学会写导师都说好的论文——Spring BootAI文本、图像、视频工具推荐及学习系统58321【部署教程+可完整运行源码+数据库】
本文开发了一个基于SpringBoot框架的AI文本、图像、视频工具推荐及学习系统。系统采用Java语言和MySQL数据库,构建了稳定高效的系统架构,主要面向普通用户和管理员两类角色。普通用户可访问首页、交流论坛、通知公告、新闻资讯等板块,获取AI技术动态;还可使用平台提供的AI工具进行智能处理,并通过学习资源模块提升技术水平。管理员则负责系统内容管理和用户管理。系统测试结果表明各项功能运行良好,
摘 要
随着信息技术的快速发展,人工智能(AI)技术逐渐渗透到各行各业,为传统行业带来了深刻的变革。尤其是在文本处理、图像识别和视频分析等领域,AI工具的应用不仅提升了工作效率,还开创了新的商业模式和服务形态。因此本研究旨在开发一个集成AI文本、图像、视频处理功能,并提供丰富的学习资源的综合平台。
本研究采用Spring Boot作为后端框架,结合Java编程语言和MySQL数据库,构建了一个稳定、高效的系统架构。平台面向两类主要用户:普通用户和管理员。普通用户可以访问首页、交流论坛、通知公告、新闻资讯等板块,获取最新的AI技术和行业发展动态;同时,他们还能利用平台提供的AI工具进行文本、图像、视频的智能处理,并通过学习资源模块提升自己的技术水平。
本研究所提出的平台不仅解决了用户在选择和使用AI工具时面临的困惑,而且通过提供系统化的学习资源,极大地降低了AI技术的学习门槛,促进了AI知识的传播和技术的普及。本平台的建立具有重要的理论价值和实践意义,既符合当前科技发展的趋势,也满足了广大用户的需求,有望在未来的信息化建设中发挥重要作用。
关键词:Spring Boot框架;AI文本、图像、视频工具推荐及学习系统;Java语言;MySQL
Abstract
With the rapid development of information technology, artificial intelligence (AI) technology has gradually penetrated into all walks of life, bringing profound changes to traditional industries. Especially in the fields of text processing, image recognition, and video analysis, the application of AI tools not only improves work efficiency, but also creates new business models and service forms. Therefore, this research aims to develop a comprehensive platform that integrates AI text, image, and video processing functions and provides rich learning resources.
In this study, Spring Boot is used as the back-end framework, combined with Java programming language and MySQL database, to build a stable and efficient system architecture. The platform is intended for two main types of users: regular users and administrators. Ordinary users can visit the homepage, communication forums, notices, announcements, news and other sections to obtain the latest AI technology and industry development trends. At the same time, they can also use the AI tools provided by the platform to intelligently process text, images, and videos, and improve their technical level through the learning resource module.
The platform proposed in this study not only solves the confusion faced by users when choosing and using AI tools, but also greatly reduces the learning threshold of AI technology and promotes the dissemination of AI knowledge and the popularization of AI technology by providing systematic learning resources. The establishment of this platform has important theoretical value and practical significance, which is not only in line with the current trend of scientific and technological development, but also meets the needs of the majority of users, and is expected to play an important role in the future information construction.
Key words: Spring Boot framework; AI text, image, video tool recommendation and learning system; Java language; MySQL
目 录
第1章绪 论
1.1研究背景
随着信息技术的迅猛发展,AI技术逐渐成为推动社会进步和产业升级的关键力量。特别是在文本处理、图像识别以及视频分析等领域,AI工具的应用已经极大地改变了传统的业务模式和服务方式。然而,尽管市场上存在大量的AI工具与服务,对于普通用户而言,面对众多选择往往感到无所适从。此外,学习这些先进的AI技术需要克服较高的学习曲线,缺乏有效的引导和系统化的学习资源进一步加剧了这一问题。
基于这样的背景,本研究聚焦于开发一个集成了AI文本、图像、视频处理功能,并提供丰富学习资源的综合平台。平台旨在通过整合多种AI工具和技术,为用户提供一个便捷的选择途径,解决他们在实际应用中遇到的问题。同时,针对学习需求,平台将提供一系列教程、案例分析等资料,帮助用户更轻松地理解和掌握AI技术。这样一种集成式的解决方案不仅能够满足用户的多样化需求,还能够在一定程度上缓解由于信息过载和技术门槛带来的挑战。
1.2研究目的和意义
本研究旨在开发一个集成AI文本、图像、视频处理功能的综合平台,通过整合多种先进AI工具和提供系统化的学习资源,解决普通用户在选择和使用AI工具时面临的困惑,并降低学习AI技术的门槛。该平台将为用户提供包括点赞、收藏、评论等互动功能,增强用户体验,同时支持管理员对系统内容进行高效管理,确保信息的准确性和时效性。
本研究的意义在于通过构建这样一个集成了最新AI技术和丰富学习资料的一站式平台,不仅能够满足个人用户的学习需求和技术探索,还为企业提供了有效的员工培训工具和创新试验场。此外,该平台有助于缩小不同群体之间的数字鸿沟,促进AI知识的普及和技术民主化,对于推动社会整体信息化水平的提升具有重要作用。通过提供易于访问的资源和支持,本研究有望激发更广泛的创造力和创新能力,从而助力各行各业实现智能化升级。
1.3国内外研究现状
在中国,随着人工智能技术的快速发展,AI文本、图像和视频处理工具的研究和应用逐渐受到重视。近年来,国内科研机构和企业纷纷投入到相关领域的研发中,推出了诸如百度的文心一言、腾讯的元宝等文本创作工具,以及星流AI、Dreamina等图像和视频生成平台。这些工具不仅在技术研发上不断创新,还在应用场景上进行了深度拓展,覆盖了从个人创意到企业级应用的多个层面。同时,国家政策的支持和技术人才的培养也为该领域的发展提供了坚实的基础,推动了AI工具向更加智能化、专业化方向迈进。
在国外,AI文本、图像和视频处理工具的研究起步较早,经历了从基础算法探索到商业化应用的全面发展阶段。美国作为AI技术的发源地之一,拥有包括谷歌、微软在内的众多科技巨头,它们在自然语言处理、计算机视觉等领域取得了显著成就,并推出了一系列具有国际影响力的产品和服务。此外,开源社区如GitHub也极大地促进了全球范围内的技术交流与合作,为AI工具的发展注入了源源不断的活力。近年来,随着深度学习技术的进步,国外的AI工具在准确性、效率及用户体验方面持续优化,成为推动全球AI技术进步的重要力量。与此同时,跨学科的合作研究日益增多,进一步拓宽了AI工具的应用场景和技术边界。
