Preconditioned Conjugated Gradient Solver 共轭梯度法
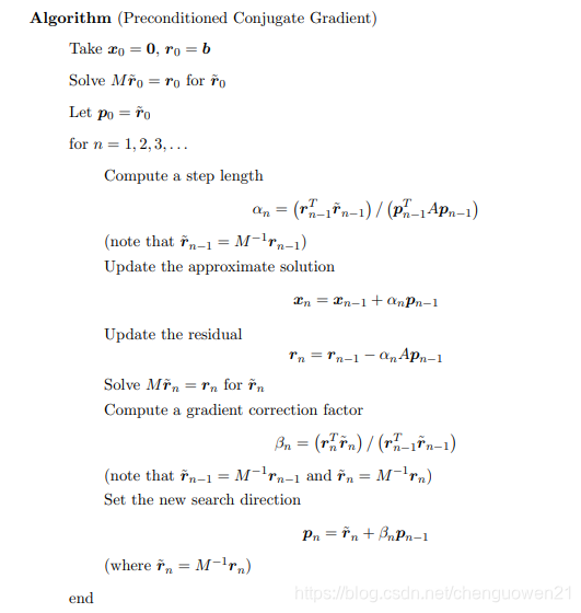
共轭梯度法是一种针对系统矩阵为对称正定矩阵的系统方程求解算法,具体来说就是迭代的求解共轭梯度方向,并求出最佳步长,对于线性方程具有最快的收敛性。具体的实现上,因为具体的系统问题而有不同的预条件方法,如果系统变量为6*6分块,则预条件矩阵也应该是对角的6*6块的逆矩阵,同等情况下,如果仍然执意采用对角线的逆作为预条件则效果较差。...
·
共轭梯度法是一种针对系统矩阵为对称正定矩阵的系统方程求解算法,具体来说就是迭代的求解共轭梯度方向,并求出最佳步长,对于线性方程具有最快的收敛性。
具体的实现上,因为具体的系统问题而有不同的预条件方法,如果系统变量为6*6分块,则预条件矩阵也应该是对角的6*6块的逆矩阵,同等情况下,如果仍然执意采用对角线的逆作为预条件则效果较差。
目前工作的问题是: 数据Data项基本全为零(JT * J)、这就是问题所在、 GMM的
所以Optimize函数明天找人逐行看看问题所在,多半是Jacobi矩阵t填充函数的锅,或者是关节update的GPU函数之间的问题。
更多推荐
所有评论(0)