大模型岗位面试秘籍:50道大型语言模型(LLM)面试问题及答案汇总,助你成功应对求职挑战!
大型语言模型(LLMs)正在彻底改变人工智能,使从聊天机器人到自动化内容创建等应用成为可能。本文档汇总了50个核心面试问题,经过精心筛选,旨在加深您对LLMs的理解。每个问题都配有详细答案,结合了技术见解与实际示例。

通过本指南,深入探索大型语言模型(LLMs)的关键概念、技术和挑战,特别适合正在为面试做准备的AI爱好者和专业人士。
简介
大型语言模型(LLMs)正在彻底改变人工智能,使从聊天机器人到自动化内容创建等应用成为可能。本文档汇总了50个核心面试问题,经过精心筛选,旨在加深您对LLMs的理解。每个问题都配有详细答案,结合了技术见解与实际示例。
1 问题1:什么是分词(tokenization),它为什么对LLM至关重要?
分词是将文本拆分成较小的单元或“词块”,例如单词、子单词或字符。例如,“artificial”可能会拆分为“art”,“ific”和“ial”。这一过程非常重要,因为LLMs处理的是词块的数值表示,而不是原始文本。分词使得模型能够处理多样的语言、管理罕见或未知的单词,并优化词汇表的大小,从而提高计算效率和模型性能。
2 问题2:注意力机制(attention mechanism)在Transformer模型中是如何工作的?
注意力机制使LLMs能够在生成或解释文本时,衡量序列中不同词块的重要性。它通过计算查询(query)、键(key)和值(value)向量之间的相似度分数,使用点积等运算,聚焦于相关的词块。例如,在句子“The cat chased the mouse”中,注意力机制帮助模型将“mouse”与“chased”联系起来。该机制提升了上下文理解,使得Transformer在NLP任务中表现优异。
3 问题3:LLM中的上下文窗口(context window)是什么,它为什么重要?
上下文窗口是指LLM一次性能够处理的词块数量,它定义了模型理解或生成文本时的“记忆”容量。一个更大的窗口,例如32,000个词块,可以让模型考虑更多的上下文,从而在任务如摘要生成中提高连贯性。然而,它也会增加计算成本。平衡窗口大小与效率对于实际部署LLM至关重要。
4 问题4:LoRA与QLoRA在微调LLM时有何区别?
LoRA(低秩适配)是一种微调方法,它通过在模型层中添加低秩矩阵,使得在内存开销最小的情况下高效地进行适应。QLoRA在此基础上应用了量化(例如,4位精度),进一步减少内存使用,同时保持精度。例如,QLoRA可以在单个GPU上对70B参数模型进行微调,适用于资源有限的环境。
5 问题5:与贪婪解码(greedy decoding)相比,束搜索(beam search)如何改善文本生成?
束搜索在文本生成过程中探索多个词序列,每个步骤保留前k个候选序列(束),与贪婪解码不同,后者只选择最可能的词。比如,当k=5时,束搜索通过平衡概率和多样性,确保输出更具连贯性,尤其适用于机器翻译或对话生成等任务。
6 问题6:温度(temperature)在控制LLM输出中起什么作用?
温度是一个超参数,用来调整文本生成中词块选择的随机性。低温(例如0.3)偏向选择高概率词块,产生可预测的输出。高温(例如1.5)通过平滑概率分布来增加多样性。在故事创作等任务中,设置温度为0.8通常能平衡创造性和连贯性。
7 问题7:什么是掩码语言建模(masked language modeling),它如何帮助预训练?
掩码语言建模(MLM)是指在序列中随机隐藏一些词块,并训练模型根据上下文预测这些词块。像BERT这样的模型使用MLM,它促进了对语言的双向理解,使模型能够掌握语义关系。这种预训练方法使LLM能够应对情感分析或问答等任务。
8 问题8:什么是序列到序列(Seq2Seq)模型,它们有哪些应用?
序列到序列(Seq2Seq)模型将输入序列转换为输出序列,输出序列的长度可能与输入不同。它们包括一个编码器来处理输入,一个解码器来生成输出。应用领域包括机器翻译(例如,将英文翻译为西班牙文)、文本摘要和聊天机器人等,常见于输入输出长度可变的情况。
9 问题9:自回归模型(autoregressive models)和掩码模型(masked models)在LLM训练中有何区别?
自回归模型,如GPT,基于先前的词块顺序预测词块,特别适用于生成任务,例如文本补全。掩码模型,如BERT,使用双向上下文预测掩码词块,更适合理解任务,如分类。它们的训练目标决定了它们在生成与理解任务中的优势。
10 问题10:什么是词嵌入(embeddings),它们在LLM中是如何初始化的?
词嵌入是将词块表示为密集的向量,这些向量在连续空间中捕捉语义和句法属性。它们通常是随机初始化的,或者使用像GloVe这样的预训练模型进行初始化,然后在训练过程中进行微调。例如,词嵌入“dog”可能会根据宠物相关任务的上下文进行调整,从而提高模型的准确性。