1.4论文结构与章节安排
本文的结构按逻辑顺序分为以下几个章节:
第1章绪论,本章节介绍研究背景和意义,回顾当前研究现状,并阐明本文主要工作和论文组织结构。
第2章系统关键技术,本章节将对AI文本、图像、视频工具推荐及学习系统的实现关键技术进行简要介绍。
第3章系统分析,本章节基于市场调研,分析AI文本、图像、视频工具推荐及学习系统的可行性、功能、角色、性能等需求,明确各模块的业务需求。
第4章系统设计,本章节详细阐述系统的整体架构设计,包括前后端结构、数据库设计及功能模块的设计思路。
第5章系统实现,本章节介绍系统各主要模块的具体实现,包括代码示例、业务逻辑及界面设计等。
第6章系统测试,本章节描述系统的测试方法及结果,分析系统的性能、稳定性及用户反馈。
第7章结论,本章节对主要对研究成果进行总结。
第2章
关键技术介绍
2.1Java语言
Java作为一种广泛使用的面向对象编程语言[1],为本系统提供了强大的开发基础。它具备跨平台特性、丰富的类库和稳定的安全性能,能够确保系统的高效运行和良好的扩展性。在AI文本、图像、视频工具推荐及学习系统中,Java[2]用于编写后端业务逻辑,处理包括用户管理、信息管理在内的各种复杂操作,同时支持高并发访问,保证了系统的响应速度和稳定性。
2.2Spring Boot框架
Spring Boot是基于Spring框架的快速开发平台[3],极大地简化了基于Java的应用程序构建过程。它通过自动配置和约定优于配置的原则,减少了繁琐的设置工作,使开发者可以更专注于业务逻辑的实现。在本系统中,Spring Boot[4]不仅用于搭建RESTful API服务,提供前后端数据交互的接口,还集成了安全认证、事务管理和缓存等功能,以提升系统的整体性能和安全性,确保AI文本、图像、视频工具推荐及学习系统的稳定性和可维护性。
2.3MySQL数据库
作为一款流行的开源关系型数据库管理系统,MySQL[5]以其高性能、可靠性和易于使用的特点成为本系统的数据存储解决方案。它支持复杂的查询和事务处理,适用于存储和管理大量的功能模块信息、用户数据以及交互记录。通过优化表结构设计和索引策略,MySQL能够快速响应系统的读写请求,保障数据的一致性和完整性,同时为数据分析和报表生成提供了坚实的基础[6]。
2.4B/S体系结构
B/S体系,即Browser/Server体系[7],是一种常见的网络应用程序架构。其工作原理基于客户端与服务器之间的请求-响应模型。用户通过浏览器向服务器发送请求,服务器接收到请求后进行处理,并生成相应的响应结果,最终将响应返回给客户端。浏览器接收到服务器返回的响应后,解析其中的标记语言(如HTML[8]),并根据CSS样式表和JavaScript脚本来渲染页面,呈现给用户。用户可以与页面进行交互,例如点击链接、填写表单等操作,这些操作会触发新的请求,循环执行上述过程。
第3章
系统分析
3.1可行性分析
3.1.1技术可行性
从技术角度来看,本系统基于Spring Boot框架构建,结合数据库管理,能够有效支持AI文本、图像、视频工具推荐及学习系统的各项功能需求。Spring Boot提供了强大的架构支持,确保系统的可扩展性和稳定性。通过充分的技术调研和原型测试,我们确认现有的技术栈完全能够满足系统的开发和运行要求,具备较高的技术可行性。
3.1.2经济可行性
系统开发采用开源技术栈,降低了软件授权与工具采购成本。Spring Boot框架简化了开发流程,缩短了项目周期,减少了人力投入。此外,借助云计算资源部署系统,可根据实际需求灵活调整服务器配置,进一步降低硬件成本。总体而言,该方案在经济上具有较高性价比,适合中小型企业或初创团队实施。
3.1.3操作可行性
在操作可行性方面,本系统设计注重用户体验,采用了直观易用的界面设计,并提供详细的帮助文档支持,确保用户可以轻松上手使用各项功能。无论是用户还是后台管理员,都能通过简洁明了的操作流程完成信息查询和管理等任务。因此,从用户操作的角度来看,本系统具备良好的操作可行性。
3.2系统功能需求分析
本系统旨在为普通用户提供一个集AI工具推荐、学习资源获取及互动交流为一体的综合平台,同时为管理员提供全面的后台管理系统。系统需要支持文本、图像、视频处理等多种AI工具的展示与应用,以及丰富的学习资源和社区互动功能。对于不同用户角色,系统需实现个性化的内容展示和服务,确保用户体验的便捷性和高效性。具体功能描述如下:
- 普通用户模块:
首页:展示最新资讯、推荐AI工具和热门学习资源,帮助用户快速了解行业动态。
交流论坛:提供一个讨论和分享AI技术的平台,增强用户之间的互动。用户可以发布帖子、回复讨论,并对有价值的内容进行点赞和评论。
通知公告:发布系统更新信息、活动通知等重要消息,保持用户信息同步。
新闻资讯:提供最新的AI行业动态和技术进展,帮助用户紧跟前沿趋势。
留言反馈:允许用户提交意见和建议,提升系统的用户体验。管理员能够及时回复用户的留言,建立良好的沟通机制。
AI工具:展示多种类型的AI工具,包括文本、图像、视频处理等,满足不同需求。用户可以对感兴趣的工具进行点赞、收藏,并在实际项目中应用。
学习资源:提供丰富的教程、案例分析等学习材料,助力用户技能提升。支持在线观看视频课程,下载文档资料,便于随时随地学习。
我的账户:管理个人资料和密码。
个人中心:管理个人信息,查看个人动态和收藏内容。在个人中心内,用户可以管理自己的收藏夹,追踪学习进度和个人贡献。
- 管理员模块:
后台首页:提供系统运行状态的概览,帮助管理员快速掌握平台的整体情况。界面设计直观,便于管理员识别重要信息并据此做出决策。
系统用户:允许管理员查看和编辑所有注册用户的账号信息,确保用户数据的准确性和安全性。支持批量操作,如添加、删除或修改用户权限,简化用户管理流程。
工具类型管理:负责定义和维护AI工具的分类标准,确保平台上展示的各类工具有序且易于查找。管理员可以创建新的工具类别或调整现有类别的属性设置,以适应不断变化的需求。
AI工具管理:对平台上发布的所有AI工具进行审核和管理,保证其质量和适用性符合平台标准。支持上传新工具、更新已有工具的信息或移除不再适用的工具,保持工具库的最新状态。
学习资源管理:管理和优化平台上的学习资源,确保内容的质量和相关性满足用户需求。管理员能够添加新的学习资源,更新已有资源的内容,以及删除过时的资料,促进知识的持续更新。
系统管理:设计和管理网站首页的轮播图,突出重点内容或活动,吸引用户注意。通过直观的界面,管理员可轻松上传图片、设置显示顺序,增强用户体验。
留言管理:审查用户的留言反馈,及时响应用户的问题和建议,建立良好的沟通机制。管理员可以直接通过系统回复用户留言,解决用户疑问,提升用户满意度。
通知公告管理:发布和管理各类通知公告,确保用户能及时获得平台的重要信息和更新。支持定时发布功能,使管理员可以根据需要预先设定公告发布时间,提高效率。
资源管理:管理和更新平台上的新闻资讯及资讯分类,确保信息的时效性和准确性。管理员能够添加新的资讯文章,调整资讯分类,让用户获取到最新、最相关的行业动态。
交流管理:监督和管理用户在交流论坛中的活动,确保讨论内容健康积极,促进社区的良好氛围。管理员有权删除不当帖子、封禁违规用户,维护社区秩序。
权限管理:控制不同角色在系统中的访问权限,确保信息安全和操作合规。通过灵活配置权限,管理员可以为不同用户提供适当的访问级别,保护敏感信息不被未授权访问。
3.3系统用例分析
3.3.1普通用户用例分析
普通用户主要利用平台获取AI工具推荐、学习资源以及参与社区交流。他们通过浏览首页获取最新资讯和推荐内容,使用AI工具处理文本、图像或视频任务,并通过学习资源模块提升个人技能。此外,用户可以在交流论坛中分享经验、提出问题并参与讨论。对于感兴趣的工具或资源,用户可以进行点赞、收藏及评论,以个性化的方式管理和追踪自己的学习进度和偏好。普通用户角色用例图如下所示。

图3-1 普通用户用例图
3.3.2管理员用例分析
管理员负责维护平台的正常运行和内容管理,确保为用户提供高质量的服务。他们通过后台首页监控系统的整体状态,包括用户活跃度和资源访问量等关键指标。管理员执行用户管理、内容审核、系统设置等任务,同时还需要处理用户的留言反馈和发布通知公告。通过对系统全面细致的管理,管理员保障了信息的准确性、安全性和平台的高效运作。管理员角色用例图如下所示。

图3-2 管理员用例图
3.4非功能需求分析
系统非功能需求指的是性能需求,即对一个系统的性能需求进行分析和定义的过程。在进行性能需求分析时,因此AI文本、图像、视频工具推荐及学习系统的设计与实现主要需要考虑以下几个方面的性能需求:
响应时间:响应时间是指系统在接收到请求后,作出响应的时间。根据具体的业务需求和用户体验要求,可以确定系统在不同场景下的响应时间要求。
吞吐量:吞吐量是指系统在一定时间内处理的事务或请求的数量。根据业务需求和用户量的估计,可以确定系统需要支持的最大吞吐量。
并发用户数:并发用户数是指系统在同时使用的用户数量。根据预期的用户量和并发访问需求,可以确定系统需要支持的最大并发用户数。
可扩展性:可扩展性是指系统在面对用户量增加或并发访问需求增加时,能否通过增加硬件资源或调整系统架构来满足需求。根据预期的用户增长和扩展计划,可以确定系统需要具备的可扩展性要求。
