改进熵权法
程序名称##改进熵权法计算(matlab版+python版)程序功能(对象)适用于对两个及以上的对象进行综合评估;客观赋权法:改进熵权法(输入各评估对象的指标原始值)输出:评估对象的客观权重以及综合评分值对比改进需求:传统熵权法在所有熵值趋近于1时熵值微小的差距将引发熵权成倍变化!!!应用领域:根据需求而定,博主研究领域是配电网评估以下均在该领域计算改进熵权法的理论分析在编程之前首先需要学习相关内
程序名称##
改进熵权法计算(matlab版+python版)
程序功能(对象)
- 适用于对两个及以上的对象进行综合评估;
- 客观赋权法:改进熵权法(输入各评估对象的指标原始值)
- 输出:评估对象的客观权重以及综合评分值对比
- 改进需求:传统熵权法在所有熵值趋近于1时熵值微小的差距将引发熵权成倍变化!!!
- 应用领域:根据需求而定,博主研究领域是配电网评估以下均在该领域计算
改进熵权法的理论分析
在编程之前首先需要学习相关内容,需构建评估方法的计算步骤。
(1)初始数据预处理,数据无量纲化以及向极大型进行归一化
(2)利用改进熵权法计算各类指标权重;
(3)“优于该指标平均水评的指标权重清零,其余权重不变”,加权求和获得综合评估值
假设对m个评估对象记性评估S={S1,S2,……,Sm},每个评估对象的评价指标集合为P={P1,P2,……,P9}。
-
指标归一化处理:
针对第i个评价对象的第j个评估指标Pj的指标数值为pij,归一化无量纲化后数值为{bij}。极大型指标归一化计算为:
针对指标数值越小约好的极小型指标为:
指标的b值越接近1,表征该评估对象 表现越好。 -
权重计算:传统熵权在所有熵值趋近于1时,会过度放大权重差距,赋权不合理,指标差距越小权重越大,本文方法可以克服传统赋权的确定。
计算评估对象Si中的Pj指标的特征系数(数值归一化):
通过各评估对象的各评价指标的特征系数求解指标的熵值为:
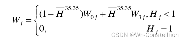
各指标权重的计算公式为:
其中Wj为指标Pj的权重,Hj为对应的熵值,杠H为全部不为1的熵权的平均值。 -
评估值计算:
对于低于或等于平均水平的指标值采用改进熵权法的赋权结果,高于平均水平的指标值另其权重为0,得到权重矩阵w为:
评估对象的综合评价值为:
低于平均水平的指标越少,与平均水平的差距越小,综合评价值越小,评估对象越好。
程序函数说明
matlab版:

计算结果展示
- 对10个评估对象的9个评价指标的原始数据进行分析,其中黑线为指标平均值,绿线代表评估对象
S4,灰线代表评估对象S10,S4指标数值均低于平均水平,指标差距最显著,则表明评估对象表现较差。
参考文献:欧阳森、刘丽媛,配电网用电可靠性指标体系及综合评估方法
欢迎大家查阅该文献,博文仅对该文概述与复现
程序链接与探讨
如需博主的完整版matlab版/python版私信,也可以V博主一下:lemonyoungman,欢迎点赞收藏。
更多推荐



所有评论(0)