java-springboot花木综合服务平台 基于SpringBoot的园艺花卉电商与知识社区一体化平台 Java技术栈下的绿植租售与养护协同服务系统计算机毕业设计
摘要:本文介绍了一个基于Java-SpringBoot的花木综合服务平台,该系统整合了花卉购买、养护知识、病害咨询和园艺交流等功能。平台采用B/S架构,前端使用Vue实现瀑布流展示和交互界面,后端采用SpringBoot框架,数据库使用MySQL。系统实现了用户注册登录、商品浏览购买、知识分享、论坛交流等核心功能,并包含AI图像识别病虫害、养护日历提醒等特色模块。管理员端提供用户管理、商品管理、订
java-springboot花木综合服务平台a9yh6n13计算机毕业设计(配套有源码 程序 mysql数据库 论文)
本套源码可以在文本联xi,先看具体系统功能演示视频领取,可分享源码参考。
买花、学养花、问病害、找园艺师,传统路径是“花市-回家-度娘-再跑花市”,信息碎片且重复耗时。把“看货、下单、问诊、交流”压缩进同一个浏览器标签,用 SpringBoot+MySQL 搭一座“花木数字市场”,让盆器、基质、病虫图谱、达人经验在同一域名下互通,是这套系统的起点。Vue 把商品页做成“小红书”瀑布流,ECharts 把销量、热度、养护难度画成三色标签,一键即可筛选“南向阳台、新手友好、一周浇一次”的绿植;论坛支持短视频发帖,AI 图像识别自动给出病虫害概率与用药建议。文档给出 14 张核心表、完整 ER 图、可拖拽的后台模板,二次开发像拼乐高。
功能全集在此,不区分角色,所有按钮一并奉上:
-
系统首页:轮播 Banner、秒杀专区、热销榜、养护日历入口、快捷搜索
-
用户中心:头像昵称、密码修改、我的订单、我的地址、我的收藏、我的帖子、我的问答、余额充值
-
注册/登录:手机验证码、微信一键、QQ 互联、邮箱激活、找回密码
-
植物分类:多层级(观叶/观花/多浆/水生)、生长习性标签、图片 ICON、批量导入导出
-
花木商品:图文详情、价格库存、规格参数、配送方式、养护难度星级、评论晒图、视频介绍
-
购物车:加减数量、失效清理、优惠券自动匹配、凑单提示
-
订单管理:提交、支付(余额/微信/支付宝)、发货、确认收货、退款/退货、评价、物流跟踪
-
植物知识:标题、分类、图文、视频、点击数、收藏数、点赞、评论、专家审核
-
知识分类:病害、虫害、繁殖、修剪、换盆、水培、造型,支持多级
-
花木论坛:帖子、短视频、语音、点赞、踩、置顶、加精、@提醒、结贴
-
问答专区:悬赏积分、最佳答案、围观模式、专家认证、语音回答
-
收藏与点赞:商品、知识、帖子、问答一键收藏,点赞影响热度排序
-
公告资讯:平台动态、养护课堂、活动预告、定时上下线、图文混排
-
系统简介/关于我们:富文本、多图轮播、联系方式、后台即时修改
-
文件配置:OSS 切换、轮播图热更新、运费模板、积分规则、敏感词库
-
积分与优惠券:签到、分享、购物、回答得积分,积分抵现,优惠券满减、包邮、指定品类
-
地址簿:家、公司、阳台多地址保存,默认地址自动带入
-
养护日历:购买后自动生成浇水/施肥/换盆提醒,支持短信/微信推送
-