11 问题11:什么是下一句预测(next sentence prediction),它如何增强LLM的能力?
下一句预测(NSP)训练模型判断两句话是连续的还是无关的。在预训练过程中,像BERT这样的模型学习分类50%是正向(连续的)句子对,50%是负向(随机的)句子对。NSP帮助模型在对话系统或文档摘要等任务中理解句子之间的关系,提升连贯性。
12 问题12:top-k采样与top-p采样在文本生成中有何不同?
top-k采样从k个最可能的词块中随机选择(例如,k=20),确保控制多样性。top-p(核采样)选择那些累计概率超过阈值p(例如0.95)的词块,适应上下文。top-p提供了更大的灵活性,能够在创作写作中生成多样且连贯的输出。
13 问题13:为什么提示工程(prompt engineering)对LLM性能至关重要?
提示工程涉及设计输入,以引导LLM产生预期的输出。明确的提示,如“将这篇文章总结为100个字”,比模糊的指令更能提高输出的相关性。它在零-shot或少-shot场景中尤其有效,能够让LLM完成如翻译或分类等任务,而无需大量微调。
14 问题14:如何防止LLM在微调过程中发生灾难性遗忘(catastrophic forgetting)?
灾难性遗忘发生在微调时,模型丧失了先前的知识。缓解策略包括:
- 复习:在训练过程中混合旧数据和新数据。
- 弹性权重整合:优先保留重要权重,以保持知识。
- 模块化架构:添加任务特定的模块,避免重写核心知识。
这些方法确保LLM在多个任务中保持多样性。
15 问题15:什么是模型蒸馏(model distillation),它如何惠及LLM?
模型蒸馏训练一个较小的“学生”模型模仿较大的“教师”模型的输出,使用软概率而非硬标签。这减少了内存和计算需求,使得模型能够在智能手机等设备上部署,同时保持接近教师模型的性能,非常适合实时应用。
16 问题16:LLM如何处理超出词汇表的词(OOV)?
LLMs使用子词分词技术,如字节对编码(Byte-Pair Encoding,BPE),将超出词汇表的词拆分成已知的子词单元。例如,“cryptocurrency”可能会拆分为“crypto”和“currency”。这种方法使LLM能够处理稀有或新词,确保语言理解和生成的健壮性。
17 问题17:Transformer如何改进传统的Seq2Seq模型?
Transformer通过以下方式克服了传统Seq2Seq模型的局限性:
- 并行处理:自注意力机制使得模型能够同时处理所有的词块,而不像RNN那样顺序处理。
- 长距离依赖:注意力机制能够捕捉到较远词块之间的关系。
- 位置编码:确保序列中的顺序信息得到保留。
这些特性增强了模型在翻译等任务中的可扩展性和性能。
18 问题18:什么是过拟合(overfitting),如何在LLM中缓解?
过拟合发生在模型记住了训练数据的细节,从而无法有效地泛化。缓解过拟合的策略包括:
- 正则化:L1/L2正则化使得模型更加简洁。
- 丢弃法(Dropout):在训练过程中随机禁用神经元。
- 提前停止:当验证集的性能趋于平稳时,停止训练。
这些技术确保了模型能够有效地对未见过的数据进行泛化。
19 问题19:生成模型(generative models)和判别模型(discriminative models)在NLP中的区别是什么?
生成模型,如GPT,建模联合概率来创建新数据,例如文本或图像。判别模型,如BERT,用来建模条件概率,区分不同类别,如情感分析。生成模型擅长创作,而判别模型则专注于准确分类。
20 问题20:GPT-4与GPT-3在特性和应用上有何不同?
GPT-4相较于GPT-3具有以下改进:
- 多模态输入:能够处理文本和图像。
- 更大的上下文窗口:支持最多25,000个词块,而GPT-3只能处理4,096个词块。
- 更高的准确性:通过更好的微调减少事实错误。
这些改进使得GPT-4在视觉问答和复杂对话等任务中有更广泛的应用。
21 问题21:什么是位置编码(positional encoding),它为什么要使用?
位置编码为Transformer输入增加了序列的顺序信息,因为自注意力机制本身不具备顺序感知能力。通过使用正弦函数或学习到的向量,位置编码确保像“king”和“crown”这样的词能根据其在句中的位置正确地进行解释,对于翻译等任务至关重要。
22 问题22:什么是多头注意力(multi-head attention),它如何增强LLM的能力?
多头注意力将查询(query)、键(key)和值(value)分成多个子空间,允许模型同时关注输入的不同方面。例如,在一个句子中,一个头可能关注语法,另一个头则关注语义。这提高了模型捕捉复杂模式的能力。
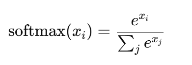
23 问题23:softmax函数在注意力机制中如何应用?
softmax函数将注意力分数转化为概率分布:

在注意力机制中,它将查询-键点积得到的相似度分数转化为权重,从而强调与上下文相关的词块。这确保了模型能够关注输入中最重要的部分。
24 问题24:点积(dot product)如何在自注意力中发挥作用?
在自注意力机制中,查询(Q)与键(K)向量之间的点积计算相似度分数:

高分表示相关的词块。虽然这种计算方式高效,但由于它的二次复杂度(O(n²)),对于长序列的处理存在挑战,因此目前已经有研究提出稀疏注意力的替代方法。
25 问题25:为什么在语言建模中使用交叉熵损失(cross-entropy loss)?
交叉熵损失衡量预测值与真实标签之间的差异:

它惩罚错误的预测,鼓励模型选择正确的下一个词块。在语言建模中,交叉熵损失确保模型将高概率分配给正确的词块,从而优化性能。
26 问题26:LLM中嵌入(embeddings)的梯度是如何计算的?
在LLM中,嵌入的梯度是通过反向传播中的链式法则计算的:

这些梯度调整嵌入向量,以最小化损失,从而优化其语义表示,提高任务表现。
27 问题27:雅可比矩阵(Jacobian matrix)在Transformer反向传播中的作用是什么?
雅可比矩阵捕获输出相对于输入的偏导数。在Transformer中,它有助于计算多维输出的梯度,确保在反向传播过程中,权重和嵌入的更新是准确的,这对优化复杂模型至关重要。
28 问题28:特征值(eigenvalues)和特征向量(eigenvectors)与降维(dimensionality reduction)有何关系?
特征向量定义了数据中的主方向,特征值表示这些方向的方差。在像主成分分析(PCA)这样的技术中,通过选择具有高特征值的特征向量来降低维度,同时保留大部分方差,从而提高LLM输入处理的效率。
29 问题29:KL散度(KL divergence)是什么,它在LLM中如何应用?
KL散度量化了两个概率分布之间的差异:

在LLM中,KL散度用来评估模型预测与真实分布的匹配程度,指导微调过程以提高输出质量和与目标数据的一致性。
30 问题30:ReLU函数的导数是什么,它为何重要?
ReLU函数的定义是 f(x)=max(0,x)f(x) = \max(0, x)f(x)=max(0,x),其导数为:

ReLU函数的稀疏性和非线性防止了梯度消失问题,使得它在LLM训练中计算高效,广泛用于深度学习模型中。
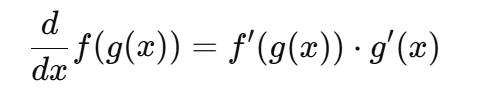
31 问题31:链式法则(chain rule)如何应用于LLM中的梯度下降?
链式法则用于计算复合函数的导数:

在梯度下降中,链式法则使得反向传播能够逐层计算梯度,从而高效地更新参数,最小化深度LLM架构中的损失。
32 问题32:Transformer中如何计算注意力分数?
注意力分数计算公式为:

缩放点积计算词块的相关性,softmax函数对分数进行归一化,以集中注意力在关键词块上,这增强了在任务如摘要生成中的上下文感知能力。
33 问题33:Gemini如何优化多模态LLM训练?
Gemini通过以下方式提高效率:
- 统一架构:结合文本和图像处理,提高参数效率。
- 先进的注意力机制:改善跨模态学习的稳定性。
- 数据效率:使用自监督技术减少标注数据的需求。
这些特点使得Gemini比像GPT-4这样的模型更稳定、更具可扩展性。
34 问题34:有哪些基础模型(foundation models)?
基础模型包括:
- 语言模型:如BERT、GPT-4,用于文本任务。
- 视觉模型:如ResNet,用于图像分类。
- 生成模型:如DALL-E,用于内容创作。
- 多模态模型:如CLIP,用于文本-图像任务。
这些模型利用广泛的预训练,能够应用于各种任务。
35 问题35:PEFT如何缓解灾难性遗忘?
参数高效微调(PEFT)只更新一小部分参数,保持其余部分不变,以保持预训练知识。像LoRA这样的技术确保LLM能够适应新任务,同时不会丧失核心能力,维持在多个领域的表现。
36 问题36:检索增强生成(RAG)有哪些步骤?
RAG的步骤包括:
- 检索:使用查询嵌入检索相关文档。
- 排序:按相关性排序文档。
- 生成:使用检索到的上下文生成准确的响应。
RAG在问答等任务中通过增强事实准确性来提升模型性能。
37 问题37:专家混合(MoE)如何增强LLM的可扩展性?
MoE使用门控函数来根据输入激活特定的专家子网络,从而减少计算负担。例如,模型的参数中只有10%在每次查询中被激活,这使得大规模参数模型能够高效运行,同时保持高性能。
38 问题38:什么是链式思维(CoT)提示,它如何帮助推理?
链式思维提示引导LLM逐步解决问题,模仿人类的推理过程。例如,在数学问题中,它将计算步骤分解成逻辑步骤,从而提高准确性和可解释性,特别适用于逻辑推理或多步骤查询等复杂任务。
39 问题39:判别AI与生成AI有何不同?
判别AI(如情感分类器)根据输入特征预测标签,建模条件概率。生成AI(如GPT)通过建模联合概率来创造新数据,适用于文本或图像生成任务,提供更大的创作灵活性。
40 问题40:知识图谱的集成如何改善LLM?
知识图谱提供结构化的事实数据,通过以下方式增强LLM:
- 减少幻觉:通过验证图谱中的事实来减少模型错误。
- 改善推理:利用实体之间的关系进行推理。
- 增强上下文:提供结构化的上下文,使得模型能够生成更好的响应。
这对于问答和实体识别任务非常有价值。
41 问题41:什么是零-shot学习,LLM如何实现零-shot学习?
零-shot学习允许LLM在没有针对特定任务的数据的情况下,利用预训练知识执行任务。例如,提示“将此评论分类为正面或负面”,LLM能够推测情感而无需特定的训练数据,展示了其多样性。
42 问题42:自适应Softmax如何优化LLM?
自适应Softmax将词汇按频率分组,减少对稀有词的计算负担。这降低了处理大词汇表的成本,加速了训练和推理,同时保持了准确性,尤其适用于资源有限的环境。
43 问题43:Transformer如何解决梯度消失问题?
Transformer通过以下方式减轻梯度消失问题:
- 自注意力:避免了顺序依赖。
- 残差连接:允许梯度直接流动。
- 层归一化:稳定了更新过程。
这些特性确保了深层模型的有效训练,而不像RNN那样受到限制。
44 问题44:什么是少-shot学习,少-shot学习的优势是什么?
少-shot学习使LLM能够在仅有少量示例的情况下执行任务,利用预训练知识。其优势包括减少数据需求、加速适应以及提高成本效益,特别适用于诸如专门文本分类等细分任务。
45 问题45:如何修复LLM生成偏见或错误输出的问题?
解决偏见或错误输出的步骤包括:
- 分析模式:识别数据或提示中的偏见源。
- 增强数据:使用平衡的数据集和去偏技术。
- 微调:使用精选数据或对抗方法重新训练模型。
这些步骤能够提高模型的公正性和准确性。
46 问题46:在Transformer中,编码器(encoder)和解码器(decoder)有何不同?
编码器将输入序列转换为抽象的表示,捕获上下文信息。解码器生成输出,利用编码器的输出和先前的词块。在翻译中,编码器理解源语言,解码器生成目标语言,使得Seq2Seq任务能够有效完成。
47 问题47:LLM与传统的统计语言模型有何不同?
LLM使用Transformer架构、大规模数据集和无监督预训练,而传统的统计模型(如N-gram)依赖于更简单的监督方法。LLM能够处理长距离依赖、上下文嵌入以及多样化任务,但需要大量计算资源。
48 问题48:什么是超参数(hyperparameter),它为什么重要?
超参数是预设的值,例如学习率或批量大小,用于控制模型的训练过程。它们影响收敛速度和性能;例如,较高的学习率可能导致不稳定。调优超参数能够优化LLM的效率和准确性。
49 问题49:什么定义了大型语言模型(LLM)?
LLM是经过大规模文本语料库训练的AI系统,能够理解和生成类人语言。它们具有数十亿个参数,能够在翻译、摘要生成和问答等任务中表现出色,依靠上下文学习具备广泛的适用性。
50 问题50:LLM在部署过程中面临哪些挑战?
LLM面临的挑战包括:
- 资源密集型:计算需求高。
- 偏见:可能会固化训练数据中的偏见。
- 可解释性:复杂模型难以解释。
- 隐私:可能存在数据安全问题。
解决这些问题能确保LLM的道德和有效使用。
AI大模型从0到精通全套学习大礼包
我在一线互联网企业工作十余年里,指导过不少同行后辈。帮助很多人得到了学习和成长。
只要你是真心想学AI大模型,我这份资料就可以无偿共享给你学习。大模型行业确实也需要更多的有志之士加入进来,我也真心希望帮助大家学好这门技术,如果日后有什么学习上的问题,欢迎找我交流,有技术上面的问题,我是很愿意去帮助大家的!
如果你也想通过学大模型技术去帮助就业和转行,可以扫描下方链接👇👇
大模型重磅福利:入门进阶全套104G学习资源包免费分享!

