VAE:变分自编码器的理解与实现
VAE理解与实现文章目录VAE理解与实现1. 理解VAE2. 模型实现3. 代码4. 总结1. 理解VAEVAE是一类生成模型,其假设在低维空间(维度k,k<d)中存在一个关于输入X(维度d)的真实概率分布:pgt(x)p_{gt}(x)pgt(x)。现考虑一个与X相关的潜在变量z(维度d),z的分布为p(z)p(z)p(z),通常也称之为先验分布(通常为正态分布),因此可重写概率分布pg
VAE理解与实现
1. 理解VAE
VAE是一类生成模型,其假设在低维空间(维度k,k<d)中存在一个关于输入X(维度d)的真实概率分布: p g t ( x ) p_{gt}(x) pgt(x)。现考虑一个与X相关的潜在变量z(维度d),z的分布为 p ( z ) p(z) p(z),通常也称之为先验分布(通常为正态分布),因此可重写概率分布 p g t ( x ) p_{gt}(x) pgt(x):
先验分布是我们事先设定的,已知的
从上式我们可以明白,只要我们能够找到 p g t ( x ∣ z ) p_{gt}(x|z) pgt(x∣z),那么就能利用其生成新样本(先从先验分布采样z,再根据 p g t ( x ∣ z ) p_{gt}(x|z) pgt(x∣z)采样生成新的X):
从而期望利用最大似然估计来求解 P θ = { p θ ( x ∣ z ) ∣ θ } P_{\theta}=\left\{{p_\theta}(x|z) | \theta \right\} Pθ={pθ(x∣z)∣θ}:
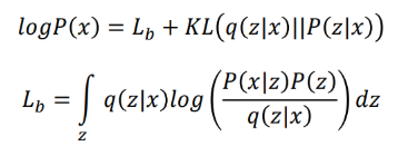
但是上面这个式子在数学上是很难求解的,因此VAE构造了一个新的概率分布 q ( z ∣ x ) q(z|x) q(z∣x),也称之为编码分布(encoder distribution),现在重写最大似然估计:
类似于EM算法的分解
按行进行分析:
第1行没啥好说的,就是离散值的极大似然估计;
第2行在 l o g P ( x ) logP(x) logP(x)中引入编码分布 q ( z ∣ x ) q(z|x) q(z∣x),其积分后与左式相等;
第3行进行一些变换,引入 P ( z , x ) P(z,x) P(z,x)与 P ( z ∣ x ) P(z|x) P(z∣x);
第4行拆分log函数,相乘变相加,其中后一项即为 q ( z ∣ x ) q(z|x) q(z∣x)与 P ( z ∣ x ) P(z|x) P(z∣x)之间的KL散度(其值永远大于等于0);
第5行即为第4行前一项,因为KL散度≥0,因此 l o g P ( x ) logP(x) logP(x)存在一个下界,称之为lower bound Lb(也称为ELBO (Evidence Lower BOund) )。
这里借用了李宏毅老师的PPT,其中P(x)就表示之前提到的真实分布 p g t ( x ) p_{gt}(x) pgt(x)
现在我们知道 l o g P ( x ) logP(x) logP(x)可以拆分为ELBO与KL散度这两项,然后我们又期望整个数据集上的 l o g P ( x ) logP(x) logP(x)都最大,如何优化呢?既然极大似然估计不好做,那么我们就去优化ELBO,想办法让他变大,并且让 l o g P ( x ) logP(x) logP(x)也随之变大。
由于P(z)是已知的先验分布,这里采用P(x|z)与q(z|x)联合优化使得Lb最大,为什么要用两项联合优化呢?
