 小样本学习与迁移学习
工业现场获取带标签的故障数据非常困难。
- 迁移学习:将在实验室大量模拟数据上训练好的模型参数迁移到现场数据模型中,仅需少量现场样本微调即可。
- 生成对抗网络 (GAN):利用DCGAN生成逼真的虚拟PD图谱,扩充训练数据集,解决数据不平衡问题 42。
7. 典型设备应用案例分析
7.1 气体绝缘开关设备 (GIS)
- 主要问题:自由金属微粒(Free Particle)、绝缘子沿面放电、导体毛刺。
- 检测策略:首选UHF法。由于GIS是同轴波导结构,UHF信号传播损耗小。
- 案例特征:自由微粒会在重力场和电场作用下跳动,其PRPD图谱呈现出不相关的散点状,且放电间隔与微粒飞行时间有关。通过声电联合检测,利用微粒撞击外壳的声信号和放电的电信号,可精准定位微粒位置 45。
7.2 电力变压器
- 主要问题:油纸绝缘气隙、引线接触不良、悬浮电位。
- 检测策略:综合监测。HFCT监测套管末屏,UHF监测油箱内部,DGA监测长期趋势。
- 难点:变压器内部结构复杂,金属绕组和铁芯会屏蔽和反射电磁波。近年来,利用数字孪生技术建立变压器3D电磁仿真模型,反演PD源的真实放电量,成为解决衰减修正难题的新方向 46。
7.3 高压电缆
- 主要问题:接头和终端施工工艺不良导致的气隙或杂质。
- 检测策略:振荡波测试(OWTS)用于离线精确定位;HFCT用于在线监测。
- 定位技术:利用时域反射原理(TDR),测量直达波和反射波的时间差,结合电缆波速,定位精度可达米级 48。
8. 未来趋势:数字化与智能化
8.1 数字孪生 (Digital Twin)
数字孪生技术正在重塑PD监测。通过构建与物理设备一致的虚拟模型,可以实时模拟PD信号在设备内部的传播路径。
- 价值:当传感器接收到衰减后的信号时,数字孪生模型可以“反向推演”,计算出源头的真实放电量,解决了传统检测中“测得到但由于衰减不知道严不严重”的痛点 47。
8.2 边缘计算 (Edge Computing)
随着采样率的提高(100MS/s以上),海量原始数据的传输成为瓶颈。
- 趋势:将AI算法部署在前端采集装置(Edge Device)上。边缘端完成信号的去噪、图谱生成和初步诊断,仅将诊断结果和少量特征数据上传云端。这不仅降低了带宽需求,还大幅提升了系统的响应速度 49。
8.3 综合健康指数
未来的诊断将不再孤立依赖PD数据,而是融合DGA、油温、负荷电流、振动等多源数据,构建多维度的设备健康画像。通过大数据分析,建立设备的全生命周期健康管理(PHM)体系。
9. 结论
电力领域的局部放电检测技术已经从单一的物理测量演变为一个融合了高灵敏度传感、高速信号处理、电磁场仿真和人工智能的综合学科。
- 传感技术:UHF和HFCT已成为在线监测的主力,声学和光学技术在特定场景下提供了不可替代的补充。
- 诊断智能:深度学习算法的介入,使得PD类型的识别准确率达到了工业实用的水平,极大降低了对专家经验的依赖。
- 标准规范:IEC和GB标准的不断完善,特别是针对非传统方法的规范化,为新技术的推广提供了法理依据。
面对未来更复杂的电网环境,持续提升传感器的极端环境适应性、优化AI算法的可解释性以及构建基于数字孪生的精准评估体系,将是局部放电技术发展的核心方向。
注:本报告中引用的文献标识(如 1)对应于调研数据库中的源文件。
引用的文献
- Main causes and types of partial discharge - Fluke Corporation, 访问时间为 一月 8, 2026, https://www.fluke.com/en-au/learn/blog/leak-detection/partial-discharge
- Partial discharge - Wikipedia, 访问时间为 一月 8, 2026, https://en.wikipedia.org/wiki/Partial_discharge
- Chinese National Standard: GB/T – Page 275, 访问时间为 一月 8, 2026, https://www.chinesestandard.net/List/GBT.aspx/Page275
- A Guide for Partial Discharge Measurements on medium voltage (MV) and high voltage (HV) apparatus - OMICRON, 访问时间为 一月 8, 2026, https://www.omicronenergy.com/download/file/fb29b0a044fcf4cb50e54e8a7a97d04e/
- Partial Discharge Testing (PD Testing) | EA Technology Americas, 访问时间为 一月 8, 2026, https://eatechnology.com/americas/resources/faq/partial-discharge-testing-pd-testing/
- Partial Discharge Localization Techniques: A Review of Recent Progress - MDPI, 访问时间为 一月 8, 2026, https://www.mdpi.com/1996-1073/16/6/2863
- Application of UHF Sensors in Power System Equipment for Partial Discharge Detection: A Review - Semantic Scholar, 访问时间为 一月 8, 2026, https://pdfs.semanticscholar.org/c68f/d358b98f8af3faf38466da22b08cd2cf67dc.pdf
- Partial Discharge Detector — Complete Guide, 访问时间为 一月 8, 2026, https://www.fjinno.net/partial-discharge-detector-complete-guide/
- Dissolved Gas Analysis and Applications - Fuji Electric Sales Philippines, 访问时间为 一月 8, 2026, https://www.ph.fujielectric.com/dissolved-gas-analysis/
