数学 - 傅里叶变换 - 简单说说傅里叶变换
傅里叶变换在信号处理、图像处理、音频处理等领域都有广泛的应用。通过傅里叶变换,可以方便地分析信号的频率成分、滤波、频域平滑、频域卷积等操作。在音频处理中,傅里叶变换可以用于分析音频的频率成分,从而进行各种滤波、音频特征提取等操作。这个变换的原理是,任何周期信号都可以表示为一系列不同频率和振幅的正弦波的叠加。傅里叶变换可以将一个复杂的非周期信号分解成一组正弦波的组合,这些正弦波的频率、振幅和相位是可
·
傅里叶变换是一种数学工具,它可以将一个复杂的信号分解成若干个正弦波(或余弦波)的组合。这个变换的原理是,任何周期信号都可以表示为一系列不同频率和振幅的正弦波的叠加。傅里叶变换可以将一个复杂的非周期信号分解成一组正弦波的组合,这些正弦波的频率、振幅和相位是可以通过变换计算出来的。
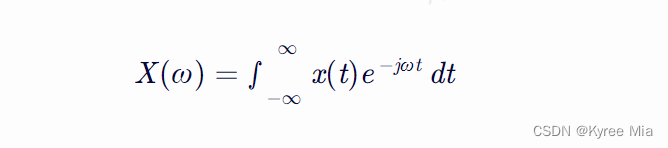
傅里叶变换可以用以下公式表示:

其中,x(t)是原始信号,ω是频率,j是虚数单位,X(ω)是傅里叶变换后的频谱。这个公式表示将原始信号x(t)乘以一个复指数函数e
−jωt
,然后对时间积分得到傅里叶变换的结果X(ω)。
傅里叶变换有一些重要的性质:
- 连续性:傅里叶变换的结果是一个连续函数,即对于任何给定的频率ω,都有一个对应的振幅和相位。
- 周期性:傅里叶变换的结果是一个周期函数,其周期为原始信号的周期。
- 对称性:如果原始信号是对称的,则其傅里叶变换是对称的。
- 唯一性:如果两个信号的傅里叶变换相等,则这两个信号相等(在连续情况下)或几乎相等(在离散情况下)。
傅里叶变换在信号处理、图像处理、音频处理等领域都有广泛的应用。通过傅里叶变换,可以方便地分析信号的频率成分、滤波、频域平滑、频域卷积等操作。在图像处理中,傅里叶变换可以用于将图像从空间域转换到频域,从而进行各种滤波、增强、压缩等操作。在音频处理中,傅里叶变换可以用于分析音频的频率成分,从而进行各种滤波、音频特征提取等操作。
更多推荐



所有评论(0)