马尔可夫模型(Markov)
1 确定性系统和不确定性系统对于一个确定性系统,多个状态构成了一个状态序列,每一个状态之间的关系都是确定的,根据当前状态,就可以确定下一个状态。比如红绿灯的变化状态。与确定性系统相对应的是不确定系统,例如,每天的天气状态变化就是一个不确定性系统,根据当前的刮风天气,我们无从得知下一刻的天气是刮风还是打雷还是下雨。这就引出了我们的马尔可夫过程。2 马尔可夫过程在上面的天气系统中,有刮风,下雨,阴天三
·
1 确定性系统和不确定性系统
对于一个确定性系统,多个状态构成了一个状态序列,每一个状态之间的关系都是确定的,根据当前状态,就可以确定下一个状态。比如红绿灯的变化状态。

与确定性系统相对应的是不确定系统,例如,每天的天气状态变化就是一个不确定性系统,根据当前的刮风天气,我们无从得知下一刻的天气是刮风还是打雷还是下雨。这就引出了我们的马尔可夫过程。
2 马尔可夫过程
在上面的天气系统中,有刮风,下雨,阴天三种状态,我们希望找到这个简单系统的天气变化的一定规律,为了简化问题,常常做出以下假设:
马尔科夫假设:模型的当前状态仅仅依赖前几个状态
这个假设极大的简化了系统,但是也使得系统的一些信息发生丢失。
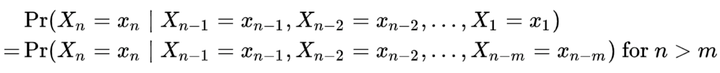
进一步就得到了m阶马尔可夫模型:
状态间的转移仅依赖于前m个状态的过程,该过程就是m阶马尔可夫模型

如果该状态仅仅依赖于前一个状态,这就是最简单的一阶马尔可夫模型:
更多推荐


所有评论(0)