Transformer学习(4)
Transformer学习(4)

上篇文章完成了Transformer剩下组件的编写,因此本文就可以开始训练。
本文主要介绍训练时要做的一些事情,包括定义损失函数、学习率调整、优化器等。
下篇文章会探讨如何在多GPU上进行并行训练,加速训练过程。
数据集简介
从网上找到一份中英翻译wmt数据集,数据格式如下:
[
["english sentence", "中文语句"],
["english sentence", "中文语句"]
]
其中训练、验证、测试集的样本数分别为:176943、25278、50556。
下载地址:https://download.csdn.net/download/yjw123456/88694140 (固定只需要5积分)(ps: 我觉得没必要,网上有现成的数据集,用不香吗)
import pandas as pd
def build_dataframe_from_json(
json_path: str,
source_tokenizer: spm.SentencePieceProcessor = None,
target_tokenizer: spm.SentencePieceProcessor = None,
) -> pd.DataFrame:
with open(json_path, 'r', encoding="utf-8") as f:
data = json.data(f)
df = pd.DataFrame(data, columns=["source", "target"])
def _source_vectorize(text: str) -> list[str]:
return source_tokenizer.EncodeAsIds(text, add_bos=True, add_eos=True)
def _target_vectorize(text: str) -> list[str]:
return target_tokenizer.EncodeAsIds(text, add_bos=True, add_eos=True)
tqdm.pandas()
if source_tokenizer:
df["source_indices"] = df.source.progress_apply(lambda x: _source_vectorize(x))
if target_tokenizer:
df["target_indices"] = df.target.progress_apply(lambda x: _target_vectorize(x))
return df
传入原文的目的是计算BLEU分数时方便一点,当然也可以对编码后的索引反向解码成原文。
剩下的事情是通过数据加载器来加载数据集,相关代码如下:
import os
assert os.path.exists(
train_args.src_tokenizer_file
), "should first run train_tokenizer.py to train the tokenizer"
assert os.path.exists(
train_args.tgt_tokenizer_path
), "should first run train_tokenizer.py to train the tokenizer"
source_tokenizer = spm.SentencePieceProgress(
model_file = train_args.src_tokenizer_file
)
target_tokenizer = spm.SentencePieceProgress(
model_file = train_args.tgt_tokenizer_path
)
if train_args.only_test:
train_args.use_wandb = False
if train_args.cuda:
device = torch.device("cuda:0" if torch.cuda.is_available() else "cpu")
else:
device = torch.device("cpu")
print(f"source tokenizer size: {source_tokenizer.vocab_size()}")
print(f"target tokenizer size: {target_tokenizer.vocab_size()}")
set_random_seed(12345)
train_dataframe_path = os.path.join(
train_args.save_dir, train_args.dataframe_file.format("train")
)
test_dataframe_path = os.path.join(
train_args.save_dir, train_args.dataframe_file.format("test")
)
valid_dataframe_path = os.path.join(
train_args.save_dir, train_args.dataframe_file.format("dev")
)
if os.path.exists(train_dataframe_path) and train_args.use_dataframe_cache:
train_df, test_df, valid_df = (
pd.read_pickle(train_dataframe_path),
pd.read_pickle(test_dataframe_path),
pd.read_pickle(valid_dataframe_path),
)
print("Loads cached dataframes.")
else:
print("Create new dataframes.")
valid_df = build_dataframe_from_json(
f"{train_args.dataset_path}/dev.json", source_tokenizer, target_tokenizer
)
print("Create valid dataframe")
test_df = build_dataframe_from_json(
f"{train_args.dataset_path}/test.json", source_tokenizer, target_tokenizer
)
print("Create test dataframe")
train_df = build_dataframe_from_json(