故障处理能力:系统对故障的处理能力是指在出现错误或故障时,系统能够快速、准确地识别、定位并处理故障的能力。根据业务的重要性和对故障处理的要求,可以确定系统需要具备的故障处理能力。
安全性:系统在性能需求分析中,也需考虑安全方面的需求,如数据的保密性、完整性和可用性等。根据具体的安全需求和合规要求,可以确定系统需要满足的安全性需求。
通过对这些性能需求进行详细分析和定义,可以为AI文本、图像、视频工具推荐及学习系统的设计和开发提供指导,确保系统在满足预期的性能需求的同时,具备良好的性能和可靠性。
3.5系统流程分析
AI文本、图像、视频工具推荐及学习系统须支撑整个机构不同层面的多种职能,而各功能模块间存在着多种关联信息,组成一个有机整体,并针对就业数据自身特点和面临的现实条件,对系统进行流程图设计。活动图是一种用于对系统的动态行为建模的另一种常用图表,通常用于可视化展示系统中各个活动的执行顺序、流程控制和数据交互,展现从一个活动到另一个活动的控制流,活动图在本质上是一种流程图;但活动图着重表现从一个活动到另一个活动的控制流。因此,这里列举了2个业务活动图。
(1)用户登录查询的业务流程如下。
用户注册登录,系统从数据库获取用户数据信息,登录成功用户进入查询页面,用户输入查询关键字,数据库查询用户所输入的关键字,查询成功显示查询的模块信息,查询失败不显示。用户登录查询功能的活动图如图3-3所示。

图3-3 用户登录查询活动图
(2)管理员添加信息的业务流程如下。
此活动图描述了管理员添加信息。管理员可以通过信息管理模块页面选择要添加的基本信息。添加成功传入数据库中,失败则不添加。管理员可以保存信息并更新系统中的信息。管理员添加信息功能的活动图如图3-4所示。

图3-4 管理员添加信息活动图
第4章系统设计
4.1系统架构设计
AI文本、图像、视频工具推荐及学习系统的架构设计包括客户端、服务器端、第三方集成、安全性和权限控制、扩展性和性能优化、高可用性和容错性等方面。客户端通过Web浏览器访问系统,而服务器端负责接收和处理请求,并提供功能和数据。系统采用分层架构,包括表现层、业务逻辑层、数据访问层和数据库。同时,系统需考虑与其他系统的集成、安全性和权限控制、扩展性和性能优化、高可用性和容错性等方面的问题。这样的架构设计将确保系统的稳定性、可扩展性和安全性,为用户提供稳定、高效的使用体验。系统架构图如下图所示。

图4-1 系统架构图
4.2功能模块设计
通过整体功能模块设计,我们将根据需求分析的结果,将系统的功能划分为不同的模块。每个模块负责实现特定的功能,并与其他模块进行协作。我们将详细定义每个模块的输入、输出、处理逻辑和相互依赖关系。系统总体功能模块图如下图所示。

图4-2 系统功能模块图
4.3数据库设计
4.3.1概念设计
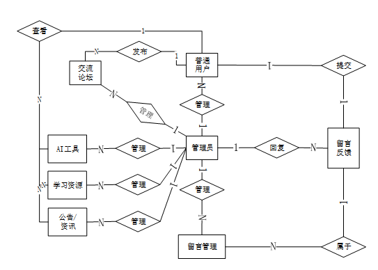
借助先进的系统,E-R图使其他用户可以快速轻松地了解系统的功能以及他们之间的关系。根据AI文本、图像、视频工具推荐及学习系统分析结果,本AI文本、图像、视频工具推荐及学习系统总体E-R图如下图所示。

图4-3 系统总体E-R图
4.3.2逻辑设计
所有系统的应用数据相互区分。一旦在相应的系统中实现,它们将与自己相应的网络和服务器通信。所以这个系统可以连接这些数据。当我们选择桥梁截面时,以下将简要介绍如何建立系统。在单击上一个按键的时候,就会自动在对话框中弹出数据源的名字,之后再单击下一个按键时,就在填写相对应的身份验证和登录信息。按照系统功能设计的特点与职能模块的分类,AI文本、图像、视频工具推荐及学习系统的总体设计和实施过程一共涉及到了几个资料表格。
根据E-R图,建立各个实体的数据表。由于本系统数据库数据表数量较多,所以只选取部分表单作为案列,如下所示:
|
编号 |
字段名 |
类型 |
长度 |
是否非空 |
是否主键 |
注释 |
|
1 |
token_id |
int |
是 |
是 |
临时访问牌ID |
|
|
2 |
token |
varchar |
64 |
否 |
否 |
临时访问牌 |
|
3 |
info |
text |
65535 |
否 |
否 |
信息 |
|
4 |
maxage |
int |
是 |
否 |
最大寿命:默认2小时 |
|
|
5 |
create_time |
timestamp |
是 |
否 |
创建时间 |
|
|
6 |
update_time |
timestamp |
是 |
否 |
更新时间 |
|
|
7 |
user_id |
int |
是 |
否 |
用户编号 |
表 4-2-ai_tools(AI工具)
|
编号 |
字段名 |
类型 |
长度 |
是否非空 |
是否主键 |
注释 |
|
1 |
ai_tools_id |
int |
是 |
是 |
AI工具ID |
|
|
2 |
tool_name |
varchar |
64 |
否 |
否 |
工具名称 |
|
3 |
tool_no |
varchar |
64 |
否 |
否 |
工具编号 |
|
4 |
tool_type |
varchar |
64 |
否 |
否 |
工具类型 |
|
5 |
development_company |
varchar |
64 |
否 |
否 |
开发公司 |
|
6 |
tool_use |
varchar |
64 |
否 |
否 |
工具用途 |
|
7 |
tool_icons |
varchar |
255 |
否 |
否 |
工具图标 |
|
8 |
tool_files |
varchar |
255 |
否 |
否 |
工具文件 |
|
9 |
tool_introduction |
longtext |
4294967295 |
否 |
否 |
工具简介 |
|
10 |
hits |
int |
是 |
否 |
点击数 |
|
|
11 |
praise_len |
int |
是 |
否 |
点赞数 |
|
|
12 |
collect_len |
int |
是 |
否 |
收藏数 |
|
|
13 |
comment_len |
int |
是 |
否 |
评论数 |
|
|
14 |
recommend |
int |
是 |
否 |
智能推荐 |
|
|
15 |
create_time |
datetime |
是 |
否 |
创建时间 |
|
|
16 |
update_time |
timestamp |
是 |
否 |
更新时间 |
表 4-3-article(文章)
|
编号 |
字段名 |
类型 |
长度 |
是否非空 |
是否主键 |
注释 |
|
1 |
article_id |
mediumint |
是 |
是 |
文章id |
|
|
2 |
title |
varchar |
125 |
是 |
是 |
标题 |
|
3 |
type |
varchar |
64 |
是 |
否 |
文章分类 |
|
4 |
hits |
int |
是 |
否 |
点击数 |
|
|
5 |
praise_len |
int |
是 |
否 |
点赞数 |
|
|
6 |
create_time |
timestamp |
是 |
否 |
创建时间 |
|
|
7 |
update_time |
timestamp |
是 |
否 |
更新时间 |
|
|
8 |
source |
varchar |
255 |
否 |
否 |
来源 |
|
9 |
url |
varchar |
255 |
否 |
否 |
来源地址 |
|
10 |
tag |
varchar |
255 |
否 |
否 |
标签 |
|
11 |
content |
longtext |
4294967295 |
否 |
否 |
正文 |
|
12 |
img |
varchar |
255 |
否 |
否 |
封面图 |
|
13 |
description |
text |
65535 |
否 |
否 |
文章描述 |
表 4-4-article_type(文章分类)
|
编号 |
字段名 |
类型 |
长度 |
是否非空 |
是否主键 |
注释 |
|
1 |
type_id |
smallint |
是 |
是 |
分类ID |
|
|
2 |
display |
smallint |
是 |
否 |
显示顺序 |
|
|
3 |
name |
varchar |
16 |
是 |
否 |
分类名称 |
|
4 |
father_id |
smallint |
是 |
否 |
上级分类ID |
|
|
5 |
description |
varchar |
255 |
否 |
否 |
描述 |
|
6 |
icon |
text |
65535 |
否 |
否 |
分类图标 |
|
7 |
url |
varchar |
255 |
否 |
否 |
外链地址 |
|
8 |
create_time |
timestamp |
是 |
否 |
创建时间 |
|
|
9 |
update_time |
timestamp |
是 |
否 |
更新时间 |
表 4-5-auth(用户权限管理)
|
编号 |
字段名 |
类型 |
长度 |
是否非空 |
是否主键 |
注释 |
|
1 |
auth_id |
int |
是 |
是 |