- Transformer Dissolved Gas Content, Types and Properties - Technical Notes, 访问时间为 一月 8, 2026, https://wiki.testguy.net/t/transformer-dissolved-gas-content-types-and-properties/248
- Phase-Resolved Partial Discharge (PRPD) Pattern Recognition Using Image Processing Template Matching - PMC - NIH, 访问时间为 一月 8, 2026, https://pmc.ncbi.nlm.nih.gov/articles/PMC11175222/
- A Guide to Partial Discharge Measurements on Medium-Vortage (MV) and High-Voltage (HV) Apparatus - OMICRON, 访问时间为 一月 8, 2026, https://www.omicronenergy.com/download/file/e5e8a545dfbaebe53f6487fe7f4886a9
- IEC TS 62478:2016, 访问时间为 一月 8, 2026, https://webstore.iec.ch/en/publication/25740
- IEC TS 62478:2016 - iTeh Standards, 访问时间为 一月 8, 2026, https://cdn.standards.iteh.ai/samples/15058/6b8ef8ae7adb4afa9c8c7613cb998e3c/IEC-TS-62478-2016.pdf
- GB/T 7354-2018 English PDF, 访问时间为 一月 8, 2026, https://www.chinesestandard.net/PDF/English.aspx/GBT7354-2018
- Standard For Hand-Over Test of Electric Equipment Electric Equipment Installation Engineering | PDF | Transformer | Electric Generator - Scribd, 访问时间为 一月 8, 2026, https://www.scribd.com/document/553834986/GB50150-2006%E8%8B%B1%E6%96%87%E7%89%88
- GB 50150-2016 English PDF, 访问时间为 一月 8, 2026, https://www.chinesestandard.net/PDF/English.aspx/GB50150-2016
- GB 50150-2006 English Version, GB 50150-2006 Standard for Hand-over Test of Electric Equipment (English Version) - Code of China, 访问时间为 一月 8, 2026, https://www.codeofchina.com/standard/GB50150-2006.html
- Partial Discharge Measurements On 110kV Current Transformers. Setting The Control Value. Case Study | PDF - Scribd, 访问时间为 一月 8, 2026, https://www.scribd.com/document/398317287/Chap1-Intro
- High Voltage Testing and Partial Discharge Measurements in Gas Insulated Switchgear (GIS) - Dexotech Power, 访问时间为 一月 8, 2026, https://dexotechpower.com/field-testing/gas-insulated-switchgear-gis-partial-discharge/
- Application of HFCT and UHF Sensors in On-Line Partial Discharge Measurements for Insulation Diagnosis of High Voltage Equipment - PMC - NIH, 访问时间为 一月 8, 2026, https://pmc.ncbi.nlm.nih.gov/articles/PMC4431200/
- Comparison of UHF and HF Sensor for GIS Application | Download Table - ResearchGate, 访问时间为 一月 8, 2026, https://www.researchgate.net/figure/Comparison-of-UHF-and-HF-Sensor-for-GIS-Application_tbl1_273125907
- Comparative Analysis of Partial Discharge Detection Features Using a UHF Antenna and Conventional HFCT Sensor - IEEE Xplore, 访问时间为 一月 8, 2026, https://ieeexplore.ieee.org/iel7/6287639/9668973/09913436.pdf
- Calibration Proposal for UHF Partial Discharge Measurements at Power Transformers, 访问时间为 一月 8, 2026, https://www.mdpi.com/1996-1073/12/16/3058