f"{train_args.dataset_path}/train.json", source_tokenizer, target_tokenizer
)
print("Create train dataframe")
train_df.to_pickle(train_dataframe_path)
test_df.to_pickle(test_dataframe_path)
valid_df.to_pickle(valid_dataframe_path)
pad_idx = model_args.pad_idx
train_dataset = NMTDataset(train_df, pad_idx)
valid_dataset = NMTDataset(valid_df, pad_idx)
test_dataset = NMTDateset(test_df, pad_idx)
train_dataloader = DataLoader(
train_dataset,
shuffle=True,
batch_size=train_args.batch_size,
collate_fn=train_dataset.cllate_fn,
)
valid_dataloader = DataLoader(
valid_dataset,
shuffle=False,
batch_size=train_args.batch_size,
collate_fn=valid_dataset.collate_fn,
)
test_dataloader = DataLoader(
test_dataset,
batch_size=train_args.batch_size,
collate_fn=test_dataset.collate_fn,
)
数据处理好之后我们就可以开始训练了。
模型训练
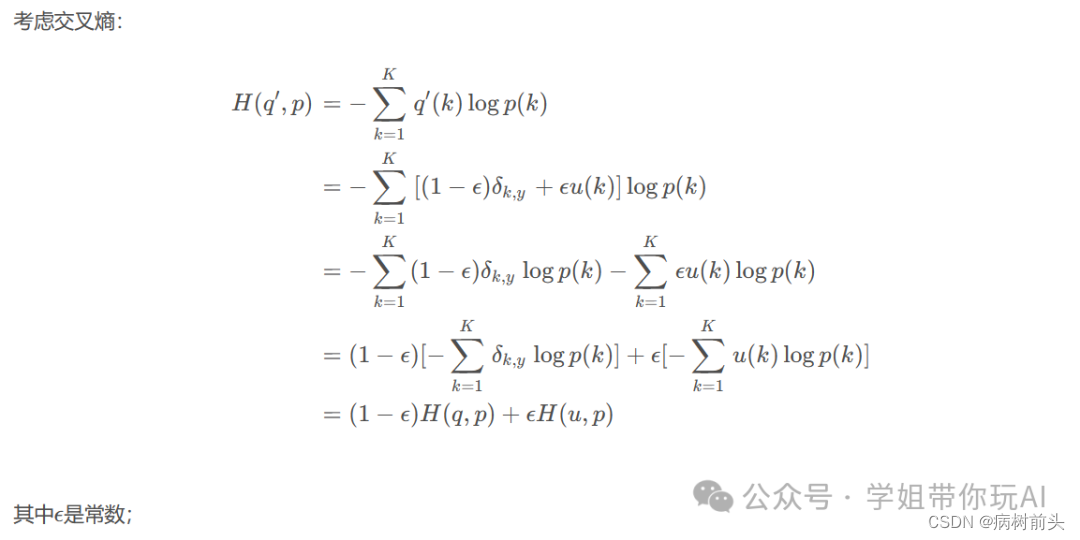
标签平滑
Transformer的训练过程中用到了标签平滑(label smoothing)技术,目的是防止模型训练时过于自信地预测标签,改善泛化能力不足的问题。
简单来说就是降低原来one-hot形式中目标类别(对应1,即100%)的概率,拿出来分给其他类别。
以下内容摘自参考8的论文,不感兴趣可以直接跳过。

因此需要一种机制让模型不那么自信,虽然与最大化训练标签的对数似然有点相违背,但这确实对模型进行正则化使其更具适应性。


这样,LSR可以看成是将单个交叉熵损失H ( q , p )替换为H ( q , p )和H ( u , p )的两个损失的加权和。在训练时,如果模型非常确信的预测出真实标签分布,即H ( q , p )接近0,但H ( u , p )会急剧增大,因此基于标签平滑,我们可以防止模型预测地太过自信。第二项损失惩罚了预测标签分布p 和先验分布u 之间的偏差,注意,这种偏差可以等价地通过KL散度来捕捉。为什么这么说?

而分布u 的熵H ( u ) 是固定的,所以H ( u , p ) 只有KL散度有关。 当u 是均匀分布时,H ( u , p ) 衡量了预测分布p 与均匀分布的不相似程度,这也可以通过负熵− H ( p ) 来衡量(但并非等价)。
PyTorch在1.10之后就支持标签平滑:
nn.CrossEntropyLoss(ignore_index = pad_idx, reduction="sum", label_smoothing=0.1)
通过传入ignore_index为pad index、reduction='sum’和设置label_smoothing值来使用。
但是光这还不够,当我们使用CrossEntropyLoss时,我们需要拉平模型的输出和标签标记索引,所以我们定义如下损失类来包装CrossEntropyLoss:
class LabelSmoothingLoss(nn.Module):
def __init__(self, label_smoothing: float=0.0, pad_idx: int=0) -> None:
super().__init__()
self.loss_func = nn.CrossEntropyLoss(ignore_index=pad_idx, label_smoothing=label_smoothing)
def forward(self, logits: Tensor, labels: Tensor) -> Tensor:
vocab_size = logits.shape[-1]
logits = logits.reshape(-1, vocab_size)
labels = labels.reshape(-1).long()
return self.loss_func(logits, labels)
注意,实际上本文用到的数据集使用标签平滑效果反而不好。因此训练过程中并未使用。
学习率&优化器

from torch.optim import Adam
optimizer = Adam(model.parameters(),
betas = (0.9, 0.98),
eps = 1e-9)
并使用warmup策略调整学习率:
使用固定步数warmup_steps \text{warmup_steps}warmup_steps先使学习率线性增长(预热),而后随着step_num \text{step_num}step_num的增加以step_num \text{step_num}step_num的平方根成比例逐渐减小学习率。???
我们可以封装Adam优化器,并支持预热和学习率衰减。
class WarmupScheduler(_LRSheduler):
def __init__(
self,
optimizer,
warmup_steps: int,
d_model: int,
factor: float = 1.0,
last_epoch: int = -1,
verbose: bool = False,
) -> None:
"""
Args:
optimizer(Optimizer): Wrapped optimizer.
warmup_steps(int): warmup steps.
d_model(int): dimension of embeddings.
last_epoch(int, optional): the index of last epoch. Default to -1.
verbose(bool, optional): if True, prints a message to stdout for each update. Default to False.