授权ID |
|
|
2 |
user_group |
varchar |
64 |
否 |
否 |
用户组 |
|
3 |
mod_name |
varchar |
64 |
否 |
否 |
模块名 |
|
4 |
table_name |
varchar |
64 |
否 |
否 |
表名 |
|
5 |
page_title |
varchar |
255 |
否 |
否 |
页面标题 |
|
6 |
path |
varchar |
255 |
否 |
否 |
路由路径 |
|
7 |
parent |
varchar |
64 |
否 |
否 |
父级菜单 |
|
8 |
parent_sort |
int |
是 |
否 |
父级菜单排序 |
|
|
9 |
position |
varchar |
32 |
否 |
否 |
位置 |
|
10 |
mode |
varchar |
32 |
是 |
否 |
跳转方式 |
|
11 |
add |
tinyint |
是 |
否 |
是否可增加 |
|
|
12 |
del |
tinyint |
是 |
否 |
是否可删除 |
|
|
13 |
set |
tinyint |
是 |
否 |
是否可修改 |
|
|
14 |
get |
tinyint |
是 |
否 |
是否可查看 |
|
|
15 |
field_add |
text |
65535 |
否 |
否 |
添加字段 |
|
16 |
field_set |
text |
65535 |
否 |
否 |
修改字段 |
|
17 |
field_get |
text |
65535 |
否 |
否 |
查询字段 |
|
18 |
table_nav_name |
varchar |
500 |
否 |
否 |
跨表导航名称 |
|
19 |
table_nav |
varchar |
500 |
否 |
否 |
跨表导航 |
|
20 |
option |
text |
65535 |
否 |
否 |
配置 |
|
21 |
create_time |
timestamp |
是 |
否 |
创建时间 |
|
|
22 |
update_time |
timestamp |
是 |
否 |
更新时间 |
表 4-6-code_token(验证码)
|
编号 |
字段名 |
类型 |
长度 |
是否非空 |
是否主键 |
注释 |
|
1 |
code_token_id |
int |
是 |
是 |
验证码ID |
|
|
2 |
token |
varchar |
255 |
否 |
否 |
令牌 |
|
3 |
code |
varchar |
255 |
否 |
否 |
验证码 |
|
4 |
expire_time |
timestamp |
是 |
否 |
失效时间 |
|
|
5 |
create_time |
timestamp |
是 |
否 |
创建时间 |
|
|
6 |
update_time |
timestamp |
是 |
否 |
更新时间 |
表 4-7-collect(收藏)
|
编号 |
字段名 |
类型 |
长度 |
是否非空 |
是否主键 |
注释 |
|
1 |
collect_id |
int |
是 |
是 |
收藏ID |
|
|
2 |
user_id |
int |
是 |
是 |
收藏人ID |
|
|
3 |
source_table |
varchar |
255 |
否 |
否 |
来源表 |
|
4 |
source_field |
varchar |
255 |
否 |
否 |
来源字段 |
|
5 |
source_id |
int |
是 |
否 |
来源ID |
|
|
6 |
title |
varchar |
255 |
否 |
否 |
标题 |
|
7 |
img |
varchar |
255 |
否 |
否 |
封面 |
|
8 |
create_time |
timestamp |
是 |
否 |
创建时间 |
|
|
9 |
update_time |
timestamp |
是 |
否 |
更新时间 |
表 4-8-comment(评论)
|
编号 |
字段名 |
类型 |
长度 |
是否非空 |
是否主键 |
注释 |
|
1 |
comment_id |
int |
是 |
是 |
评论ID |
|
|
2 |
user_id |
int |
是 |
是 |
评论人ID |
|
|
3 |
reply_to_id |
int |
是 |
否 |
回复评论ID |
|
|
4 |
content |
longtext |
4294967295 |
否 |
否 |
内容 |
|
5 |
nickname |
varchar |
255 |
否 |
否 |
昵称 |
|
6 |
avatar |
varchar |
255 |
否 |
否 |
头像地址 |
|
7 |
create_time |
timestamp |
是 |
否 |
创建时间 |
|
|
8 |
update_time |
timestamp |
是 |
否 |
更新时间 |
|
|
9 |
source_table |
varchar |
255 |
否 |
否 |
来源表 |
|
10 |
source_field |
varchar |
255 |
否 |
否 |
来源字段 |
|
11 |
source_id |
int |
是 |
否 |
来源ID |
表 4-9-forum(论坛)
|
编号 |
字段名 |
类型 |
长度 |
是否非空 |
是否主键 |
注释 |
|
1 |
forum_id |
mediumint |
是 |
是 |
论坛ID |
|
|
2 |
display |
smallint |
是 |
否 |
排序 |
|
|
3 |
user_id |
mediumint |
是 |
否 |
用户ID |
|
|
4 |
nickname |
varchar |
16 |
否 |
否 |
昵称 |
|
5 |
praise_len |
int |
否 |
否 |
点赞数 |
|
|
6 |
hits |
int |
是 |
否 |
访问数 |
|
|
7 |
title |
varchar |
125 |
是 |
否 |
标题 |
|
8 |
keywords |
varchar |
125 |
否 |
否 |
关键词 |
|
9 |
description |
varchar |
255 |
否 |
否 |
描述 |
|
10 |
url |
varchar |
255 |
否 |
否 |
来源地址 |
|
11 |
tag |
varchar |
255 |
否 |
否 |
标签 |
|
12 |
img |
text |
65535 |
否 |
否 |
封面图 |
|
13 |
content |
longtext |
4294967295 |
否 |
否 |
正文 |
|
14 |
create_time |
timestamp |
是 |
否 |
创建时间 |
|
|
15 |
update_time |
timestamp |
是 |
否 |
更新时间 |
|
|
16 |
avatar |
varchar |
255 |
否 |
否 |
发帖人头像 |
|
17 |
type |
varchar |
64 |
是 |
否 |
论坛分类 |
|
18 |
istop |
int |
是 |
否 |
是否置顶 |
表 4-10-forum_type(论坛分类)
|
编号 |
字段名 |
类型 |
长度 |
是否非空 |
是否主键 |
注释 |
|
1 |
type_id |
smallint |
是 |
是 |
分类ID |
|
|
2 |
name |
varchar |
16 |
是 |
否 |
分类名称 |
|
3 |
description |
varchar |
255 |
否 |
否 |
描述 |
|
4 |
url |
varchar |
255 |
否 |
否 |
外链地址 |
|
5 |
father_id |
smallint |
是 |
否 |
上级分类ID |
|
|
6 |
icon |
varchar |
255 |
否 |
否 |
分类图标 |
|
7 |
create_time |
timestamp |
是 |
否 |
创建时间 |
|
|
8 |
update_time |
timestamp |
是 |
否 |
更新时间 |
表 4-11-hits(用户点击)
|
编号 |
字段名 |
类型 |
长度 |
是否非空 |
是否主键 |
注释 |
|
1 |
hits_id |
int |
是 |
是 |
点赞ID |
|
|
2 |
user_id |
int |
是 |
否 |
点赞人 |
|
|
3 |
create_time |
timestamp |
是 |
否 |
创建时间 |
|
|
4 |
update_time |
timestamp |
是 |
否 |
更新时间 |
|
|
5 |
source_table |
varchar |
255 |
否 |
否 |
来源表 |
|
6 |
source_field |
varchar |
255 |
否 |
否 |
来源字段 |
|
7 |