视频点播:养护教程、专家直播、回放、弹幕、打赏
-
图像识别:拍照识花、识病、识虫,返回概率与用药建议,链接商品套餐
-
数据导出:订单、商品、用户、积分明细一键生成 Excel/PDF
-
消息中心:下单成功、发货提醒、问答被采纳、系统公告实时红点
一句话总结:把“买花、学花、问花、晒花”四件小事融进同一套代码,让盆器、知识、专家、同好之间没有信息墙,真正实现“从购物车到阳台”的一站式数字园艺体验。
注:以上是纯课题毕业设计功能介绍,并非实际开发完成,最终开发完成的毕业设计程序以下面的的环境软件、功能图和界面为准。
系统所需要的环境软件:idea、eclipse+mysql5.7、8.0+Navicat+JDK1.8+tomcat7.0
2系统分析
2.1需求分析
需求分析做为手机软件整体规划环节和项目生命周期的关键一部分,应当是“实现什么东西”而不是“实现”[5]。根据开发者对调研分析关键点、作用、特性、稳定性的掌握,将用户的无形要求转换为有形的界定,以便确定系统的运行目标。
2.1.1 系统可行性分析
系统的可行性主要针对以下方面分析:
(1)经济可行性
经济发展的可行性分析要从开发商的经济发展能力和用户必须的成本费2个层面来剖析。为了更好地减少项目成本,系统软件应用Eclipse做为开源版本。数据库查询是开源MySQL数据库和配置好操作系统的电子计算机[6]。而电脑浏览器应用出色的IE、火狐和Google更全方位地展现CSS网页页面,进而推动系统升级维护保养,控制成本。如此看来,处于经济层面的考虑,进行开发没有阻碍。
(2)技术可行性
技术可行性研究通过是否,在于对目前技术和硬件设备的剖析。系统软件开发应用的计算机语种是java。java语言从问世到现在不断强化,已经十分完善。运用覆盖面广,合乎开发必须。应用MySQL数据库作为数据储存,十分具有安全性,对配备规定低。这是一个经常使用的数据库。后台采用Spring Boot框架,就可以进行开发设计,让网页页面看上去又漂亮又大方,还方便维护[7]。最终,开发环境是Eclipse,因为其中包含框架和函数等等,可以立即应用。因此在技术方面是可行的。
(3)操作可行性
本花木综合服务平台选用B/S构造,用户不用安装其他软件就可以轻轻松松掌握和娴熟应用。与此同时,因为系统是基于Web的,可以实现客户端的请求和服务器的端口组件,解决数据库文件的数据并回到结论。为了更好地组建和储存数据,数据库可以确保数据的一致性。一旦对数据开展操作,工作会越来越更简易,工作量也会降低。全部操作都由系统自身操纵。该系统大大减少了有关工作人员的工作量,也更便捷的让工作人员掌握具体操作全过程。既加速了工作效率,又下降了错误率。在操作上是可行的[8]。
2.1.2 功能需求分析
花木综合服务平台是以花木综合服务状况为起点,综合网络空间开发设计要求。目的是将花木综合服务通过网络平台变换为在网上操作,完成花木综合服务的方便快捷、安全性、规范做了保障,目标明确[9]。
这一系统可以分成二种类别的用例实体模型,分别是用户和管理员。这二个角色的作用将在下面详解和叙述。
(1)用户
主要使用者为用户。具备有:首页、花木商品、花木论坛、植物知识、购物车、个人中心 功能。用户用例图如图2-1所示。