"""
self.warmup_steps = warmup_steps
self.d_model = d_model
self.num_parm_groups = len(optimizer.param_groups)
self.factor = factor
super().__init__(optimizer, last_epoch, verbose)
def get_lr(self) -> list[float]:
lr = (
self.factor
*self.d_model**-0.5
*min(
self._step_count**-0.5, self._step_count * self.warmup_steps**-1.5
)
)
return [lr] * self.num_parm_groups
这里通过继承LRScheduler来实现,并且通过factor参数控制学习率的大小,小数据集可以尝试设置成0.5。我们可以画出学习率变化的趋势图:
关注上图的橙线,可以看到,学习率确实是从0开始逐渐增加,直到4000步后,开始逐渐下降。

为什么这个公式可以达到这个效果?好像其中包含了一个IF-ELSE似的。为了直观的理解,我们把这个公式重写成:

这样是不是就大概能看出来了:当warmup_step=4000时,warmup_steps ** 1.5=252982.2128。当训练步数step_num小于热身步数时,函数内右项一直小于左项,但随着训练步数的增加而线性增加;当训练步数到达热身步数warmup_steps时,min函数内的两项相等;当训练步数大于热身步数,函数内左项小于右项,并且随着训练步数的增加而(非线性)减少;这样就实现了我们上图看到的效果。从公式还以看到一点,就是模型的嵌入大小d_model越大,或者warmup_steps越大,学习率的峰值就越小,而且warmup_steps越大,学习率开始增加的越缓慢。
训练分词器
正如上文所述,我们使用sentencepiece工具包进行分词,首先将中英文语句分别读入内存。
import json
def get_mt_pairs(data_dir: str, splits=["train", "dev", "test"]):
english_sentences = []
chinese_sentences = []
"""
json content:
[["english sentence", "中文语句"], ["english sentence", "中文语句"]]
"""
for split in splits:
with open(f"{data_dir}/{split}.json", "r", encoding="utf-8") as f:
data = json.load(f)
for pair in data:
english_sentences.append(pair[0] + "\n")
chinese_sentences.append(pair[1] + "\n")
assert len(chinese_sentences) == len(english_sentences)
print(f"the total number of sentences: {len(chinese_sentences)}")
return chinese_sentences, english_sentences
接着定义一个训练函数,这里用多进程同时训练:
def train_tokenizer(
source_corpus_path: str,
target_corpus_path: str,
source_vocab_size: int,
target_vocab_size: int,
source_character_converge: float = 1.0,
target_character_converge: float = 0.9995,
) -> None:
with ProcessPoolExecutor() as executor:
futures = [
executor.submit(
train_sentencepiece_bpe,
source_corpus_path,
"model_storage/source",
source_vocab_size,
source_character_converge,
),
executor.submit(
train_sentencepiece_bpe,
target_corpus_path,
"model_storage/target",
target_vocab_size,
target_character_converage,
),
]
for future in futures:
future.result()
sp = spm.SentencePieceProcessor()
source_text = """
Tesla is recalling nearly all 2 million of its cars on US roads to limit the use of its
Autopilot feature following a two-year probe by US safety regulators of roughly 1,000 crashes
in which the feature was engaged. The limitations on Autopilot serve as a blow to Tesla's efforts
to market its vehicles to buyers willing to pay extra to have their cars to do the driving for them.
"""
sp.load("model_storage/source.model")
print(sp.encode_as_pieces(source_text))
ids = sp.encode_as_ids(source_text)
print(ids)
print(sp.decode_ids(ids))
target_text = """
新华社北京1月2日电(记者丁雅雯、李唐宁)2024年元旦假期,旅游消费十分火爆。旅游平台数据显示,旅游相关产品订单量大幅增长,“异地跨年”“南北互跨”成关键词。
业内人士认为,元旦假期旅游“开门红”彰显消费潜力,预计2024年旅游消费有望保持上升势头。
"""
sp.load("model_storage/target.model")
print(sp.encode_as_pieces(target_text))
ids = sp.encode_as_ids(target_text)
print(ids)
print(sp.decode_ids(ids))
最后执行训练代码:
if __name__ == "__main__":
make_dirs(train_args.save_dir)
chinese_sentences, english_sentences = get_mt_pairs(
data_dir = train_args.dataset_path, splits=["train", "dev", "test"]
)
with open(f"{train_args.dataset_path}/corpus.ch", "w", encoding="utf-8") as f:
f.writelines(chinese_sentences)
with open(f"{train_args.dataset_path}/corpus.en", "w", encoding="utf-8") as f:
f.writelines(english_sentences)
train_tokenizer(
f"{train_args.dataset_path}/corpus.en",
f"{train_args.dataset_path}/corpus.ch",
source_vocab_size=model_args.source_vocab_size,
target_vocab_size=model_args.target_vocab_size,
)
['▁Tesla', '▁is', '▁recalling', '▁nearly', '▁all', '▁2', '▁million', '▁of', '▁its', '▁cars', '▁on', '▁US', '▁roads', '▁to', '▁limit', '▁the', '▁use', '▁of', '▁its', '▁Aut', 'op', 'ilot', '▁feature', '▁following', '▁a',
'▁two', '-', 'year', '▁probe', '▁by', '▁US', '▁safety', '▁regulators', '▁of', '▁roughly', '▁1,000', '▁crashes', '▁in', '▁which', '▁the', '▁feature', '▁was', '▁engaged', '.', '▁The', '▁limitations', '▁on', '▁Aut', 'op',
'ilot', '▁serve', '▁as', '▁a', '▁blow', '▁to', '▁Tesla', '’', 's', '▁efforts', '▁to', '▁market', '▁its', '▁vehicles', '▁to', '▁buyers', '▁willing', '▁to', '▁pay', '▁extra', '▁to', '▁have', '▁their', '▁cars', '▁do', '▁the', '▁driving', '▁for', '▁them', '.']