source_id |
int |
是 |
否 |
来源ID |
表 4-12-learning_resources(学习资源)
|
编号 |
字段名 |
类型 |
长度 |
是否非空 |
是否主键 |
注释 |
|
1 |
learning_resources_id |
int |
是 |
是 |
学习资源ID |
|
|
2 |
resource_name |
varchar |
64 |
否 |
否 |
资源名称 |
|
3 |
associated_tools |
varchar |
64 |
否 |
否 |
关联工具 |
|
4 |
resource_cover |
varchar |
255 |
否 |
否 |
资源封面 |
|
5 |
resource_video |
varchar |
255 |
否 |
否 |
资源视频 |
|
6 |
resource_documentation |
varchar |
255 |
否 |
否 |
资源文档 |
|
7 |
resource_content |
longtext |
4294967295 |
否 |
否 |
资源内容 |
|
8 |
praise_len |
int |
是 |
否 |
点赞数 |
|
|
9 |
collect_len |
int |
是 |
否 |
收藏数 |
|
|
10 |
comment_len |
int |
是 |
否 |
评论数 |
|
|
11 |
create_time |
datetime |
是 |
否 |
创建时间 |
|
|
12 |
update_time |
timestamp |
是 |
否 |
更新时间 |
表 4-13-message(留言板)
|
编号 |
字段名 |
类型 |
长度 |
是否非空 |
是否主键 |
注释 |
|
1 |
message_id |
int |
是 |
是 |
留言板ID |
|
|
2 |
user_id |
int |
是 |
否 |
用户ID |
|
|
3 |
title |
varchar |
64 |
否 |
否 |
标题 |
|
4 |
content |
longtext |
4294967295 |
是 |
否 |
内容 |
|
5 |
nickname |
varchar |
32 |
是 |
否 |
昵称 |
|
6 |
avatar |
varchar |
255 |
否 |
否 |
头像 |
|
7 |
|
varchar |
125 |
否 |
否 |
留言者邮箱 |
|
8 |
phone |
varchar |
11 |
否 |
否 |
留言者手机号码 |
|
9 |
create_time |
timestamp |
是 |
否 |
创建时间 |
|
|
10 |
update_time |
timestamp |
是 |
否 |
更新时间 |
|
|
11 |
reply |
longtext |
4294967295 |
否 |
否 |
回复 |
|
12 |
reply_state |
tinyint |
否 |
否 |
回复状态 |
表 4-14-notice(公告)
|
编号 |
字段名 |
类型 |
长度 |
是否非空 |
是否主键 |
注释 |
|
1 |
notice_id |
mediumint |
是 |
是 |
公告ID |
|
|
2 |
title |
varchar |
125 |
是 |
否 |
标题 |
|
3 |
content |
longtext |
4294967295 |
否 |
否 |
正文 |
|
4 |
create_time |
timestamp |
是 |
否 |
创建时间 |
|
|
5 |
update_time |
timestamp |
是 |
否 |
更新时间 |
表 4-15-ordinary_user(普通用户)
|
编号 |
字段名 |
类型 |
长度 |
是否非空 |
是否主键 |
注释 |
|
1 |
ordinary_user_id |
int |
是 |
是 |
普通用户ID |
|
|
2 |
user_name |
varchar |
64 |
否 |
否 |
用户姓名 |
|
3 |
user_gender |
varchar |
64 |
否 |
否 |
用户性别 |
|
4 |
user_phone |
varchar |
64 |
否 |
否 |
用户电话 |
|
5 |
examine_state |
varchar |
16 |
是 |
否 |
审核状态 |
|
6 |
user_id |
int |
是 |
否 |
用户ID |
|
|
7 |
create_time |
datetime |
是 |
否 |
创建时间 |
|
|
8 |
update_time |
timestamp |
是 |
否 |
更新时间 |
表 4-16-praise(点赞)
|
编号 |
字段名 |
类型 |
长度 |
是否非空 |
是否主键 |
注释 |
|
1 |
praise_id |
int |
是 |
是 |
点赞ID |
|
|
2 |
user_id |
int |
是 |
是 |
点赞人 |
|
|
3 |
create_time |
timestamp |
是 |
否 |
创建时间 |
|
|
4 |
update_time |
timestamp |
是 |
否 |
更新时间 |
|
|
5 |
source_table |
varchar |
255 |
否 |
否 |
来源表 |
|
6 |
source_field |
varchar |
255 |
否 |
否 |
来源字段 |
|
7 |
source_id |
int |
是 |
否 |
来源ID |
|
|
8 |
status |
tinyint |
是 |
否 |
点赞状态:1为点赞,0已取消 |
表 4-17-schedule(日程管理)
|
编号 |
字段名 |
类型 |
长度 |
是否非空 |
是否主键 |
注释 |
|
1 |
schedule_id |
smallint |
是 |
是 |
日程ID |
|
|
2 |
content |
varchar |
255 |
否 |
否 |
日程内容 |
|
3 |
scheduled_time |
datetime |
否 |
否 |
计划时间 |
|
|
4 |
user_id |
int |
是 |
否 |
用户ID |
|
|
5 |
create_time |
datetime |
否 |
否 |
创建时间 |
|
|
6 |
update_time |
datetime |
否 |
否 |
更新时间 |
表 4-18-score(评分)
|
编号 |
字段名 |
类型 |
长度 |
是否非空 |
是否主键 |
注释 |
|
1 |
score_id |
int |
是 |
是 |
评分ID |
|
|
2 |
user_id |
int |
是 |
否 |
评分人 |
|
|
3 |
nickname |
varchar |
64 |
否 |
否 |
昵称 |
|
4 |
score_num |
double |
是 |
否 |
评分 |
|
|
5 |
create_time |
timestamp |
是 |
否 |
创建时间 |
|
|
6 |
update_time |
timestamp |
是 |
否 |
更新时间 |
|
|
7 |
source_table |
varchar |
255 |
否 |
否 |
来源表 |
|
8 |
source_field |
varchar |
255 |
否 |
否 |
来源字段 |
|
9 |
source_id |
int |
是 |
否 |
来源ID |
表 4-19-slides(轮播图)
|
编号 |
字段名 |
类型 |
长度 |
是否非空 |
是否主键 |
注释 |
|
1 |
slides_id |
int |
是 |
是 |
轮播图ID |
|
|
2 |
title |
varchar |
64 |
否 |
否 |
标题 |
|
3 |
content |
varchar |
255 |
否 |
否 |
内容 |
|
4 |
url |
varchar |
255 |
否 |
否 |
链接 |
|
5 |
img |
varchar |
255 |
否 |
否 |
轮播图 |
|
6 |
hits |
int |
是 |
否 |
点击量 |
|
|
7 |
create_time |
timestamp |
是 |
否 |
创建时间 |
|
|
8 |
update_time |
timestamp |
是 |
否 |
更新时间 |
表 4-20-tool_type(工具类型)
|
编号 |
字段名 |
类型 |
长度 |
是否非空 |
是否主键 |
注释 |
|
1 |
tool_type_id |
int |
是 |
是 |
工具类型ID |
|
|
2 |
tool_type |
varchar |
64 |
否 |
否 |
工具类型 |
|
3 |
create_time |
datetime |
是 |
否 |
创建时间 |
|
|
4 |
update_time |
timestamp |
是 |
否 |
更新时间 |
表 4-21-upload(文件上传)
