Linux在windows上的安装和基本语法的使用
举例: tail /etc/profile显示/etc目录下的profile文件末尾10行的内容 tail -20 /etc/profile显示/etc目录下的profile文件末尾20行的内容 tail -f /itcast/my.log动态读取/itcast目录下的my.log文件末尾内容并显示(独占命令终端)(不保存退出)、set nu(显示行号)cp -r itcast/ ./itheim
1>Linux的安装(虚拟机)

此后挂载镜像
打开VMware
设置网络 选择-编辑-虚拟网络编辑器
镜像去官网下载并且解压在一个目录下后续使用VMware工具打开即可
网卡设置
安装SSH连接工具(final shell)
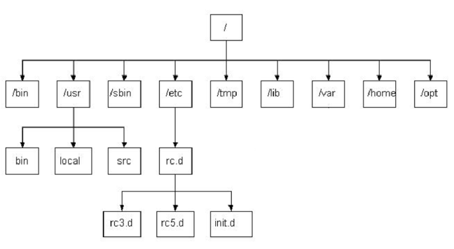
linux目录介绍

bin 存放二进制可执行文件
boot 存放系统引导时使用的各种文件
dev 存放设备文件
etc 存放系统配置文件
home 存放系统用户的文件
lib 存放程序运行所需的共享库和内核模块
opt 额外安装的可选应用程序包所放置的位置
root 超级用户目录
sbin 存放二进制可执行文件,只有root用户才能访问
tmp 存放临时文件
usr 存放系统应用程序
var 存放运行时需要改变数据的文件,例如日志文件
linux常用命令