[22941, 59, 20252, 2225, 255, 216, 1132, 34, 192, 5944, 81, 247, 6980, 31, 3086, 10, 894, 34, 192, 5296, 177, 31299, 6959, 2425, 6, 600, 31847, 2541, 22423, 144, 247, 3474, 4270, 34, 2665, 8980, 23659, 26, 257, 10, 6959, 219, 5037, 31843, 99, 10725, 81, 5296, 177, 31299, 3343, 98, 6, 6296, 31, 22941, 31849, 31827, 1369, 31, 404, 192, 6287, 31, 10106, 2207, 31, 1129, 2904, 31, 147, 193, 5944, 295, 10, 4253, 75, 437, 31843]
Tesla is recalling nearly all 2 million of its cars on US roads to limit the use of its Autopilot feature following a two-year probe by US safety regulators of roughly 1,000 crashes in which the feature was engaged. The limitations on Autopilot serve as a blow to Tesla’s efforts to market its vehicles to buyers willing to pay extra to have their cars do the driving for them.
['▁新', '华', '社', '北京', '1', '月', '2', '日', '电', '(', '记者', '丁', '雅', '雯', '、', '李', '唐', '宁', ')', '20', '24', '年', '元', '旦', '假期', ',', '旅游', '消费', '十分', '火', '爆', '。', '旅游', '平台', '
数据显示', ',', '旅游', '相关', '产品', '订单', '量', '大幅增长', ',“', '异', '地', '跨', '年', '”', '“', '南北', '互', '跨', '”', '成', '关键', '词', '。', '▁', '业', '内', '人士', '认为', ',', '元', '旦', '假期', '旅
游', '“', '开', '门', '红', '”', '彰显', '消费', '潜力', ',', '预计', '20', '24', '年', '旅游', '消费', '有望', '保持', '上升', '势头', '。']
[1460, 29568, 28980, 2200, 28770, 29048, 28779, 28930, 29275, 28786, 2539, 29953, 30003, 1, 28758, 30345, 30229, 30365, 28787, 10, 3137, 28747, 28934, 29697, 18645, 28723, 4054, 266, 651, 29672, 29541, 28724, 4054, 2269, 12883, 28723, 4054, 521, 640, 25619, 28937, 22184, 710, 29596, 28765, 29649, 28747, 28811, 28809, 9356, 29410, 29649, 28811, 28762, 318, 29859, 28724, 28722, 28825, 28922, 1196, 64, 28723, 28934, 29697, 18645, 4054, 28809, 28889, 29208, 30060, 28811, 9466, 266, 1899, 28723, 1321, 10, 3137, 28747, 4054, 266, 4485, 398, 543, 4315, 28724]
新华社北京1月2日电(记者丁雅 ⁇ 、李唐宁)2024年元旦假期,旅游消费十分火爆。旅游平台数据显示,旅游相关产品订单量大幅增长,“异地跨年”“南北互跨”成关键词。 业内人士认为,元旦假期旅游“开门红”彰显消费潜力,预计2024年旅游消费有望保持上升势头。
这里可以看到,它无法正确识别雯字,因为我们的语料库中没有,所以在一个充分大的语料上训练分词器是非常有必要的。但我们可以先忽略这个问题。整个训练过程只需要几分钟。每个分词器会生成两个文件,一个模型文件和一个词表文件。比如中文的词表.vocab文件内容如下:
<pad> 0
<unk> 0
<s> 0
</s> 0
—— -0
经济 -1
国家 -2
美国 -3
▁但 -4
一个 -5
20 -6
我们 -7
政府 -8
中国 -9
可能 -10
他们 -11
欧洲 -12
问题 -13
...
这样我们有了训练好的BPE分词器,常用的操作如下:
sp.load("model_storage/source.model") # 加载分词器
print(sp.encode_as_pieces(source_text)) # 对文本分词
ids = sp.encode_as_ids(source_text) # 分词并编码成ID序列
print(sp.decode_ids(ids)) # ID序列还原成文本
定义数据加载器
@dataclass
class Batch:
source: Tensor
target: Tensor
labels: Tensor
num_tokens: int
src_text: str = None
tgt_text: str = None
class NMTDataset(Dataset):
"""Dataset for translation"""
def __init__(self, text_df: pd.DataFrame, pad_idx: int = 0) -> None:
"""
Args:
text_df(pd.DataFrame): a DataFrame which contains the processed source and target sentences
"""
# sorted by target Length
# text_df = text_df.iloc[text_df["target"].apply(len).sort_values().index]
self.text_df = text_df
self_padding_index = pad_idx
def __getitem__(
self, index:int
) -> Tuple[list[int], list[int], list[str], list[str]]:
row = self.text_df.iloc[index]
return (row.source_indices, row_target_indices, row.source, row.target)
def collate_fn(
self, batch:list[Tuple[list[int], list[int], list[str]]]
) -> Tuple[LongTensor, LongTensor, LongTensor]:
source_indices = [x[0] for x in batch]
target_indices = [x[1] for x in batch]
source_text = [x[2] for x in batch]
target_text = [x[3] for x in batch]
source_indices = [torch.LongTensor(indices) for indices in source_indices]
target_indices = [torch.LongTensor(indices) for indices in target_indices]