|
编号 |
字段名 |
类型 |
长度 |
是否非空 |
是否主键 |
注释 |
|
1 |
upload_id |
int |
是 |
是 |
上传ID |
|
|
2 |
name |
varchar |
64 |
否 |
否 |
文件名 |
|
3 |
path |
varchar |
255 |
否 |
否 |
访问路径 |
|
4 |
file |
varchar |
255 |
否 |
否 |
文件路径 |
|
5 |
display |
varchar |
255 |
否 |
否 |
显示顺序 |
|
6 |
father_id |
int |
否 |
否 |
父级ID |
|
|
7 |
dir |
varchar |
255 |
否 |
否 |
文件夹 |
|
8 |
type |
varchar |
32 |
否 |
否 |
文件类型 |
表 4-22-user(用户账户)
|
编号 |
字段名 |
类型 |
长度 |
是否非空 |
是否主键 |
注释 |
|
1 |
user_id |
int |
是 |
是 |
用户ID |
|
|
2 |
state |
smallint |
是 |
否 |
账户状态:(1可用|2异常|3已冻结|4已注销) |
|
|
3 |
user_group |
varchar |
32 |
否 |
否 |
所在用户组 |
|
4 |
login_time |
timestamp |
是 |
否 |
上次登录时间 |
|
|
5 |
phone |
varchar |
11 |
否 |
否 |
手机号码 |
|
6 |
phone_state |
smallint |
是 |
否 |
手机认证:(0未认证|1审核中|2已认证) |
|
|
7 |
username |
varchar |
16 |
是 |
否 |
用户名 |
|
8 |
nickname |
varchar |
16 |
否 |
否 |
昵称 |
|
9 |
password |
varchar |
64 |
是 |
否 |
密码 |
|
10 |
|
varchar |
64 |
否 |
否 |
邮箱 |
|
11 |
email_state |
smallint |
是 |
否 |
邮箱认证:(0未认证|1审核中|2已认证) |
|
|
12 |
avatar |
varchar |
255 |
否 |
否 |
头像地址 |
|
13 |
open_id |
varchar |
255 |
否 |
否 |
针对获取用户信息字段 |
|
14 |
create_time |
timestamp |
是 |
否 |
创建时间 |
表 4-23-user_group(用户组)
|
编号 |
字段名 |
类型 |
长度 |
是否非空 |
是否主键 |
注释 |
|
1 |
group_id |
mediumint |
是 |
是 |
用户组ID |
|
|
2 |
display |
smallint |
是 |
否 |
显示顺序 |
|
|
3 |
name |
varchar |
16 |
是 |
否 |
名称 |
|
4 |
description |
varchar |
255 |
否 |
否 |
描述 |
|
5 |
source_table |
varchar |
255 |
否 |
否 |
来源表 |
|
6 |
source_field |
varchar |
255 |
否 |
否 |
来源字段 |
|
7 |
source_id |
int |
是 |
否 |
来源ID |
|
|
8 |
register |
smallint |
否 |
否 |
注册位置 |
|
|
9 |
create_time |
timestamp |
是 |
否 |
创建时间 |
|
|
10 |
update_time |
timestamp |
是 |
否 |
更新时间 |
第5章
系统实现
5.1前台用户模块的实现
5.1.1用户注册界面
用户可以通过注册功能创建个人账号,填写包括用户名、密码、邮箱或手机号等基本信息完成注册流程。系统会对输入信息进行校验,确保唯一性和格式正确性,并将用户数据存储至数据库中,同时发送验证邮件或短信以确认账户有效性。用户注册界面如下图所示。
图5-1 用户注册界面
5.1.2用户登录界面
系统前台上注册后的用户是可以通过自己的账户名和密码进行登录的,当用户输入完整的自己的账户名和密码信息并点击“登录”按钮后,将会首先验证输入的有没有空数据,再次验证输入的账户名、密码和数据库中当前保存的用户信息是否一致,只有在一致后将会登录成功并自动跳转到系统的首页中;否则将会提示相应错误信息。用户登录界面如下图所示。
图5-2 用户登录界面
5.1.3前台首页界面
首页模块旨在为用户提供一个直观且信息丰富的入口,展示推荐的AI工具、最新的动态以及热门话题。用户登录后,可以看到个性化的推荐内容,包括精选工具和活跃论坛帖子。此外,首页还设有快捷入口,方便用户快速访问AI工具、学习资源等核心功能区,确保用户能够迅速找到感兴趣的内容。前台首页界面如下图所示。
图5-3 前台首页界面
5.1.4交流论坛界面
在交流论坛模块中,用户能够创建新的话题讨论或参与现有的话题讨论,分享自己的见解和经验。该模块支持文本输入、图片上传以及引用其他用户的发言,增强了互动性和内容丰富度。此外,用户可以对感兴趣的话题进行点赞、收藏及评论,方便后续查看和跟进。交流论坛界面如下图所示。
图5-4 交流论坛界面
5.1.5新闻资讯界面
新闻资讯模块为用户提供了一个获取最新行业动态和技术进展的平台。用户可以选择关注特定领域的新闻,并通过定制化的订阅服务接收到最新的资讯推送。每条新闻下方设有评论区,鼓励用户发表看法和讨论,促进了信息的交流与传播。新闻资讯界面如下图所示。
图5-5 新闻资讯界面
5.1.6留言反馈界面
留言反馈模块允许用户向系统管理员提交意见、建议或遇到的问题。系统会自动记录用户的联系方式以便于后续沟通,确保用户的每一个声音都能被听到并得到及时响应。留言反馈界面如下图所示。
图5-6 留言反馈界面
5.1.7AI工具界面
AI工具模块展示了多种类型的智能工具,包括文本处理、图像识别和视频分析等,满足不同场景下的需求。用户可以根据工具的功能介绍、使用案例选择合适的工具进行试用,并可以直接在平台上操作或下载至本地应用。同时,用户还能对喜欢的工具进行点赞、收藏,便于日后快速访问。AI工具展示界面如下图所示。
图5-7 AI工具展示界面
5.1.8学习资源界面
学习资源模块提供了丰富的在线教程、视频课程和文档资料,帮助用户提升技能水平。用户可以根据自身需求筛选不同的资源类型和主题,观看视频课程的同时还可以下载配套文档供离线阅读。每个资源页面都设有互动区域,用户可以在这里发表学习心得、提出疑问并与他人交流。学习资源展示界面如下图所示。
图5-8 学习资源展示界面
5.1.9AI智能机器人界面
AI智能机器人模块旨在为前端用户提供即时、准确的问题解答服务,增强用户体验。用户可以通过文本输入框向智能机器人提出关于AI工具使用、学习资源查询或技术难题等各类问题。机器人基于自然语言处理技术理解用户提问,并从丰富的知识库中检索相关信息,提供详尽的答案或解决方案。此外,该模块支持多轮对话,能够根据用户的追问进一步细化回答,确保用户获得所需的信息。AI智能机器人界面如下图所示。
图5-9 AI智能机器人界面
5.1.10个人中心界面
个人中心模块是用户的个性化空间,集中管理个人信息、活动记录和偏好设置。用户可以在此编辑个人资料、查看历史消息(如收藏的内容、发表的评论)以及追踪学习进度。此外,个人中心还提供了账户安全设置选项,如修改密码、绑定邮箱等,确保账户的安全性和隐私保护。用户个人中心界面如下图所示。
图5-10 用户个人中心界面
5.2后台管理模块的实现
5.2.1后台登录界面
后台登录模块为管理员提供了安全的身份验证入口,确保只有授权用户能够访问系统后台。通过输入正确的用户名和密码,并经过系统的身份验证流程,管理员可以成功登录到后台管理系统,保障了数据的安全性和系统的稳定性。后台登录界面如下图所示。
图5-11 后台登录界面
5.2.2工具类型管理界面
在工具类型管理模块中,管理员负责定义和维护AI工具的分类标准,以便于用户根据需求快速找到合适的工具。该模块允许管理员创建新的工具类别、修改现有类别的属性或删除不再需要的分类,确保工具库的结构清晰且易于导航。工具类型添加界面如下图所示。
图5-11 工具类型添加界面
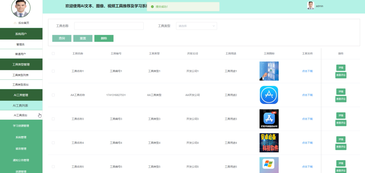
5.2.3AI工具管理界面
AI工具管理模块使管理员能够审核和更新平台上发布的所有AI工具,保证这些工具的质量和适用性。管理员可以通过此模块上传新工具、编辑已有工具的信息,并移除过时或不适用的工具,确保提供的资源始终保持最新状态。AI工具管理界面如下图所示。
图5-13 AI工具管理界面
5.2.4学习资源管理界面
学习资源管理模块帮助管理员管理和优化平台上的教程、视频课程和文档资料等学习资源。管理员可以添加新的教育资源、更新现有资源的内容,并删除不再相关或准确的资料,确保用户获得高质量的学习材料以支持他们的技能提升。学习资源管理界面如下图所示。
图5-14 学习资源理界面
5.2.5系统管理界面
