B样条曲线满足曲率约束的等价条件
为了满足车辆转向执行器的限制,生成的路径应该满足连续曲率,峰值曲率和最大曲率的约束,采用参数化的三次B样条曲线来规划路径,如下图所示:图中具有4个控制点和9个参数节点的三次B样条曲线能够被定义为:其中Bi,j代表B样条曲线的基函数,可以通过deBoox-Cox公式递推得到。为了满足起点和目标点的约束,顶部和底部的端点需要设置为三个节点,因此参数节点的矢量将设置为[0,0,0,0,0.5,1,1,1
·
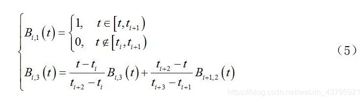
为了满足车辆转向执行器的限制,生成的路径应该满足连续曲率,峰值曲率和最大曲率的约束,采用参数化的三次B样条曲线来规划路径,如下图所示:
图中具有4个控制点和9个参数节点的三次B样条曲线能够被定义为:
其中Bi,j代表B样条曲线的基函数,可以通过deBoox-Cox公式递推得到。
为了满足起点和目标点的约束,顶部和底部的端点需要设置为三个节点,因此参数节点的矢量将设置为[0,0,0,0,0.5,1,1,1,1], 然后,通过等式(6)分别描述通过三次B样条生成的路径点的表达式。
曲率表达式如式(7):
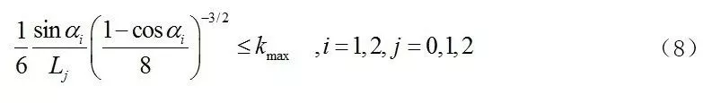
由控制点构成的控制线段如图4所示。为了满足车辆的峰值曲率约束,控制线的长度和夹角受式(8)的约束。
参考博客:一种新颖鲁棒的自动驾驶车辆换道轨迹规划方法
更多推荐


所有评论(0)