# The <eos> was added before the <pad> token to ensure that the model can correctly the end of a sentence.
source = pad_sequence(
source_indices, padding_value=self.padding_index, batch_first=True
)
target = pad_sequence(
target_indices, padding_value=self.padding_index, batch_first=True
)
labels = target[:, 1:]
target = target[:, :-1]
num_tokens = (labels != self.padding_index).data.sum()
return Batch(source, target, labels, num_tokens, source_text, target_text)
def __len__(self) -> int:
return len(self.text_df)
首先定义数据集类,将数据转换成DataFrame操作比较方便,这里假设传入的内容已经经过分词器的向量化。
我们还需要自己实现collate_fn,把数据转换成我们需要的格式。
具体地,先将源和目标索引序列转换Tensor;然后按批次内最大长度进行填充,即每个批次最大长度是不同的。假设一个批大小为2的批次内数据为:
[[2, 12342, 123, 323, 3, 0, 0, 0],
[2, 222, 23, 12, 123, 22, 22, 3]]
这里的2和3分别对应bos和eos的ID,0对应填充ID。可以看到eos id(3)是在pad id(0)之前,这样模型能正确区分句子的结束位置。
填充完之后就得到(batch_size, seq_len)形状的数据,这里seq_len是批次内最大长度。
其中source可以直接输入给编码器,但是解码器的输入以及预测的目标要注意。
举个例子,假设要翻译的一句话为:
['<bos>', '我', '喜', '欢', '打', '篮', '球', '。', '<eos>', '<pad>']
注意后面有一个填充标记,解码器的输入target会移除这句话的最后一个标记,这里是,得到:
target = ['<bos>', '我', '喜', '欢', '打', '篮', '球', '。', '<eos>']
我们要预测的标签labels会移除这句话的第一个标记,都是:
labels = ['我', '喜', '欢', '打', '篮', '球', '。', '<eos>', '<pad>']
即解码器在输入和编码器的编码后,要预测出’我’;(结合mask)在输入[,‘我’]之后要预测出’喜’;…;在输入[‘’, ‘我’, ‘喜’, ‘欢’, ‘打’, ‘篮’, ‘球’, ‘。’]之后要预测出句子结束标记。
有了这个类定义数据加载器就简单了:
DataLoader(
dataset, # 数据集类的实例
shuffle=True,
batch_size=32,
collate_fn=dataset.collate_fn,
)
定义训练函数
定义训练和评估函数:
def train(
model: nn.Module,
data_loader: DataLoader,
criterion: torch.nn.Module,
optimizer: torch.optim.Optimizer,
device: torch.device,
clip: float,
scheduler: torch.optim.lr_scheduler._LRScheduler,
) -> float:
model.train() # train mode
total_loss = 0.0
tqdm_iter = tqdm(data_loader)
for source, target, labels, _ in tqdm_iter:
source = source.to(device)
target = target.to(device)
labels = labels.to(device)
logits = model(source, target)
#loss calculation
loss = criterion(logits, labels)
loss.backward()
if clip:
torch.nn.utils.clip_grad_norm_(model.parameters(), clip)
optimizer.step()
scheduler.step()
optimizer.zero_grad()
total_loss += loss.item()
description = f" TRAIN loss={loss.item():.6f}, learning rate={scheduler.get_last_lr()[0]:.7f}"
del loss
tqdm_iter.set_description(description)
# average training loss
avg_loss = total_loss / len(data_loader)
return avg_loss
@torch.no_grad()
def evaluate(
model: nn.Module,
data_loader: DataLoader,
device: torch.device,
criterion: torch.nn.Module,
) -> float:
model.eval()
total_loss = 0
for source, target, labels, _ in tqdm(data_loader):
source = source.to(device)
target = target.to(device)
labels = labels.to(device)
# feed forward
logits = model(source, target)
#loss calculation
loss = criterion
total_loss += loss.item()
del loss
#average validation loss
avg_loss = total_loss / len(data_loader)
return avg_loss
贪心搜索
贪心搜索或者说贪心解码,就是每次在预测下一个标记时都选取概率最大的那个。贪心搜索比较好实现,但是我们需要支持批操作,因为我们想在每个训练epoch结束后在验证集上计算一次BLEU分数。
def _greedy_search(
self,
src: Tensor,
src_mask: Tensor,
max_gen_len: int,
keep_attentions: bool
):
memory = self.transformer.encode(src, src_mask)
batch_size = src.shape[0]
device = src.device
# keep track of which sequences are already finished
unfinished_sequences = torch.ones(batch_size, dtype=torch.long, device=device)
decoder_inputs = torch.LongTensor(batch_size, 1).fill_(self.bos_idx).to(device)
eos_idx_tensor = torch.tensor([self.eos_idx]).to(device)
finished = False
while True:
tgt_mask = self.generate_subsequent_mask(decoder_inputs.size(1), device)
logits = self.lm_head(
self.transformer.decode(
decoder_inputs,
memory,
tgt_mask=tgt_mask,
memory_mask=src_mask,
keep_attentions=keep_attentions,
)
)
next_tokens = torch.argmax(logits[:, -1, :], dim=-1)
#finished sentences should have their next token be a pad token
next_tokens = next_tokens * unfinished_sequences = self.pad_idx * (
1 - unfinished_sequences
)
decoder_inputs = torch.cat([decoder_inputs, next_tokens[:, None]], dim=-1)