系统管理中的轮播图管理模块让管理员能够轻松设计和管理网站首页的轮播图,用于展示重要信息或推广活动。管理员可通过直观界面上传图片、设置显示顺序及链接,吸引用户关注关键内容,增强视觉吸引力和信息传播效果。轮播图管理界面如下图所示。
图5-15 轮播图管理界面
5.2.6留言管理界面
留言管理模块为管理员提供了审查和回复用户反馈的功能,确保用户的问题和建议得到及时响应。管理员不仅可以查看所有用户的留言,还可以直接通过系统回复用户,解决他们遇到的问题,促进与用户的良好沟通和互动。留言管理界面如下图所示。
图5-16 留言管理界面
5.2.7资源管理界面
资源管理模块主要用于管理和发布新闻资讯及分类信息,帮助管理员丰富平台内容。管理员可以创建、编辑或删除新闻资讯,并对资讯进行分类管理,确保内容组织清晰有序。资源管理界面如下图所示。
图5-17 资源管理界面
第6章
系统测试
6.1测试目的
在对该系统进行完详细设计和编码之后,就要对AI文本、图像、视频工具推荐及学习系统的程序进行测试,检测程序是否运行无误,反复进行测试和修改,使之最后成为完整的软件,满足用户的需求,实现预期的功能。系统测试的目的在于确保软件正常运作,并实现其应有的功能,促进行中出现的错误和逻辑问题。系统测试不但可以找见程序运行中的系统错误,还可以找见程序运行的需要改进的地方,并去协助改良程序运行使其获得最高幅度的完备。世界一流的安装测试员可以增加软件品质,将软件系统错误概率降至最少。
6.2测试用例
对以下功能进行测试,包括包括用户注册、用户登录、AI工具搜索、学习资源查看、评论信息添加、交流论坛发布,具体测试用例如下表所示。
表6-1 用户注册测试用例表
|
用例编号 |
用例名称 |
测试步骤 |
测试结果 |
|
6-1 |
用户注册 |
1. 输入有效注册信息,包括用户名、密码和联系方式。 |
注册成功,系统保存用户信息。 |
|
2. 点击注册按钮进行提交。 |
跳转至登录页面。 |
||
|
3. 检查是否成功注册并跳转至登录页面。 |
用户成功注册,可以登录使用。 |
表6-2 用户登录测试用例表
|
用例编号 |
用例名称 |
测试步骤 |
测试结果 |
|
6-2 |
用户登录 |
1. 输入正确用户名和密码。 |
登录成功,系统验证通过。 |
|
2. 点击登录按钮进行验证。 |
跳转至用户首页。 |
||
|
3. 检查是否成功登录并跳转至用户首页。 |
用户成功登录,进入用户首页。 |
表6-3 AI工具搜索测试用例表
|
用例编号 |
用例名称 |
测试步骤 |
测试结果 |
|
6-3 |
AI工具搜索 |
1. 在搜索框输入关键词,如工具标题。 |
显示相关商品列表。 |
|
2. 点击搜索按钮进行搜索。 |
匹配关键词的AI工具显示在搜索结果中。 |
||
|
3. 检查是否显示相关AI工具列表。 |
用户看到与搜索关键词匹配的AI工具。 |
表6-4 学习资源查看测试用例表
|
用例编号 |
用例名称 |
测试步骤 |
测试结果 |
|
6-3 |
学习资源搜索 |
1. 点击学习资源。 |
显示所有学习资源列表。 |
|
2. 进入详情页浏览。 |
展示学习资源详情页。 |
||
|
3. 检查是否显示学习资源是否正常展示。 |
学习资源展示正常。 |
表6-5 评论信息添加测试用例表
|
用例编号 |
用例名称 |
测试步骤 |
测试结果 |
|
6-4 |
评论信息添加 |
1. 进入功能模块详情页面,点击评论按钮。 |
显示评论信息添加页面。 |
|
2. 正确填写并提交相关信息。 |
信息填写完整准确。 |
||
|
3. 检查是否提交成功,并检查评论信息是否成功添加至平台。 |
评论信息成功添加至平台。 |
表6-6 交流论坛发布测试用例表
|
用例编号 |
用例名称 |
测试步骤 |
测试结果 |
|
6-4 |
交流论坛发布 |
1. 进入前台交流论坛详情页,点击发布按钮。 |
显示交流论坛信息页面。 |
|
2. 用户正确填写并提交发布相关信息。 |
发布信息填写完整准确。 |
||
|
3. 检查是否提交成功,并检查交流论坛发布信息是否成功添加至平台。 |
交流论坛发布信息成功添加至平台,可在个人中心-交流论坛发布列表中查看。 |
6.3测试结果
经过对用户注册、用户登录、AI工具搜索、学习资源查看、评论信息添加、交流论坛发布等功能的测试,系统表现稳定,用户注册流程顺畅,登录验证准确,AI工具搜索、学习资源查看、评论信息添加功能有效,交流论坛发布信息流程顺利。各项功能符合预期,用户可以顺利注册登录,选择所需AI工具进行浏览,可以成功发布交流论坛生成帖子信息。系统运行良好,用户体验良好,功能完善。
结 论
通过Spring Boot AI文本、图像、视频工具推荐及学习系统的开发,本人巩固了之前学过的知识,如今将平时所学到的知识融合在设计中,在设计过程中,做了很多的准备,首先,在数据库系统的设计过程中,尤其是在数据库的工作原理、工作特点,对其深刻的讨论,与此同时,对于小型站点来说,最好服务器的选择,其次,利用所学的知识点分析所做的系统,并在此基础上设计。
目前本系统已经上线,正在试运行阶段,用户反馈良好,基本完成用户所需,试运行过程中没有出现阻断性问题,有一些不足和小问题也及时予以修正,系统上线后,为了保证数据的安全性,对系统进行了备份操作,系统备份是每两个月备份一次,数据库备份为每周备份一次,系统部署在租赁的云平台服务器中。
本次系统上线成功后,得到了用户的高度认可,但是在功能上和性能上还需做进一步的研究处理,使其有更高的性能和更好的用户体验。系统在以后的升级过程中,需要解决一系列用户所提出的问题,例如打印过程中如何避免浏览器的兼容性问题,大量用户访问时,如何保持较高的响应速度,在系统今后的升级过程中将着重解决这些安全性问题。
参考文献
- 陈敬宗.计算机软件Java编程特点与技术应用分析[J].中国信息界,2025,(01):162-164.
- 柯灵.Java编程语言在计算机软件开发中的应用与问题处理探析[J].电脑知识与技术,2024,20(27):45-47.
- 王志亮,纪松波.基于SpringBoot的Web前端与数据库的接口设计[J].工业控制计算机,2023,36(03):51-53.
- 李兴华,马云涛.Spring开发实战[M].人民邮电出版社:202303.381.
- 李艳杰.MySQL数据库下存储过程的综合运用研究[J].现代信息科技,2023,7(11):80-82+88.
- 肖睿,李鲲程,范效亮,等.MySQL数据库应用技术及实践[M].人民邮电出版社:202206.228.
- 黄维.基于B/S模式的虚拟网络实验室安全管理体系分析[J].信息系统工程,2024,(05):4-7.
- 张宇薇.HTML5在Web前端开发中的应用[J].集成电路应用,2024,41(04):274-276.
- Zaghbani S ,Pranti K R ,Faber L , et al.MitoSkel: AI tool for semantic segmentation and quantification of mitochondria from light microscopy images[J].Biomedical Signal Processing and Control,2025,106107762-107762.
- Hond D A A ,Vosslamber S ,Lange S , et al.When, where, who, what, and why? The five Ws of workflow analysis for implementing an AI decision support tool at the intensive care[J].Human Factors in Healthcare,2025,7100095-100095.
- Shimamura T ,Tanaka Y ,Managi S .Evaluating the impact of report readability on ESG scores: A generative AI approach[J].International Review of Financial Analysis,2025,101104027-104027.
- 赵强,潘友强,秦培超.如何使用AI和Python语言编写审计实用小工具[J].现代审计与会计,2025,(03):25-26.
- 顾阳.当AI从工具变成基础设施[N].经济日报,2025-03-05(008).
- 石朋妮.“AI+档案”新工具的承载力[J].文化产业,2025,(05):85-87.
- 刘洋.基于AI的新闻采编工具分析[J].中国报业,2025,(01):154-155.
- 董华松,王智广.基于OBE和AI辅助工具的嵌入式系统实验教学设计[J].中国多媒体与网络教学学报(上旬刊),2025,(01):1-4.
- 齐晓丹,黄雅晨,苏畅,等.AI工具在高校图书馆智慧化建设中的应用[J].国际公关,2024,(23):161-163.
- 吴冕.AI写作工具在英语写作教学中的个性化反馈机制探析[J].品位·经典,2024,(23):160-163.
- 樊澜.“AI+教育”赋能人才培养与教学实践[J].中国教工,2024,(11):42-43.
- 应忍冬,刘佩林.AI嵌入式系统[M].机械工业出版社:202202.670.