假设我们现在只用P(x|z)去最大化Lb,但我们并不知道KL(q(z|x)||P(z|x))如何变化,因此不知道最终的似然是否上升。
如果我们固定P(x|z),仅使用q(z|x)优化Lb,我们知道P(x)与q(z|x)无关,因此最终似然大小固定,随着Lb变大,因此KL(q(z|x)||P(z|x))变小,如下图所示:
所以这里使用P(x|z)与q(z|x)联合优化使得Lb最大,最后理想的结果KL会接近于0,Lb变大,那么 l o g P ( x ) logP(x) logP(x)也会随之增大,同样q(z|x)也解决与P(z|x)。
现在,我们明确了目标是优化Lb,现在重写Lb表达式:
还是将式子进行一些转换,从而转换为两项,其中前一项为-KL(q(z|x)||P(z)),这一项永远≤0。因此优化目标进一步变为最小化KL(q(z|x)||P(z))以及最大化后一项:
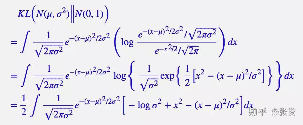
其中前一项中的 q ( z ∣ x ) q(z|x) q(z∣x)为编码分布,并假设其为多元高斯分布(GMM角度),使用一个神经网络来根据输入x,预测与z相关的高斯分布的均值与方差,而P为我们的先验分布,通常为正态分布,现在进行推导。
由于VAE考虑的是各分量独立的多元正太分布,因此只需要推导一元正态分布的情形即可,图片与推导来自https://zhuanlan.zhihu.com/p/34998569
整个结果分为三项积分,第一项实际上就是 − l o g σ 2 −logσ^2 −logσ2 乘以概率密度的积分(也就是 1),所以结果是 − l o g σ 2 −logσ^2 −logσ2;第二项实际是正态分布的二阶矩,熟悉正态分布的朋友应该都清楚正态分布的二阶矩为 μ 2 + σ 2 μ^2+σ^2 μ2+σ2;而根据定义,第三项实际上就是“-方差除以方差=-1”。因此总的结果为:
因此,网络中所用到的损失函数也就为下式(也称之为KLD loss),这里需要特别注意下式中的 δ i \delta_{i} δi是方差的log,而上式中的 δ 2 \delta^2 δ2是方差,博主比较懒就不自己写推导了,所以在看的时候,大家自己转换一下:
这一块可以对应着代码消化,为什么模型输出要是log方差呢?这是因为方差一定大于0,而模型的输出有可能小于0,加上exp操作之后,其永远大于0,并以此作为最终的方差。
其次,最大化后一项其实就是根据q(z|x)最大化 l o g ( P ( x ∣ z ) ) log(P(x|z)) log(P(x∣z)),意思就是根据q(z|x)我们能够采样得到z,然后根据得到的这个z能够很好地重现出x,这就是普通的Auto-Encoder在做的事情,计算生成样本与真实样本之间的MSE Loss:
李宏毅,从GMM角度解释VAE :https://www.youtube.com/watch?v=8zomhgKrsmQ&t=2780s,强烈推荐
自此,整个VAE的结构就很清晰了,为了数据生成,我们引入了一个额外的先验分布p(z),并引入新分布q(z|x)并让其逼近p(z),从而缩小KL散度,这也构成了VAE的第一部分损失:KLD-Loss。另一部分就是最大化logP(x|z),即对分布q(z|x)进行抽样得到z能够很好重构输入,构成了第二部分损失:MSE-Loss。
由于编码器,解码器都是用的神经网络,这里没有用EM算法求解,而是直接采用梯度下降的方法进行优化,同时优化两个目标,从而找到最优解。训练完的VAE,编码器输出分布q(x|z)非常接近p(z),从该分布采样的值也能很好地重构输入样本,而p(z)就是标准正态分布。因此直接从正态分布p(z)中采样,然后送入解码器中即可生成新样本,并且生成的样本与输入样本也非常相似。
2. 模型实现
根据之前的推导,每个样本x首先送入encoder中,计算得到q(z|x)对应均值、方差,这确定了其分布(高斯混合模型),并且我们期望这个分布逼近于先验分布P(z)[通常是正态分布],这一部分计算得到KLD loss。得到分布之后,我们从q(z|x)分布采样变量得到z,送到decoder中生成样本,然后根据生成样本与真实样本计算MSE loss。
图片来自https://zhuanlan.zhihu.com/p/34998569
但我们注意,要把这个模型训练起来,通常采用的是梯度下降的方法。而根据分布进行采样的过程我们无法求导,这也就导致不能训练,所以在实现中采用了一个叫做Reparameterization的技巧。其核心就是:要从分布为 N ( μ , δ 2 ) N(\mu,\delta^2) N(μ,δ2) 采样得到一个值Z,相当于我们从标准正态分布 N ( 0 , 1 ) N(0,1) N(0,1)中采样一个值 ε \varepsilon ε, Z = μ + ε × δ Z=\mu+\varepsilon\times\delta Z=μ+ε×δ,这样,采样的过程就不会参与到反向传播的过程中,使得整个模型能够正常训练。
3. 代码
完整代码见(欢迎issue与star):https://github.com/Classmate-Huang/CV_GenerateModel/tree/master/VAE
代码共实现了两种VAE,并在MNIST上进行实验,这里以卷积自编码器的构建为例,介绍代码:
def ConvBnRelu(channel_in, channel_out):
# Conv + BatchNorm + ReLU 模块
conv_bn_relu = nn.Sequential(
nn.Conv2d(channel_in, channel_out, 3, stride=2, padding=1),
nn.BatchNorm2d(channel_out),
nn.LeakyReLU(0.2, inplace=True)
)
return conv_bn_relu
def DConvBnRelu(channel_in, channel_out):