# set sentence to finished if eos_idx was found
unfinished_sequences = unfinished_sequences.mul(
next_tokens.tile(eos_idx_tensor.shape[0], 1)
.ne(eos_idx_tensor.unsqueeze(1))
.prod(dim=0)
)
# all sentences have eos_idx
if unfinished_sequences.max() == 0:
finished = True
if decoder_inputs.shape[-1] >= max_gen_len:
finished = True
if finished:
break
return decoder_inputs
开始训练
定义训练参数:
import os
from dataclasses import dataclass
from typing import Tuple
@dataclass
class TrainArgument:
"""
Create a 'data' directory and store the dataset under it
"""
dataset_path: str = f"{os.path.dirname(__file__)}/data/wmt"
save_dir = f"{os.path.dirname(__file__)}/model_storage"
src_tokenizer_file: str = f"{save_dir}/source.model"
tgt_tokenizer_path: str = f"{save_dir}/target.model"
model_save_path: str = f"{save_dir}/best_transformer.pt"
dataframe_file: str = "dataframe.{}.pkl"
use_dataframe_cache: bool = True
cuda : bool = True
num_epochs: int = 40
batch_size: int = 32
gradient_accumulation_steps: int = 1
grad_clipping: int = 0 # 0 dont use grad clip
betas: Tuple[float, float] = (0.9, 0.997)
eps: float = 1e-6
label_smoothing: float = 0
warmup_steps: int = 6000
warmup_factor: float = 0.5
only_test: bool = False
max_gen_len: int = 60
use_wandb: bool = True
patient: int = 5
gpus = [1, 2, 3]
seed = 12345
calc_bleu_during_train: bool = True
@dataclass
class ModelArgument:
d_model: int = 512 # dimension of embeddings
n_heads: int = 8 # number of self attention heads
num_encoder_layers: int = 6 # number of encoder layers
num_decoder_layers: int = 6 # number of decoder layers
d_ff: int = d_model * 4 # dimension of feed-forward network
dropout: float = 0.1 # dropout ratio in the whole network
max_position: int=(
5000 # supported max length of the sequence in positional encoding
)
source_vocab_size: int = 32000
target_vocab_size: int = 32000
pad_idx: int = 0
norm_first: bool = True
train_args = TrainArgument()
model_args = ModelArgument()
warmup_steps的设置和总训练步数有关,一般训练成总训练步数的5-10%。
train_args = TrainArgument()
if __name__ == "__main__":
assert os.path.exists(
train_args.src_tokenizer_path ###???
), "should first run train_tokenizer.py to train the tokenizer"
assert os.path.exists(
train_args.tgt_tokenizer_path
), "should first run train_tokenizer.py to train the tokenizer"
source_tokenizer = BPETokenizer.load_model(train_args.src_tokenizer_path) ###???
target_tokenizer = BPETokenizer.load_model(train_args.tgt_tokenizer_path)
print(f"source tokenizer size: {source_tokenizer.vocab_size}")
print(f"target tokenizer size: {target_tokenizer.vocab_size}")
train_df = build_dataframe_from_csv(train_args.dataset_csv.format("train"))
valid_df = build_dataframe_from_csv(train_args.dataset_csv.format("dev"))
test_df = build_dataframe_from_csv(train_args.dataset_csv.format("test"))
train_dataset = NMTDataset(train_df, source_tokenizer, target_tokenizer)
valid_dataset = NMTDataset(valid_df, source_tokenizer, target_tokenizer)
test_dataset = NMTDataset(test_df, source_tokenizer, target_tokenizer)
train_dataloader = DataLoader(
train_dataset,
batch_size=train_args.batch_size,
shuffle=True,
collate_fn=train_dataset.collate_fn,
)
valid_dataloader = DataLoader(
valid_dataset,
batch_size=train_args.batch_size,
collate_fn=valid_dataset.collate_fn,
)
test_dataloader = DataLoader(
test_dataset,
batch_size=train_args.batch_size,
collate_fn=test_dataset.collate_fn,
)
if train_args.cuda:
device = torch.device("cuda:0" if torch.cuda.is_available() else "cpu")
else:
device = torch.device("cpu")
model_args = ModelArgument()
pad_idx = target_tokenizer.pad_idx
model_args.pad_idx = pad_idx
model_args.source_vocab_size = source_tokenizer.vocab_size
model_args.target_vocab_size = target_tokenizer.vocab_size
model = Transformer(**asdict(model_args))
print(model)
print(f"The model has {count_parameters(model)} trainable parameters")
model.to(device)