01.从入门到精通的全套视频教程
包含提示词工程、RAG、Agent等技术点
02.AI大模型学习路线图(还有视频解说)
全过程AI大模型学习路线


03.学习电子书籍和技术文档
市面上的大模型书籍确实太多了,这些是我精选出来的


04.大模型面试题目详解


05.这些资料真的有用吗?
这份资料由我和鲁为民博士共同整理,鲁为民博士先后获得了北京清华大学学士和美国加州理工学院博士学位,在包括IEEE Transactions等学术期刊和诸多国际会议上发表了超过50篇学术论文、取得了多项美国和中国发明专利,同时还斩获了吴文俊人工智能科学技术奖。目前我正在和鲁博士共同进行人工智能的研究。
所有的视频由智泊AI老师录制,且资料与智泊AI共享,相互补充。这份学习大礼包应该算是现在最全面的大模型学习资料了。
资料内容涵盖了从入门到进阶的各类视频教程和实战项目,无论你是小白还是有些技术基础的,这份资料都绝对能帮助你提升薪资待遇,转行大模型岗位。


智泊AI始终秉持着“让每个人平等享受到优质教育资源”的育人理念,通过动态追踪大模型开发、数据标注伦理等前沿技术趋势,构建起"前沿课程+智能实训+精准就业"的高效培养体系。
课堂上不光教理论,还带着学员做了十多个真实项目。学员要亲自上手搞数据清洗、模型调优这些硬核操作,把课本知识变成真本事!

如果说你是以下人群中的其中一类,都可以来智泊AI学习人工智能,找到高薪工作,一次小小的“投资”换来的是终身受益!
应届毕业生:无工作经验但想要系统学习AI大模型技术,期待通过实战项目掌握核心技术。
零基础转型:非技术背景但关注AI应用场景,计划通过低代码工具实现“AI+行业”跨界。
业务赋能 突破瓶颈:传统开发者(Java/前端等)学习Transformer架构与LangChain框架,向AI全栈工程师转型。
👉获取方式:
😝有需要的小伙伴,可以保存图片到wx扫描二v码免费领取【保证100%免费】🆓
更多推荐



所有评论(0)