图2-1 用户用例图
(2)管理员
进行维护,以及平台的后台管理工作都依靠管理员,其可以对一些信息进行管理。需具备功能有系统系统首页、用户、植物分类、花木商品、花木论坛、系统管理、订单管理、用户信息。管理员用例图如图2-2所示。

图2-2 管理员用例图
2.1.3 非功能需求分析
(1)系统的实用性
花木综合服务平台的开发,要求做到足够的简洁、易用,能为用户提供快捷、便利的使用体验,减少系统的无用功能,以及用户使用上的多余操作[11]。
(2)系统的安全性
花木综合服务平台纪录了至关重要的用户信息等信息,应当具备很高的安全性和经济价值。因此为了更好地保证用户的重要信息不被泄露、破坏和盗取,一定要保证系统的安全性。
(3)系统的稳定性
当一个系统的稳定性没法确保时,用户在应用系统时很容易发生数据操作不正确或网页页面回应不正确等。系统的稳定性对用户对系统的评价有较大的影响,是评价系统的一个主要指标值。因而,为了确保系统的稳定性,开发设计时要挑选稳定性高的操作系统、开发软件、数据库、服务器、以及其他工具。
(4)系统的开放性
要使系统软件对外开放,最先要保证系统具备较好的兼容模式,而且大部分版本的Windows电脑操作系统都能正常的运作。此外,尽可能适用不一样的电脑浏览器版本,同时系统的开放性也体现在系统方便日后的管理和升级。
2.2相关技术介绍
本章主要对开发花木综合服务平台所涉及的技术以及开发所用环境进行介绍说明,对包括java语言,Spring Boot框架和开发用到的软件和数据库等环境进行介绍说明。
2.2.1 Spring Boot框架介绍
Spring Boot的开发团队来自美国的Pivotal公司,是2013年研发的免费、轻量级、开源的系统框架。它集合、默认了许多框架的使用方法,是基于原有的框架的功能的又一次进化,所以从这个角度看,它就又是一个旧的框架。
Spring boot有以下几个特点:低嵌入式设计,代码污染性低;不是只局限于Spring,开发者可以随意的选择Spring框架的任意几个部分;使程序的测试变得更加简单与方便;没有独立的Web服务器需要,所以不再需要启动Tomcat,Glass Fish。
2.2.2 Java语言介绍
Java语言正式诞生于1995年,是由SUN公司开发研制的OAK语言发展而来的。Java语言继承了OAK语言可跨平台运行的特点,融合了面向对象编程的风格,JAVA以其独有的开放性、跨平台性和面向网络的交互性席卷全球,以其安全性、易用性和开发周期短的特点,迅速从最初的编程语言发展成为全球第一大软件开发平台.广受时下程序开发人员的好评。后来又为了丰富Java语言的用途,提高生产力,将它进行设计和改造,以满足更多地开发和应用场景。经过改造后,它可以满足移动端开发,桌面应用开发和企业级应用开发。Java语言还为用户提供了丰富的类库,在掌握它的特性后,学习特定的工具包,就可以满足很多场景的开发。现在来看,Java语言在这三种平台的应用开发中,都占据了举足轻重的地位。
与其他语言相比,Java语言具有很多的优点,Java语言简单比较容易理解,有c语言的基础很容易就可以学会,中文和英文的学习资源也比较多,而且Java语言经过许多年的沉淀发展,逐渐演变出很多成熟的框架技术。还可以封装自己的框架,让开发变得简单。它还具有跨平台性较其他语言这一个最大的优势,这意味着它只需要一次编译就可以运行在其他平台上。
2.2.3 B/S架构
B/S的系统是通过能上网的电脑就可以使用,它最大的优点是不需要安装专门的软件,首先浏览器向服务器发出请求,然后服务器处理请求把信息再返回给浏览器。不需要再次对数据进行存取与计算数据,只要负责显示数据来降低要求,如果说客户端像个“瘦子”,而服务器会越来越“胖”。B/S体系结构与C/S体系结构相比,最大的不同是:B/S体系的应用软件使用网络浏览器作为与用户交互的平台,而C/S则需要开发专用的应用程序。