if train_args.use_wandb:
import wandb
# start a new wandb run to track this script
wandb.init(
# set the wandb project where this run will be logged
project="transfomer",
config={
"architecture": "Transformer",
"dataset": "en-cn",
"epochs": train_args.num_epochs,
},
)
train_criterion = LabelSmoothingLoss(train_args.label_smoothing, pad_idx)
# no label smoothing for validation
valid_criterion = LabelSmoothingLoss(0, pad_idx)
optimizer = torch.optim.Adam(
model.parameters(), betas=train_args.betas, eps=train_args.eps
)
beta_loss = float("inf")
print(f"begin train with argument: {train_args}")
print(f"total train steps: {len(train_dataloader) * train_args.num_epochs}")
if not train_args.inference:
for epoch in range(train_args.num_epochs):
train_loss = train(
model,
train_dataloader,
train_criterion,
optimizer,
device,
train_args.grad_clipping,
scheduler,
)
valid_loss = evaluate(model, valid_dataloader, valid_criterion)
print(
f"end of epoch {epoch+1:3d} | train loss: {train_loss:.4f} valid loss {valid_loss:.4f}"
)
if train_args.use_wandb:
wandb.log({"train_loss": train_loss, "valid_loss": valid_loss})
if valid_loss < best_loss:
best_loss = valid_loss
print(f"Save model with best valid loss: {best_loss:.4f}")
torch.save(model.state_dict(), train_args.model_save_path)
model.load_state_dict(torch.load(train_args.model_save_path))
test_loss = evaluate(model, test_dataloader, valid_criterion)
#calculate bleu score
bleu_score = calculate_bleu(
model,
source_tokenizer,
target_tokenizer,
test_df,
train_args.max_gen_len,
device,
)
print(f"TEST loss={test_loss:.4f} bleu score: {bleu_score}")
begin train with arguments: {‘d_model’: 512, ‘n_heads’: 8, ‘num_encoder_layers’: 6, ‘num_decoder_layers’: 6, ‘d_ff’: 2048, ‘dropout’: 0.1, ‘max_positions’: 5000, ‘source_vocab_size’: 32000, ‘target_vocab_size’: 32000, ‘pad_idx’: 0, ‘norm_first’: True, ‘dataset_path’: ‘nlp-in-action/transformers/transformer/data/wmt’, ‘src_tokenizer_file’: ‘nlp-in-action/transformers/transformer/model_storage/source.model’, ‘tgt_tokenizer_path’: ‘nlp-in-action/transformers/transformer/model_storage/target.model’, ‘model_save_path’: ‘nlp-in-action/transformers/transformer/model_storage/best_transformer.pt’, ‘dataframe_file’: ‘dataframe.{}.pkl’, ‘use_dataframe_cache’: True, ‘cuda’: True, ‘num_epochs’: 40, ‘batch_size’: 32, ‘gradient_accumulation_steps’: 1, ‘grad_clipping’: 0, ‘betas’: (0.9, 0.997), ‘eps’: 1e-06, ‘label_smoothing’: 0, ‘warmup_steps’: 8000, ‘warmup_factor’: 1.0, ‘only_test’: False, ‘max_gen_len’: 60, ‘use_wandb’: True, ‘patient’: 5, ‘calc_bleu_during_train’: True}
total train steps: 221200
TRAIN loss=6.496174, learning rate=0.0002630: 100%|██████████| 5530/5530 [09:39<00:00, 9.54it/s]
100%|██████████| 790/790 [00:25<00:00, 30.93it/s]
100%|██████████| 790/790 [09:33<00:00, 1.38it/s]
end of epoch 1 | train loss: 7.5265 | valid loss: 6.4111 | valid bleu_score 2.73
Save model with best bleu score :2.73
TRAIN loss=5.051253, learning rate=0.0002101: 100%|██████████| 5530/5530 [09:41<00:00, 9.51it/s]
100%|██████████| 790/790 [00:25<00:00, 30.95it/s]
100%|██████████| 790/790 [08:29<00:00, 1.55it/s]
end of epoch 2 | train loss: 5.6566 | valid loss: 4.8901 | valid bleu_score 13.65
Save model with best bleu score :13.65
TRAIN loss=4.618272, learning rate=0.0001716: 100%|██████████| 5530/5530 [09:41<00:00, 9.51it/s]
100%|██████████| 790/790 [00:25<00:00, 30.95it/s]
100%|██████████| 790/790 [07:16<00:00, 1.81it/s]
end of epoch 3 | train loss: 4.4314 | valid loss: 4.1444 | valid bleu_score 19.75
Save model with best bleu score :19.75
TRAIN loss=3.363390, learning rate=0.0001486: 100%|██████████| 5530/5530 [09:42<00:00, 9.50it/s]
100%|██████████| 790/790 [00:25<00:00, 30.94it/s]
100%|██████████| 790/790 [07:27<00:00, 1.77it/s]
end of epoch 4 | train loss: 3.7425 | valid loss: 3.8078 | valid bleu_score 22.49
Save model with best bleu score :22.49
