逻辑回归(Logistic Regression)
逻辑回归(Logistic Regression)虽然被称为回归,但其实际上是分类模型,并常用于二分类。逻辑回归与线性回归本质上是类似的,相较线性回归只是多了一个Logistic函数(或称为Sigmoid函数)。moreimport numpy as np import matplotlib . pyplot as plt # sigmod函数,即得分函数,计算数据的概率是0还是1;得到y大于等于
文章目录
1. 逻辑回归简介
逻辑回归(Logistic Regression)虽然被称为回归,但其实际上是分类模型,并常用于二分类。逻辑回归与线性回归本质上是类似的,相较线性回归只是多了一个Logistic函数(或称为Sigmoid函数)。
1.1 分类和回归
分类和回归是机器学习可以解决的两大主要问题,从预测值的类型上看,连续变量预测的定量输出称为回归;离散变量预测的定性输出称为分类。例如:预测明天多少度,是一个回归任务;预测明天阴还是晴,就是一个分类任务。
1.2 逻辑回归
Logistic Regression原理与Linear Regression回归类似,其主要流程如下:
(1)构建预测函数。一般来说在构建之前,需要根据数据来确定函数模型,是线性还是非线性。
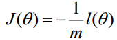
(2)构建Cost函数(损失函数)。该函数表示预测的输出(h)与训练数据类别(y)之间的偏差,可以是二者之间的差(h-y)或者是其他的形式。综合考虑所有训练数据的“损失”,将Cost求和或者求平均,记为J(θ)函数,表示所有训练数据预测值与实际类别的偏差。
(3)采用梯度下降算法,minJ(θ)。在数据量很大时,梯度下降算法执行起来会较慢。因此出现了随机梯度下降等算法进行优化。
2. 逻辑回归原理
2.1 构造预测函数
在线性回归中模型中预测函数为:

逻辑回归作为分类问题,结果h = {1 or 0}即可。若逻辑回归采用线性回归预测函数则会产生远大于1或远小于0得值,不便于预测。因此线性回归预测函数需要做一定改进。设想如果有一个函数h(x)能够把预测结果值压缩到0-1这个区间,那么我们就可以设定一个阈值s,若h(x) >= s,则认定为预测结果为1,否之为0。
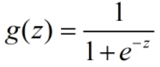
实际中也存在这样的函数:Logistic函数(或称为Sigmoid函数),函数表达式为:

其图像如下图所示:

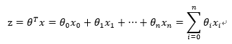
对于线性边界的情况,边界形式如下:

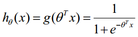
构造预测函数为:

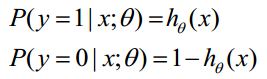
函数hθ(x)的值有特殊的含义,它表示结果取1的概率,因此对于输入x分类结果为类别1和类别0的概率分别为如下公式所示,暂将其命名为公式 (1):

2.2 构造损失函数 J
Cost函数和J函数如下,它们是基于最大似然估计推导得到的:


下面详细说明推导的过程:
2.1节公式(1) 综合起来可以写成:

取似然函数为:

对数似然函数为:

最大似然估计就是求使l(θ)取最大值时的θ,其实这里可以使用梯度上升法求解,求得的θ就是要求的最佳参数。但是,在Andrew Ng的课程中将取为下式,即:

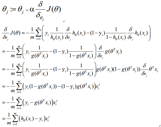
2.3 梯度下降法求J(θ)的最小值
θ更新过程如下:

经化简后θ的最终更新过程可以写成:

另外,可以通过向量化,即使用矩阵计算来代替for循环,以简化计算过程,提高效率;可以通过正则化解决过拟合问题(过拟合即过分拟合了训练数据,使得模型的复杂度提高,泛化能力较差(对未知数据的预测能力))。
3. 逻辑回归特点
优点:
(1)简单实现,模型的可解释性很好。
(2)训练速度快。计算的量只和特征的数目有关,不需要缩放输入特征等等。
(3)资源占用小。因为只需要存储各个维度的特征值。
缺点:
(1)准确率不是很高,就是因为模型(非常类似线性模型),很难拟合数据的真实分布,容易导致过拟合。
(2)难处理数据不平衡的问题。
(3)逻辑回归本身无法解决非线性问题,因为它的决策边界是线性的。
(4)高度依赖正确的数据表示。
4. 逻辑回归的应用场景
当Y变量只有两个值时,当面临分类问题时,可以考虑使用逻辑回归。
逻辑回归也用于多分类别分类。有很多种多分类算法,如随机森林分类器或者朴素贝叶斯分类器等等。逻辑回归也可以用于多分类任务。可以通过一些技巧,分两种策略:
一对多策略:基本思想是将第i种类型的所有样本作为正例,将剩下的所有样本作为负例。进行训练得出一个分类器。这样,我们就得到N个分类器。预测的时候,将样本给N个分类器,获得N个结果,选择其中概率值最大的那个作为结果。
一对一策略:这种策略,假设有N个类别,不同的类别之间,训练一个分类器,训练得到的结果有 C N 2 C_N^2 CN2种不同的分类器。预测的时候,将样本给所有的分类器,会有N(N-1)个结果,最终结果通过“投票”产生。
5. 逻辑回归的Python应用
5.1 自定义函数实现逻辑回归
可以自定义sigmod函数、损失函数、梯度下降等实现逻辑回归,如下代码所示:
import numpy as np
import matplotlib.pyplot as plt
# sigmod函数,即得分函数,计算数据的概率是0还是1;得到y大于等于0.5是1,y小于等于0.5为0。
def sigmod(x):
return 1 / (1 + np.exp(-x))
# 损失函数
# hx是概率估计值,是sigmod(x)得来的值,y是样本真值
def cost(hx, y):
return -y * np.log(hx) - (1 - y) * np.log(1 - hx)
# 梯度下降
def gradient(current_para, x, y, learning_rate):
m = len(y)
matrix_gradient = np.zeros(len(x[0]))
for i in range(m):
current_x = x[i]
current_y = y[i]
current_x = np.asarray(current_x)
matrix_gradient += (sigmod(np.dot(current_para, current_x)) - current_y) * current_x
new_para = current_para - learning_rate * matrix_gradient
return new_para
# 误差计算
def error(para, x, y):
total = len(y)
error_num = 0
for i in range(total):
current_x = x[i]
current_y = y[i]
hx = sigmod(np.dot(para, current_x)) # LR算法
if cost(hx, current_y) > 0.5: # 进一步计算损失
error_num += 1
return error_num / total
# 训练
def train(initial_para, x, y, learning_rate, num_iter):
dataMat = np.asarray(x)
labelMat = np.asarray(y)
para = initial_para
for i in range(num_iter + 1):
para = gradient(para, dataMat, labelMat, learning_rate) # 梯度下降法
if i % 100 == 0:
err = error(para, dataMat, labelMat)
print("iter:" + str(i) + " ; error:" + str(err))
return para
# 数据集加载
def load_dataset():
dataMat = []
labelMat = []
with open("logistic_regression_binary.csv", "r+") as file_object:
lines = file_object.readlines()
for line in lines:
line_array = line.strip().split()
dataMat.append([1.0, float(line_array[0]), float(line_array[1])]) # 数据
labelMat.append(int(line_array[2])) # 标签
return dataMat, labelMat
# 绘制图形
def plotBestFit(wei, data, label):
if type(wei).__name__ == 'ndarray':
weights = wei
else:
weights = wei.getA()
fig = plt.figure(0)
ax = fig.add_subplot(111)
xxx = np.arange(-3, 3, 0.1)
yyy = - weights[0] / weights[2] - weights[1] / weights[2] * xxx
ax.plot(xxx, yyy)
cord1 = []
cord0 = []
for i in range(len(label)):
if label[i] == 1:
cord1.append(data[i][1:3])
else:
cord0.append(data[i][1:3])
cord1 = np.array(cord1)
cord0 = np.array(cord0)
ax.scatter(cord1[:, 0], cord1[:, 1], c='g')
ax.scatter(cord0[:, 0], cord0[:, 1], c='r')
plt.show()
def logistic_regression():
x, y = load_dataset()
n = len(x[0])
initial_para = np.ones(n)
learning_rate = 0.001
num_iter = 1000
print("初始参数:", initial_para)
para = train(initial_para, x, y, learning_rate, num_iter)
print("训练所得参数:", para)
plotBestFit(para, x, y)
if __name__=="__main__":
logistic_regression()
5.2 sklearn库LogisticRegression函数的应用
另外,可以通过sklearn库的逻辑回归函数来训练模型并预测,其函数原型如下:
LogisticRegression(C=1.0,class_weight=None,dual=False,fit_intercept=True,intercept_scaling=1,max_iter=100,multi_class='ovr',n_jobs=1,penalty='l2',random_state=None,solver='liblinear',tol=0.0001,verbose=0,warm_start=False)
参数说明:
C:正则化系数λ的倒数,默认为1.0。
class_weight:用于标示分类模型中各种类型的权重,不考虑权重,即为None。
dual:对偶或原始方法,bool类型,默认为False。
fit_intercept:是否存在截距或偏差,bool类型,默认为True。
intercept_scaling:仅在正则化项为”liblinear”,且fit_intercept设置为True时有用,float类型,默认为1。
max_iter:算法收敛最大迭代次数,int类型,默认为10,仅在正则化优化算法为newton-cg, sag和lbfgs才有用。
multi_class:分类方式选择参数,str类型,可选参数为ovr和multinomial,默认为ovr。
n_jobs:并行数,int类型,默认为1。
penalty:用于指定惩罚项中使用的规范,str类型,可选参数为l1和l2,默认为l2。
random_state:随机数种子,int类型,可选参数,默认为无。
solver:优化算法选择参数,决定了我们对逻辑回归损失函数的优化方法。有五个可选参数,即newtoncg,lbfgs,liblinear,sag,saga。对于小型数据集来说,‘liblinear’是一个不错的选择,而‘sag’和‘saga’对于大型数据集则更快。
tol:停止求解的标准,float类型,默认为1e-4。
verbose:日志冗长度,int类型,默认为0。
warm_start:热启动参数,bool类型,默认为False。
下面以通过泰坦尼克号数据集预测乘客生还情况为例,说明上述函数的使用:
from sklearn.model_selection import train_test_split
# 建立模型用的训练数据集和验证数据集
train_X, test_X, train_y, test_y = train_test_split(source_X , source_y, train_size=.8)
# 导入算法
from sklearn.linear_model import LogisticRegression
# 创建模型:逻辑回归(logisic regression)
model = LogisticRegression()
# 训练模型
model.fit( train_X , train_y )
LogisticRegression(C=1.0, class_weight=None, dual=False, fit_intercept=True,
intercept_scaling=1, max_iter=100, multi_class='ovr', n_jobs=1,
penalty='l2', random_state=None, solver='liblinear', tol=0.0001,
verbose=0, warm_start=False)
# 评估模型
# 分类问题,score得到的是模型的正确率
model.score(test_X , test_y )
# k折交叉验证
from sklearn import model_selection
# 将训练集分成5份,4份用来训练模型,1份用来预测,这样就可以用不同的训练集在一个模型中训练
print(model_selection.cross_val_score(model, source_X, source_y, cv=5))
# 结果预测
pred_Y = model.predict(pred_X)
# 生成的预测值是浮点数(0.0,1,0),所以要对数据类型进行转换
pred_Y=pred_Y.astype(int)
# 乘客id
passenger_id = full.loc[sourceRow:,'PassengerId']
# 数据框:乘客id,预测生存情况的值
predDf = pd.DataFrame(
{ 'PassengerId': passenger_id ,
'Survived': pred_Y } )
predDf.shape
print(predDf.head())
# 保存结果
predDf.to_csv('titanic_pred.csv', index = False )
6. 源码仓库地址
更多推荐



所有评论(0)