图2-3B/S结构图
2.2.4 MySQL 数据库介绍
在软件项目,通过经营性数据的数据库,可以保证其安全,独立和数据一致,访问数据的系统来提供,所以有效减少时间程序员开发应用程序。
MySQL可以支持多线程,可以方便使用系统的资源,提高运行的速度。并提供odbc、jdbc和tcp/ ip,以各种形式连接到MySQL; 功能方面表现欠缺,规模小,但对于这个系统就足够了。
因为MySQL是源代码对外开放的,所以任何人都可以通过相应的方法下载,并根据个性化需求进行修改。 由于MySQL的速度,可靠性和适应性,MySQL受到重视。
MySQL虽然功能可能不是很强大,但由于其开源,广泛传播,导致很多人都意识到这个数据库。
3 系统设计
此章主要是详细介绍花木综合服务平台软件整体架构功能的设计与实现。
3.1 系统设计目标
花木综合服务平台的开发采用模块化软件结构设计,通过模块划分,可以让整个系统开发设计变得更加简洁,结构清晰,让程序的可读性和维护性更高,也方便开发人员对开发期间的组织管理工作,模块化就是指叙述I/O、逻辑性功能、内部结构条件和环境因素的表述。一般系统的一个子模块只实行一个功能,模块中间应当有良好的结构分析。下一层模块在顶层模块的启用下进行功能,后边的模块被逐渐启用,互相配合程序流程的每个子功能。在设计时应保持模块独立化原则,所以一个软件应该由一组相互独立的子模块构成,并保证模块间接口开发简单。
3.2 系统结构图
由需求分析阶段结果和综合分析,实质上,花木综合服务平台是一个开发难度比较高的系统,因为系统相对复杂,涉及功能多,且有一定的综合性,所以需要做到对现有软硬件的合理应用、系统软件层面做好科学合理的规划设计。构建一个完善的花木综合服务平台软件,包含前台展示网页页面、处理程序、后台管理有关的MySQL数据库系统等。
因此,花木综合服务平台按照功能由二部分构成的,二部份是用户和管理员。主要功能有系统系统首页、用户、植物分类、花木商品、花木论坛、系统管理、订单管理、用户信息等。系统软件用户与管理员的功能模块图如下图3-1所显示。

图3-1 系统用户与管理员的功能结构图
3.3 系统数据库设计
为了更好地便捷日后的信息维护保养和信息升级,提升系统软件数据信息浏览的高效率。设计方案一个健全的数据库是必需的。数据库设计方案系统对有较大的影响,好的设计可以做到缩短数据操作的所需时间,带来更大的流量,同时在进行开发时,数据库设计的越优秀,越合理,开发所需要编写的代码就越简洁,越能使数据的储存效率提高,让数据的一致性和完整性可以得到保证。
3.3.1 数据库概念设计
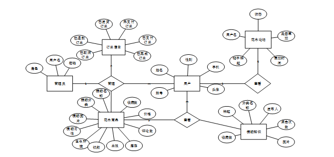
概念模型用于对信息世界进行建模,单独于指定的数据库管理系统。便于将现实世界中的实际事情抽象地构成数据库管理系统适用的数据库模型。大家趋向于先把现实世界抽象化成信息世界,再把信息世界变为机器世界[12]。换句话说,最先将现实世界中的目标抽象化为自主于特殊计算机软件和特殊数据库管理系统的信息构造,而是一个数据模型,随后在电子计算机上把该实体模型变换为数据库管理系统适用的数据库系统。实际上,数据模型是以现实世界到机器世界的正中间层级。
信息世界的基本要素包含实体和关联。
(1)实体(entity)
实体(entity) 客观存在并可相互区别的事物称为实体[13]。实体可以是实际的人、事或物,还可以是抽象化的概念或联络。
(2)联系(relationship)
我们可以把现实世界中相应的事情当作有关的实体,随后叙述现实世界中的信息。实体内部结构的特性连接造成实体中间的连接。实体间的连接可以有三种:一对一(1: 1),一对多(1: n),多对多(m: n)。信息世界用概念模型来进行建模,所以信息世界中共有的概念可以由概念模型准确的方便的表达出来[14]。表达概念的方法不仅一种,E-R图是最经常使用的一种。现实世界的概念模型可以用E-R图来叙述,称之为实体-关系模型,通称E-R
实体模型。
根据系统分析,以下是对各个实体属性的具体图形说明。
用户信息实体E-R图如下图3-2所示。

