张氏相机标定法与绝对二次曲线的联系
Introduction相信很多人在看张正友教授的经典论文:A flexible new technique for camera calibration的时候,都会遇到一个问题,就是在2.4 Geometric Interpretation 部分,会发现看不懂,因为涉及到一个新的概念:Absolute Conic(绝对二次曲线)。一个通用的解决方法是去看Multiple view Geometr
Introduction
相信很多人在看张正友教授的经典论文:A flexible new technique for camera calibration的时候,都会遇到一个问题,就是在2.4 Geometric Interpretation 部分,会发现看不懂,因为涉及到一个新的概念:Absolute Conic(绝对二次曲线)。
一个通用的解决方法是去看Multiple view Geometry那本书,如果不想去花太多时间,可以看看我的一个总结。
Absolute Conic Ω ∞ \Omega_\infty Ω∞
这个概念是问题的关键,翻译过来叫做绝对二次曲线。
二次曲线大家都不陌生,是指如椭圆、双曲线等二次曲面与平面的交线,在射影几何中,他们可以和一个对称矩阵一一对应,也就是代数表示,这边可以参考传送门。
AC作为二次曲线有两个很特殊的点:
- 他在无穷远平面上
- 他由虚数点构成
首先,因为他在无穷远平面 π = ( 0 , 0 , 0 , 1 ) \pi=(0,0,0,1) π=(0,0,0,1)上,所以构成他的点 x = ( x 1 , x 2 , x 3 , x 4 ) T x=(x_1,x_2,x_3,x_4)^T x=(x1,x2,x3,x4)T满足
x 1 2 + x 2 2 + x 3 2 = 0 x 4 = 0 x_1^2+x_2^2+x_3^2=0 \\ x_4=0 x12+x22+x32=0x4=0
所以他是由虚数点构成的。
由二次曲线与点的公式 x T C x = 0 x^TCx=0 xTCx=0,我们可以发现AC对应的矩阵是单位阵 C = I C=I C=I。
考虑摄像机矩阵对AC的作用
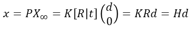
先考虑无穷远点 x = ( d T , 0 ) T x=(d^T,0)^T x=(dT,0)T,摄像机矩阵为: P = K [ R ∣ t ] P=K[R|t] P=K[R∣t],我们有:
所以这其实是一个单应变换,在这个变换下,AC就变为:
这就是绝对二次曲线的像。
与张氏标定法的联系
张氏标定法的核心是这两个式子:
我们就可以看到他其实是在用单应来确定IAC,一旦IAC确定后,相机的标定参数就可以给出,从而完成标定。
更多推荐


所有评论(0)