文件目录操作:ls
作用:显示指定目录下的内容
语法:ls [-al] [dir]
说明: -a 显示所有文件及目录 (. 开头的隐藏文件也会列出) -l 除文件名称外,同时将文件型态(d表示目录,-表示文件)、权限、拥有者、文件大小等信息详细列出
注意: 由于我们使用ls命令时经常需要加入-l选项,所以Linux为ls -l命令提供了一种简写方式,即ll
文件目录操作:cd
作用:用于切换当前工作目录,即进入指定目录
语法:cd [dirName]
特殊说明: ~表示用户的home目录 . 表示目前所在的目录 .. 表示目前目录位置的上级目录
举例: cd .. 切换到当前目录的上级目录 cd ~ 切换到用户的home目录 cd /usr/local 切换到/usr/local目录
文件目录操作:cat
作用:用于显示文件内容
语法: cat [-n] fileName
说明: -n :由1开始对所有输出的行数编号
举例: cat /etc/profile 查看/etc目录下的profile文件内容
文件目录操作:more
作用:以分页的形式显示文件内容
语法: more fileName
操作说明: 回车键 向下滚动一行 空格键 向下滚动一屏 b 返回上一屏 q或者Ctrl+C 退出more
举例: more /etc/profile 以分页方式显示/etc目录下的profile文件内容
文件目录操作:tail
作用:查看文件末尾的内容
语法:tail [-f] fileName
说明: -f :动态读取文件末尾内容并显示,通常用于日志文件的内容输出
举例: tail /etc/profile 显示/etc目录下的profile文件末尾10行的内容 tail -20 /etc/profile 显示/etc目录下的profile文件末尾20行的内容 tail -f /itcast/my.log 动态读取/itcast目录下的my.log文件末尾内容并显示(独占命令终端)
文件目录操作:mkdir
作用:创建目录
语法:mkdir [-p] dirName
说明: -p:确保目录名称存在,不存在的就创建一个。通过此选项,可以实现多层目录同时创建
举例: mkdir itcast 在当前目录下,建立一个名为itcast的子目录 mkdir -p itcast/test 在工作目录下的itcast目录中建立一个名为test的子目录,若itcast目录不存在,则建立一个
文件目录操作:rmdir
作用:删除空目录
语法:rmdir [-p] dirName
说明: -p:当子目录被删除后使父目录为空目录的话,则一并删除
举例: rmdir itcast 删除名为itcast的空目录 rmdir -p itcast/test 删除itcast目录中名为test的子目录,若test目录删除后itcast目录变为空目录,则也被删除 rmdir itcast* 删除名称以itcast开始的空目录
文件目录操作:rm
作用:删除文件或者目录
语法:rm [-rf] name
说明: -r:将目录及目录中所有文件(目录)逐一删除,即递归删除 -f:无需确认,直接删除
举例: rm -r itcast/ 删除名为itcast的目录和目录中所有文件,删除前需确认 rm -rf itcast/ 无需确认,直接删除名为itcast的目录和目录中所有文件 rm -f hello.txt 无需确认,直接删除hello.txt文件
拷贝移动命令:cp
作用:用于复制文件或目录
语法:cp [-r] source dest
说明: -r:如果复制的是目录需要使用此选项,此时将复制该目录下所有的子目录和文件
举例: cp hello.txt itcast/ 将hello.txt复制到itcast目录中
cp hello.txt ./hi.txt 将hello.txt复制到当前目录,并改名为hi.txt
cp -r itcast/ ./itheima/ 将itcast目录和目录下所有文件复制到itheima目录下
cp -r itcast/* ./itheima/ 将itcast目录下所有文件复制到itheima目录下
拷贝移动命令:mv
作用:为文件或目录改名、或将文件或目录移动到其它位置
语法:mv source dest
举例: mv hello.txt hi.txt 将hello.txt改名为hi.txt
mv hi.txt itheima/ 将文件hi.txt移动到itheima目录中
mv hi.txt itheima/hello.txt 将hi.txt移动到itheima目录中,并改名为hello.txt
mv itcast/ itheima/ 如果itheima目录不存在,将itcast目录改名为itheima
mv itcast/ itheima/ 如果itheima目录存在,将itcast目录移动到itheima目录中
打包压缩命令:tar
作用:对文件进行打包、解包、压缩、解压
语法:tar [-zcxvf] fileName [files]
包文件后缀为.tar表示只是完成了打包,并没有压缩
包文件后缀为.tar.gz表示打包的同时还进行了压缩
说明: -z:z代表的是gzip,通过gzip命令处理文件,gzip可以对文件压缩或者解压
-c:c代表的是create,即创建新的包文件
-x:x代表的是extract,实现从包文件中还原文件
-v:v代表的是verbose,显示命令的执行过程
-f:f代表的是file,用于指定包文件的名称
文本编辑命令:vi/vim
作用:对文件内容进行编辑,vim其实就是一个文本编辑器
语法:vim fileName
说明: 1、在使用vim命令编辑文件时,如果指定的文件存在则直接打开此文件。如果指定的文件不存在则新建文件。
2、vim在进行文本编辑时共分为三种模式,分别是命令模式(Command mode),插入模式(Insert mode)和底行模式(Last line mode)。这三种模式之间可以相互切换。我们在使用vim时一定要注意我们当前所处的是哪种模式。
针对vim中的三种模式说明如下:
1、命令模式
命令模式下可以查看文件内容、移动光标(上下左右箭头、gg、G) 通过vim命令打开文件后,默认进入命令模式 另外两种模式需要首先进入命令模式,才能进入彼此
2、插入模式
插入模式下可以对文件内容进行编辑 在命令模式下按下[i,a,o]任意一个,可以进入插入模式。进入插入模式后,下方会出现【insert】字样 在插入模式下按下ESC键,回到命令模式
3、底行模式
底行模式下可以通过命令对文件内容进行查找、显示行号、退出等操作 在命令模式下按下[:,/]任意一个,可以进入底行模式 通过/方式进入底行模式后,可以对文件内容进行查找 通过:方式进入底行模式后,可以输入wq(保存并退出)、q!(不保存退出)、set nu(显示行号)
查找命令:find
作用:在指定目录下查找文件
语法:find dirName -option fileName
举例: find . –name “*.java” 在当前目录及其子目录下查找.java结尾文件
find /itcast -name “*.java” 在/itcast目录及其子目录下查找.java结尾的文件
查找命令:grep
作用:从指定文件中查找指定的文本内容
语法:grep word fileName
举例: grep Hello HelloWorld.java 查找HelloWorld.java文件中出现的Hello字符串的位置
grep hello *.java 查找当前目录中所有.java结尾的文件中包含hello字符串的位置
更多推荐


所有评论(0)