图3-2 用户信息实体E-R图
花木论坛实体E-R图如下图3-3所示。

图3-3 花木论坛实体E-R图
植物知识实体E-R图如下图3-4所示。

图3-4植物知识实体E-R图
花木商品实体E-R图如下图3-5所示。

图3-5花木商品实体E-R图
花木综合服务平台总体E-R图如下图3-5所示。

图3-5花木综合服务平台总体E-R图
4 系统实现
本章内容主要是对实现的模块进行说明,因为模块过多,仅对用户和管理员部分模块进行说明,结合图片介绍了模块的实现过程。
4.1前台用户功能模块
网站首页页面主要包括首页、花木商品、花木论坛、植物知识、购物车、个人中心等内容,并根据需要进行详细操作;如图4-1所示:

图4-1网站首页界面图
在注册流程中,用户在Vue前端填写必要信息(如账号、密码等)并提交。前端将这些信息通过HTTP请求发送到Java后端。后端处理这些信息,检查用户名是否唯一,并将新用户数据存入MySQL数据库。完成后,后端向前端发送注册成功的确认,前端随后通知用户完成注册。这个过程实现了新用户的数据收集、验证和存储。如图4-2所示。

图4-2用户注册界面图
以下是注册的关键代码:
<script>
export default {
data() {
return {
ruleForm: {
},
pageFlag : '',
tableName:"",
rules: {},
};
},
mounted(){
this.pageFlag = this.$storage.get("pageFlag");
let table = this.$storage.get("loginTable");
this.tableName = table;
},
created() {
},
destroyed() {
},
methods: {
// 获取uuid
getUUID () {
return new Date().getTime();
},
close(){
this.$router.push({ path: "/login" });
},
yonghutouxiangUploadChange(fileUrls) {
this.ruleForm.touxiang = fileUrls;
},
// 多级联动参数
// 注册
login() {
var url=this.tableName+"/register";
if((!this.ruleForm.yonghuzhanghao) && `yonghu` == this.tableName){
this.$message.error(`用户账号不能为空`);
return
}
if((!this.ruleForm.yonghuxingming) && `yonghu` == this.tableName){
this.$message.error(`用户姓名不能为空`);
return
}
if((!this.ruleForm.mima) && `yonghu` == this.tableName){
this.$message.error(`密码不能为空`);
在登录流程中,用户首先在Vue前端界面输入账号和密码。这些信息通过HTTP请求发送到Java后端。后端接收请求,通过与MySQL数据库交互验证用户凭证。如果认证成功,后端会返回给前端,允许用户访问系统。这个过程涵盖了从用户输入到系统验证和响应的全过程。如图4-3所示。

图4-3用户登录界面图
以下是登录的关键代码:
mounted() {
let menus = menu.list();
this.menus = menus;
for (let i = 0; i < this.menus.length; i++) {
if (this.menus[i].hasBackLogin=='是') {
this.roles.push(this.menus[i])
}
}
},
created() {
this.getRandCode()
},
destroyed() {
},
components: {
},
methods: {
//注册
register(tableName){
this.$storage.set("loginTable", tableName);
this.$storage.set("pageFlag", "register");
this.$router.push({path:'/register'})
},
// 登陆
login() {
if (!this.rulesForm.username) {
this.$message.error("请输入用户名");
return;
}
if (!this.rulesForm.password) {
this.$message.error("请输入密码");
return;
}
if(this.roles.length>1) {
if (!this.rulesForm.role) {
this.$message.error("请选择角色");
return;
}
let menus = this.menus;
for (let i = 0; i < menus.length; i++) {
if (menus[i].roleName == this.rulesForm.role) {
this.tableName = menus[i].tableName;
}
用户点击花木商品,在花木商品页面的搜索栏输入植物名称、价格 ,进行查询,也可以查看植物名称、植物分类、植物图片、植物习性、生长环境、视频、单限、库存、评论数、价格、收藏数等内容,如有需要可立即购买添加到购物车或收藏、评论等操作如图4-4所示。