# Conv + BatchNorm + ReLU 模块
d_conv_bn_relu = nn.Sequential(
nn.ConvTranspose2d(channel_in, channel_out, 3, stride=2, padding=1, output_padding=1),
nn.BatchNorm2d(channel_out),
nn.LeakyReLU(0.2, inplace=True)
)
return d_conv_bn_relu
class VariationAutoEncoder(nn.Module):
''' Conv VAE '''
def __init__(self, in_channel=3, img_size=512, latent_dim=256):
super().__init__()
# 编码器
self.encoder = nn.Sequential(
ConvBnRelu(in_channel, 96),
ConvBnRelu(96,128),
ConvBnRelu(128, 256),
ConvBnRelu(256, 256),
)
# 解码器
self.decoder = nn.Sequential(
DConvBnRelu(256, 256),
DConvBnRelu(256, 128),
DConvBnRelu(128,96),
# nn.ConvTranspose2d(96, 3, 3, stride=2, padding=1, output_padding=1),
DConvBnRelu(96, 96),
nn.Conv2d(96,in_channel, kernel_size=3, padding=1),
nn.Tanh()
)
# latent code的维度
self.latent_dim = latent_dim
self.img_size = img_size
original_dim = 256*(img_size//16)**2
# 将原始code的维度映射至指定维度
self.fc_mu = nn.Linear(original_dim, latent_dim)
self.fc_var = nn.Linear(original_dim, latent_dim)
# 用于恢复分辨率
self.fc_recover = nn.Linear(latent_dim, original_dim)
def reparameterize(self, mu, logvar):
''' Reparameter技巧 '''
std = torch.exp(0.5 * logvar) # std
eps = torch.randn_like(std) # 从正态分布中采样
return eps * std + mu # 得到
def forward(self, x):
# encode 编码阶段
fea = self.encoder(x)
fea = torch.flatten(fea, start_dim=1)
# split into mu an var components of the latent Gaussian distribution
# 将编码结果转换成正态分布的mu与log_var
mu = self.fc_mu(fea)
log_var = self.fc_var(fea)
# get latent code
# 使用重参数技巧进行采样得到code
z = self.reparameterize(mu, log_var)
# decode
# 将code送入解码器进行解码,解码前需要恢复到原分辨率
fea = self.fc_recover(z).view(-1, 256, self.img_size//16, self.img_size//16)
out = self.decoder(fea)
return mu, log_var, out
def sample(self, num_sample, device):
''' sampling '''
# 从标准正态分布中采样 (经过训练,q(z|x)接近标准正态分布)
z = torch.randn(num_sample, self.latent_dim).to(device)
# 解码生成样本
fea = self.fc_recover(z).view(-1, 256, self.img_size//16, self.img_size//16)
out = self.decoder(fea)
return out
实验结果
① 重构效果:
② 生成效果:
4. 总结
VAE的本质是找到一个先验分布p(z)与样本空间的真实概率分布p(x)之间的联系,从而根据p(x|z)生成新样本。乍一看确实很难下手,所以VAE额外引入分布q(z|x),并且这个分布是基于神经网络(编码器)得到的(生成均值方差,从而确定一个分布)。让q(z|x)去逼近p(z),然后同时让q(z|x)这个分布中采样值能够重构输入样本x,使得 E q ( z ∣ x ) l o g P ( x ∣ z ) E_{q(z|x)}logP(x|z) Eq(z∣x)logP(x∣z)最大,从而使得ELBO上升,整体似然上升。
这也体现了生成模型的一个特点,通过训练数据去建模数据的真实分布,然后再根据这个模型与分布生成更多的数据。
从某个角度上理解,VAE相比于AE在重构过程中在latent code上引入了高斯噪声,并且让Latent Code满足某种分布,使得我们利用分布采样生成code,生成新样本。
参看李宏毅老师的VAE讲解:https://www.youtube.com/watch?v=8zomhgKrsmQ&t=2780s
对于初学者,VAE的确很难理解,但随着了解的深入,你会发现其设计与思想(ELBO、Reparameter trick)真的非常的巧妙,让人不得不感叹数学的魅力。VAE目前也存在大量的变种模型,被广泛应用于各领域。
更多推荐



所有评论(0)