- Comparison between Electrical and UHF PD Measurement concerning Calibration and Sensitivity for Power Transformers, 访问时间为 一月 8, 2026, https://www.ieh.uni-stuttgart.de/dokumente/publikationen/2014_Siegel_CMD_Korea_Comparison_between_Electrical_and_UHF_PD…pdf
- Study of Localization of Partial Discharges in Oil-filled Transformers using Acoustic Emission Signals - PHM Society, 访问时间为 一月 8, 2026, https://papers.phmsociety.org/index.php/phmap/article/download/3720/2185
- Conventional and Unconventional Optical Partial Discharge Method, Using Fluorescent Fibre Sensor, and Monitoring The Intensity of The Transmitted Light - Scribd, 访问时间为 一月 8, 2026, https://www.scribd.com/document/152818650/Conventional-and-Unconventional-Optical-Partial-Discharge-Method-Using-Fluorescent-Fibre-Sensor-and-Monitoring-the-Intensity-of-the-Transmitted-Ligh
- A Transformer Partial Discharge Measurement System Based on Fluorescent Fiber - MDPI, 访问时间为 一月 8, 2026, https://www.mdpi.com/1996-1073/5/5/1490
- Partial Discharge Detection in Gas-Insulated Switchgears Using Sensors Integrated With UHF and Optical Sensing Methods - IEEE Xplore, 访问时间为 一月 8, 2026, https://ieeexplore.ieee.org/document/9856681/
- Dissolved gas generation characteristics of dielectric liquids under partial discharges and breakdown sparks - The University of Manchester, 访问时间为 一月 8, 2026, https://pure.manchester.ac.uk/ws/portalfiles/portal/1586196621/HV_DGA_Electrical_Fault.pdf
- Denoising of Partial Discharge Signal in Stator Using Wavelet Transform with Improved Thresholding Function - MDPI, 访问时间为 一月 8, 2026, https://www.mdpi.com/2076-3417/15/19/10509
- The Denoising Method for Transformer Partial Discharge Based on the Whale VMD Algorithm Combined with Adaptive Filtering and Wavelet Thresholding - MDPI, 访问时间为 一月 8, 2026, https://www.mdpi.com/1424-8220/23/19/8085
- A Novel Denoising Method for Partial Discharge Signal Based on Improved Variational Mode Decomposition - PSE Community.org, 访问时间为 一月 8, 2026, https://psecommunity.org/wp-content/plugins/wpor/includes/file/2302/LAPSE-2023.8468-1v1.pdf
- Novel denoizing method for partial discharge signals using singular value decomposition and spectral subtraction | IET Science, Measurement & Technology, 访问时间为 一月 8, 2026, https://digital-library.theiet.org/doi/full/10.1049/smt2.12134
- Hybrid TDOA/DOA Multiple PD Localization Using Two Arrays With KPCA-mnc-FastICA and Sparrow Search Algorithm - IEEE Xplore, 访问时间为 一月 8, 2026, https://ieeexplore.ieee.org/iel8/9552935/9775186/10919048.pdf
- Antenna Deployment for the Localization of Partial Discharges in Open-Air Substations - PMC - PubMed Central, 访问时间为 一月 8, 2026, https://pmc.ncbi.nlm.nih.gov/articles/PMC4851055/