致 谢
至此,整个AI文本、图像、视频工具推荐及学习系统就算完成了,虽然过程十分艰难,但是等到都完成的时候,我感觉无比的自豪,虽然设计的系统还存在许多的纰漏,但是我已经拼劲全力,给自己的大学四年画上了一个圆满的句号。
在这里我首先要感谢的就是大学四年来所有教导我的老师,是他们教会了我许多的专业知识以及做人的道理,从一进校门对对开发系统一窍不通到现在能自主开发一个管理系统,里面包含了前台框架、后台框架、业务流程、数据结构、操作系统等各种知识,只有把他们统一运用好,才能够完成整个系统,这都是老师的功劳;其次我要感谢我的指导老师,在开发这个系统的时候,我遇到了无数的问题,经常通过线上、线下的方式去请教导师,每次去请教导师,他从来没有不耐烦,都是细心的引导,告诉我怎么样实现这个功能,怎么样才能使得系统更加完善,然后通过自己查询相关资料解决问题,提高了自己自主解决问题的能力,授人以鱼不如授人以渔,指导老师的这种工作态度受益终生,我也会向老师不断靠拢,向他学习,在此我只想说一句:“老师,谢谢您,您辛苦了”!最后我还要感谢我的室友、同学,在一起学习这四年,他们不但学习上给了我很多建议,在生活上更加给了我帮助,正是有他们的帮助,我的大学生涯才如此完美。
最后,希望自己在未来的道路上能够越走越远,不辜负在大学的学习以及老师们的细致的教导,追风赶月莫停留,平荒尽处是春山。
登录代码如下:
/**
* 登录
* @param data
* @param httpServletRequest
* @return
*/
@PostMapping("login")
public Map<String, Object> login(@RequestBody Map<String, String> data, HttpServletRequest httpServletRequest) {
log.info("[执行登录接口]");
String username = data.get("username");
String email = data.get("email");
String phone = data.get("phone");
String password = data.get("password");
List resultList = null;
Map<String, String> map = new HashMap<>();
if(username != null && "".equals(username) == false){
map.put("username", username);
resultList = service.selectBaseList(service.select(map, new HashMap<>()));
}
else if(email != null && "".equals(email) == false){
map.put("email", email);
resultList = service.selectBaseList(service.select(map, new HashMap<>()));
}
else if(phone != null && "".equals(phone) == false){
map.put("phone", phone);
resultList = service.selectBaseList(service.select(map, new HashMap<>()));
}else{
return error(30000, "账号或密码不能为空");
}
if (resultList == null || password == null) {
return error(30000, "账号或密码不能为空");
}
//判断是否有这个用户
if (resultList.size()<=0){
return error(30000,"用户不存在");
}
User byUsername = (User) resultList.get(0);
Map<String, String> groupMap = new HashMap<>();
groupMap.put("name",byUsername.getUserGroup());
List groupList = userGroupService.selectBaseList(userGroupService.select(groupMap, new HashMap<>()));
if (groupList.size()<1){
return error(30000,"用户组不存在");
}
UserGroup userGroup = (UserGroup) groupList.get(0);
//查询用户审核状态
if (!StringUtils.isEmpty(userGroup.getSourceTable())){
String res = service.selectExamineState(userGroup.getSourceTable(),byUsername.getUserId());
if (res==null){
return error(30000,"用户不存在");
}
if (!res.equals("已通过")){
return error(30000,"该用户审核未通过");
}
}
//查询用户状态
if (byUsername.getState()!=1){
return error(30000,"用户非可用状态,不能登录");
}
String md5password = service.encryption(password);
if (byUsername.getPassword().equals(md5password)) {
// 存储Token到数据库
AccessToken accessToken = new AccessToken();
accessToken.setToken(UUID.randomUUID().toString().replaceAll("-", ""));
accessToken.setUser_id(byUsername.getUserId());
Duration duration = Duration.ofSeconds(7200L);
redisTemplate.opsForValue().set(accessToken.getToken(), accessToken,duration);
// 返回用户信息
JSONObject user = JSONObject.parseObject(JSONObject.toJSONString(byUsername));
user.put("token", accessToken.getToken());
JSONObject ret = new JSONObject();
ret.put("obj",user);
return success(ret);
} else {
return error(30000, "账号或密码不正确");
}
}
注册代码如下:
/**
* 注册
* @param user
* @return
*/
@PostMapping("register")
public Map<String, Object> signUp(@RequestBody User user) {
// 查询用户
Map<String, String> query = new HashMap<>();
Map<String,Object> map = JSON.parseObject(JSON.toJSONString(user));
query.put("username",user.getUsername());
List list = service.selectBaseList(service.select(query, new HashMap<>()));
if (list.size()>0){
return error(30000, "用户已存在");
}
map.put("password",service.encryption(String.valueOf(map.get("password"))));
service.insert(map);
return success(1);
}
找回密码代码如下:
/**
* 找回密码
* @param form
* @return
*/
@PostMapping("forget_password")
public Map<String, Object> forgetPassword(@RequestBody User form,HttpServletRequest request) {
JSONObject ret = new JSONObject();
String username = form.getUsername();
String code = form.getCode();
String password = form.getPassword();
// 判断条件
if(code == null || code.length() == 0){
return error(30000, "验证码不能为空");
}
if(username == null || username.length() == 0){
return error(30000, "用户名不能为空");
}
if(password == null || password.length() == 0){
return error(30000, "密码不能为空");
}
// 查询用户
Map<String, String> query = new HashMap<>();
query.put("username",username);
List list = service.selectBaseList(service.select(query, service.readConfig(request)));
if (list.size() > 0) {
User o = (User) list.get(0);
JSONObject query2 = new JSONObject();
JSONObject form2 = new JSONObject();
// 修改用户密码
query2.put("user_id",o.getUserId());
form2.put("password",service.encryption(password));
service.update(query, service.readConfig(request), form2);
return success(1);
}
return error(70000,"用户不存在");
}
修改密码代码如下:
/**
* 修改密码
* @param data
* @param request
* @return
*/
@PostMapping("change_password")
public Map<String, Object> change_password(@RequestBody Map<String, String> data, HttpServletRequest request){
// 根据Token获取UserId
String token = request.getHeader("x-auth-token");
Integer userId = tokenGetUserId(token);
// 根据UserId和旧密码获取用户
Map<String, String> query = new HashMap<>();
String o_password = data.get("o_password");
query.put("user_id" ,String.valueOf(userId));
query.put("password" ,service.encryption(o_password));
int count = service.selectBaseCount(service.count(query, service.readConfig(request)));
if(count > 0){
// 修改密码
Map<String,Object> form = new HashMap<>();
form.put("password",service.encryption(data.get("password")));
service.update(query,service.readConfig(request),form);
return success(1);
}
return error(10000,"密码修改失败!");
}
增删查改代码如下:
增
@PostMapping("/add")
@Transactional
public Map<String, Object> add(HttpServletRequest request) throws IOException {
service.insert(service.readBody(request.getReader()));
return success(1);
}
public Map<String, Object> addMap(Map<String,Object> map){
service.insert(map);
return success(1);
}
删
@RequestMapping(value = "/del")
@Transactional
public Map<String, Object> del(HttpServletRequest request) {
service.delete(service.readQuery(request), service.readConfig(request));
return success(1);
}
public void delete(Map<String,String> query,Map<String,String> config){
QueryWrapper wrapper = new QueryWrapper<E>();
toWhereWrapper(query, "0".equals(config.get(FindConfig.GROUP_BY)),wrapper);
baseMapper.delete(wrapper);
log.info("[{}] - 删除操作:{}",wrapper.getSqlSelect());
}
改
@PostMapping("/set")
@Transactional
public Map<String, Object> set(HttpServletRequest request) throws IOException {
service.update(service.readQuery(request), service.readConfig(request), service.readBody(request.getReader()));
return success(1);
}
图片/文件/视频等的上传方法通过MultipartFile,代码如下:
@PostMapping("/upload")
public Map<String, Object> upload(@RequestParam("file") MultipartFile file) {
log.info("进入方法");
if (file.isEmpty()) {
return error(30000, "没有选择文件");
}
try {
//判断有没路径,没有则创建
String filePath = System.getProperty("user.dir") + "/src/main/resources/static/";
File targetDir = new File(filePath);
if (!targetDir.exists() && !targetDir.isDirectory()) {
if (targetDir.mkdirs()) {
log.info("创建目录成功");
} else {
log.error("创建目录失败");
}
}
String fileName = file.getOriginalFilename();
File dest = new File(filePath + fileName);
log.info("文件路径:{}", dest.getPath());
log.info("文件名:{}", dest.getName());
file.transferTo(dest);
JSONObject jsonObject = new JSONObject();
jsonObject.put("url", "/api/upload/" + fileName);
return success(jsonObject);
} catch (IOException e) {
log.info("上传失败:{}", e.getMessage());
}
return error(30000, "上传失败");
}
主要项目:JAVA、PHP、爬虫、APP、小程序、C# 、C++、python、数据可视化、大数据、全套文案等
点赞❤关注+私信博主,免费领取项目源码,谢谢
如需其他项目或毕设源码,可进主页看下往期的毕设资源分享哦,希望对您有帮助!
更多推荐


所有评论(0)