关于本机 CUDA 运行版与驱动版不匹配的解决方案
关于本机 CUDA 运行版与驱动版不匹配的解决方案
问题来源:
近期接触人工智能领域,故需要下载 CUDA 及很多应用支持 Pytorch 运行环境。由于第一次下载 CUDA 导致版本过高, Pytorch 官网来不及更新支持高版本的 CUDA,故只能卸载当前版本的 CUDA 11.7,下载 Pytorch 官网支持的 CUDA 11.6。由于碰壁不少,故记录于博客,与大家分享我踩过的坑。
解决方法:
首先打开 cmd 命令窗口,输出如下命令:
nvidia-smi
可以看到,此时显示的表格中,有一个字段叫 CUDA Version,像我的界面是这样的:

可以看到我的 CUDA 版本是 11.7,这里的版本是指驱动版的信息,也即是说我本机上 CUDA 的驱动版本是 11.7。
还有一种方法可以查看本机的 CUDA 驱动版本:首先打开 NVIDIA控制面板 -> 系统信息 -> 组件,可以查看本机上 CUDA 的驱动版本是多少,如下图所示:


接着查看当前本机上 CUDA 的 runtime 版本信息,打开命令行窗口,输入如下命令:
nvcc -V
可以看到终端输出了本机上 CUDA runtime 版本的信息,如下图所示:

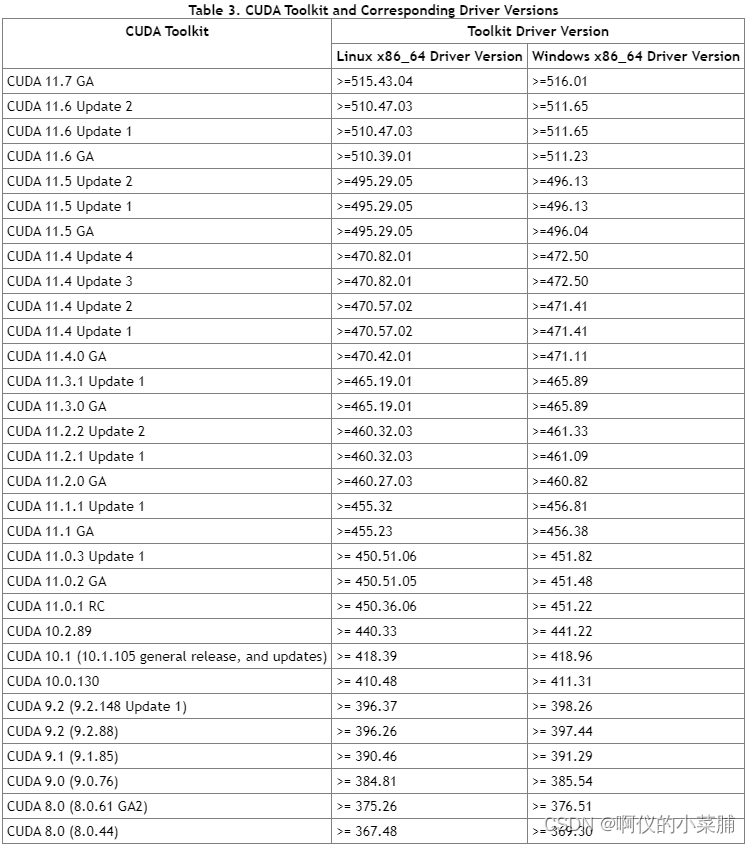
需要注意的是,不一定需要使得 runtime 版本的 CUDA与驱动版的 CUDA 相一致。从第一张截图我们可以看到,圈出来的 CUDA Version :11.7 的左边有一个 Driver Version:516.01,这个才是一个分水岭。首先我们到网上找 CUDA Toolkit 与 Driver Version 的对应关系,官网链接如下 :Release Notes :: CUDA Toolkit Documentation 。从官网上截图如下所示,列表上没有自己本机所对应的 Driver Version 的小伙伴就进官网自己查一下。

可以看到,我的 Driver Version 为 516.01,可以支持的最高版本是 CUDA Version 11.7,但是由于 Pytorch 官网没有来得及推出支持 CUDA 11.7 的 Pytorch ,故我只能下载 CUDA 11.6 的版本去迎合 Pytorch 的较低版本。至此,关于 CUDA runtime 版本与驱动版本的问题解决。
更多推荐
所有评论(0)