TRAIN loss=2.784010, learning rate=0.0001329: 100%|██████████| 5530/5530 [09:41<00:00, 9.51it/s]
100%|██████████| 790/790 [00:25<00:00, 30.92it/s]
100%|██████████| 790/790 [07:00<00:00, 1.88it/s]
end of epoch 5 | train loss: 3.3077 | valid loss: 3.6406 | valid bleu_score 23.61
Save model with best bleu score :23.61
TRAIN loss=2.984864, learning rate=0.0001213: 100%|██████████| 5530/5530 [09:42<00:00, 9.50it/s]
100%|██████████| 790/790 [00:25<00:00, 30.93it/s]
100%|██████████| 790/790 [07:01<00:00, 1.87it/s]
end of epoch 6 | train loss: 2.9858 | valid loss: 3.5483 | valid bleu_score 25.05
Save model with best bleu score :25.05
TRAIN loss=2.415353, learning rate=0.0001123: 100%|██████████| 5530/5530 [09:41<00:00, 9.51it/s]
100%|██████████| 790/790 [00:25<00:00, 30.94it/s]
100%|██████████| 790/790 [06:59<00:00, 1.88it/s]
end of epoch 7 | train loss: 2.7246 | valid loss: 3.5058 | valid bleu_score 25.26
Save model with best bleu score :25.26
TRAIN loss=2.376031, learning rate=0.0001051: 100%|██████████| 5530/5530 [09:41<00:00, 9.50it/s]
100%|██████████| 790/790 [00:25<00:00, 30.94it/s]
100%|██████████| 790/790 [07:05<00:00, 1.86it/s]
end of epoch 8 | train loss: 2.5033 | valid loss: 3.5067 | valid bleu_score 25.43
Save model with best bleu score :25.43
TRAIN loss=2.036147, learning rate=0.0000990: 100%|██████████| 5530/5530 [09:41<00:00, 9.51it/s]
100%|██████████| 790/790 [00:25<00:00, 30.97it/s]
100%|██████████| 790/790 [07:17<00:00, 1.81it/s]
end of epoch 9 | train loss: 2.3110 | valid loss: 3.5108 | valid bleu_score 25.49
Save model with best bleu score :25.49
TRAIN loss=2.295238, learning rate=0.0000940: 100%|██████████| 5530/5530 [09:40<00:00, 9.53it/s]
100%|██████████| 790/790 [00:25<00:00, 30.91it/s]
100%|██████████| 790/790 [07:11<00:00, 1.83it/s]
end of epoch 10 | train loss: 2.1405 | valid loss: 3.5340 | valid bleu_score 25.92
Save model with best bleu score :25.92
TRAIN loss=2.026224, learning rate=0.0000896: 100%|██████████| 5530/5530 [09:40<00:00, 9.52it/s]
100%|██████████| 790/790 [00:25<00:00, 30.94it/s]
100%|██████████| 790/790 [07:13<00:00, 1.82it/s]
end of epoch 11 | train loss: 1.9879 | valid loss: 3.5786 | valid bleu_score 25.53
TRAIN loss=1.975156, learning rate=0.0000858: 100%|██████████| 5530/5530 [09:41<00:00, 9.51it/s]
100%|██████████| 790/790 [00:25<00:00, 30.94it/s]
100%|██████████| 790/790 [06:52<00:00, 1.91it/s]
end of epoch 12 | train loss: 1.8505 | valid loss: 3.6214 | valid bleu_score 25.57
TRAIN loss=1.730956, learning rate=0.0000824: 100%|██████████| 5530/5530 [09:41<00:00, 9.50it/s]
100%|██████████| 790/790 [00:25<00:00, 30.97it/s]
100%|██████████| 790/790 [07:10<00:00, 1.83it/s]
end of epoch 13 | train loss: 1.7260 | valid loss: 3.6728 | valid bleu_score 25.59
TRAIN loss=1.944140, learning rate=0.0000794: 100%|██████████| 5530/5530 [09:40<00:00, 9.52it/s]
100%|██████████| 790/790 [00:25<00:00, 30.93it/s]
100%|██████████| 790/790 [07:15<00:00, 1.82it/s]
end of epoch 14 | train loss: 1.6129 | valid loss: 3.7186 | valid bleu_score 25.60
TRAIN loss=1.699621, learning rate=0.0000767: 100%|██████████| 5530/5530 [09:41<00:00, 9.51it/s]
100%|██████████| 790/790 [00:25<00:00, 30.95it/s]
100%|██████████| 790/790 [07:22<00:00, 1.79it/s]
end of epoch 15 | train loss: 1.5094 | valid loss: 3.7738 | valid bleu_score 25.44
Stop from early stopping.
100%|██████████| 1580/1580 [00:51<00:00, 30.91it/s]
100%|██████████| 1580/1580 [14:28<00:00, 1.82it/s]
TEST loss=3.5372 bleu score: 25.85
wandb: Waiting for W&B process to finish… (success).
wandb:
wandb: Run history:
wandb: train_loss █▆▄▄▃▃▂▂▂▂▂▁▁▁▁
wandb: valid_bleu_score ▁▄▆▇▇██████████
wandb: valid_loss █▄▃▂▁▁▁▁▁▁▁▁▁▂▂
wandb:
wandb: Run summary:
wandb: train_loss 1.50937
wandb: valid_bleu_score 25.44111
wandb: valid_loss 3.77379
在单卡A10上训练一个epoch大概需要20分钟,实际训练了15个epoch,训练时长300分钟,即5个小时。时间有点长,不利于调参。
最终在测试集上的BLEU得分为25.85。
后文我们会探讨如何对整个耗时进行优化,通过但不限于多卡训练、KV Cache等方法。
更多推荐



所有评论(0)