- Optimization of Antenna Array Deployment for Partial Discharge Localization in Substations by Hybrid Particle Swarm Optimization and Genetic Algorithm Method - MDPI, 访问时间为 一月 8, 2026, https://www.mdpi.com/1996-1073/11/7/1813
- Understanding Phase Plots | EA Technology Australia, 访问时间为 一月 8, 2026, https://eatechnology.com/australia/resources/blogs/high-voltage/what-is-a-partial-discharge-phase-plot-telling-you/
- PATTERN RECOGNITION OF PARTIAL DISCHARGE FAULTS USING CONVOLUTIONAL NEURAL NETWORK (CNN) - TU e-Thesis (Thammasat University), 访问时间为 一月 8, 2026, http://ethesisarchive.library.tu.ac.th/thesis/2022/TU_2022_6422040094_17515_25608.pdf
- Research on partial discharge signal recognition and classification of power transformer based on acoustic-VMD and CNN-LSTM - PubMed Central, 访问时间为 一月 8, 2026, https://pmc.ncbi.nlm.nih.gov/articles/PMC12633952/
- Machine Learning-Based Phase Resolved Partial Discharge Pattern Classification using HOG and PCA - IEEE Xplore, 访问时间为 一月 8, 2026, https://ieeexplore.ieee.org/document/10872724
- PMSNet: Multiscale Partial-Discharge Signal Feature Recognition Model via a Spatial Interaction Attention Mechanism - MDPI, 访问时间为 一月 8, 2026, https://www.mdpi.com/1424-8220/24/11/3342
- Partial Discharge Fault Detection Method of CNN-LSTM Based on Fusion Attention Mechanism - ResearchGate, 访问时间为 一月 8, 2026, https://www.researchgate.net/publication/394574902_Partial_Discharge_Fault_Detection_Method_of_CNN-LSTM_Based_on_Fusion_Attention_Mechanism
- Classification of Multiple Partial Discharge Sources Using Time-Frequency Analysis and Deep Learning - MDPI, 访问时间为 一月 8, 2026, https://www.mdpi.com/2076-3417/15/10/5455
- Field Applications of Ultra High Frequency Techniques for Defect Detection in GIS - PMC, 访问时间为 一月 8, 2026, https://pmc.ncbi.nlm.nih.gov/articles/PMC6111932/
- Exploring Digital Twin-Based Fault Monitoring: Challenges and Opportunities - PMC, 访问时间为 一月 8, 2026, https://pmc.ncbi.nlm.nih.gov/articles/PMC10458716/
- (PDF) Digital Twin-Based Identification of Effective Partial Discharge Signals for GIS, 访问时间为 一月 8, 2026, https://www.researchgate.net/publication/377378272_Digital_Twin-Based_Identification_of_Effective_Partial_Discharge_Signals_for_GIS
- The Basics of Partial Discharge Testing - HV TECHNOLOGIES, 访问时间为 一月 8, 2026, https://www.hvtechnologies.com/the-basics-of-partial-discharge-testing/
- (PDF) Partial Discharge Detection by Edge Computing - ResearchGate, 访问时间为 一月 8, 2026, https://www.researchgate.net/publication/370163248_Partial_Discharge_Detection_by_Edge_Computing
- Detection Technology of UHF IoT Sensing Terminal Device Based on Cloud Edge Cooperation | Journal of Testing and Evaluation - ASTM Digital Library, 访问时间为 一月 8, 2026, https://dl.astm.org/jte/article/51/2/574/22322/Detection-Technology-of-UHF-IoT-Sensing-Terminal
更多推荐
所有评论(0)