图4-4花木商品面图
用户点击植物知识,在植物知识页面可以查看标题、分类名称、发布人、点击次数、收藏数、图片等,还可以点击收藏或者点赞操作;如图4-5所示。

图4-5植物知识界面图
用户点击个人中心,在个人中心页面可以修改个人信息然后可以对修改密码、我的发布、我的订单、我的地址、我的收藏进行详细操作,如图4-6所示。

图4-6个人中心界面图
4.2 后台管理员功能模块
管理员登录,通过登录页面输入用户名、密码等信息,进行登录操作,如图4-7所示。

图4-7管理员登录界面图
管理员登录进入花木综合服务平台可以对系统首页、用户、植物分类、花木商品、花木论坛、系统管理、订单管理、用户信息等信息,进行相应操作,如图4-8所示。

图4-8管理员功能界面图
用户信息功能在视图层(view层)进行交互,比如点击“添加”按钮或填写用户信息表单。这些用户信息动作被视图层捕获并作为请求发送给相应的控制器层(control1er层)。控制器接收到这些请求后,调用服务层(service层)以执行相关的业务逻辑,例如验证输入数据的有效性和与数据库的交互。服务层处理完这些逻辑后,进一步与数据访问对象层(DAO层)交互,后者负责具体的数据操作如搜索、添加、更新或删除用户信息,并将操作结果返回给控制器。最终,控制器根据这些结果更新视图层,以便用户信息功能可以看到最新的信息或相应的操作反馈。在用户信息页面的输入栏中输入姓名、性别进行搜索,可以查看到用户详细信息,并根据需要进行查看、修改或者删除等操作。如图4-9所示。

图4-9用户界面图
植物分类功能在视图层(view层)进行交互,比如点击“添加”按钮或填写植物分类信息表单。这些植物分类动作被视图层捕获并作为请求发送给相应的控制器层(control1er层)。控制器接收到这些请求后,调用服务层(service层)以执行相关的业务逻辑,例如验证输入数据的有效性和与数据库的交互。服务层处理完这些逻辑后,进一步与数据访问对象层(DAO层)交互,后者负责具体的数据操作如搜索、添加、更新或删除植物分类,并将操作结果返回给控制器。最终,控制器根据这些结果更新视图层,以便植物分类功能可以看到最新的信息或相应的操作反馈。在植物分类页面的输入栏中输入植物分类进行搜索,可以查看到植物分类详细信息,并根据需要进行查看、修改或者删除等操作。如图4-10所示。

图4-10植物分类面图
管理员点击花木商品:在花木商品页面中对植物名称、植物分类、植物图片、植物习性、生长环境、视频、单限、库存、评论数、价格、收藏数等内容,进行搜索、添加或者删除花木商品信息等操作,如图4-11所示。

图4-11花木商品界面图
管理员点击花木论坛:在花木论坛页面中对帖子标题、用户名、状态、是否置顶、置顶时间等内容,进行搜索、添加或者删除花木论坛等操作,如图4-12所示。

图4-12花木论坛界面图
管理员点击系统管理:在系统管理页面中对植物知识、植物知识分类、轮播图管理等模块内容,进行搜索、添加或者删除系统信息等操作,如图4-13所示。

图4-13系统管理界面图
管理员点击植物知识:在植物知识页面中对标题、分类名称、发布人、点击次数、收藏数、图片等内容,进行搜索、添加或者删除植物知识等操作,如图4-14所示。

图4-14植物知识界面图
管理员点击订单管理:在订单管理页面中对已取消订单、已退款订单、已发货订单、未支付订单、已支付订单、已完成订单等模块内容,进行搜索或者删除订单信息等操作,如图4-15所示。

图4-15订单管理界面图
源码无偿分享,文未领取
更多推荐



所有评论(0)