记录李航 统计学习 一书中SVM章节的例题7.2的求解过程
本文是记录李航《统计学习》一书中SVM章节的例题7.2的求解及推导过程。主要是手写推导的,这里不再重新编辑公式了,就把之前推导过程的A4纸上传了,偷个懒吧。另外虽然书中已有讲解,可能也存在像我这种对细节不太理解的人,看的云里雾里,所以便有了这篇博客的求解过程更加详细的介绍。聪明人请绕行,对这篇博客请不喜勿喷。下面是该书中例题7.2的介绍:下面是我手写的推导及求解过程:至此推导完成,希望对你有帮助。
·
本文是记录李航《统计学习》一书中SVM章节的例题7.2的求解及推导过程。
主要是手写推导的,这里不再重新编辑公式了,就把之前推导过程的A4纸上传了,偷个懒吧。另外虽然书中已有讲解,可能也存在像我这种对细节不太理解的人,看的云里雾里,所以便有了这篇博客的求解过程更加详细的介绍。聪明人请绕行,对这篇博客请不喜勿喷。
下面是该书中例题7.2的介绍:


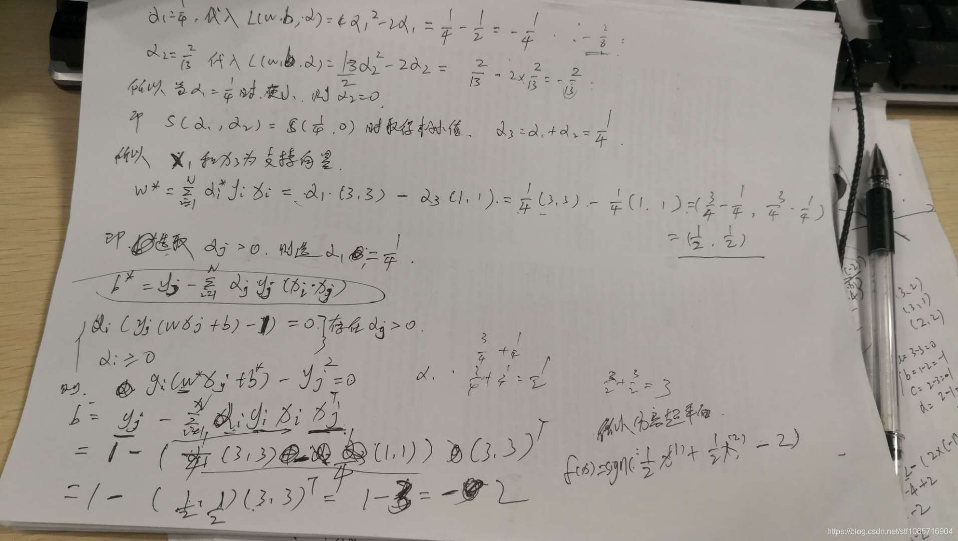
下面是我手写的推导及求解过程:



至此推导完成,希望对你有帮助。
更多推荐



所有评论(0)