动态规划之最长公共子序列问题详解(解题思路+算法思想+表格详解)
最长公共子序列子序列与子串子序列:有序列中若干符号,按原相对次序构成。例如 Tsinghua中sina是它的子序列,computer中omutr是子序列。它不要求所选的字母连续,只要求是按原次序组成就好。子串是字符串中的一部分称为子串。例如Tsinghua中hua是子串,而shua就不是它的子串。公共子序列就是两个序列X和Y共同的子序列。最长公共子序列问题描述输入:X={x1,x2,x3…xm},
最长公共子序列
子序列与子串
子序列:有序列中若干符号,按原相对次序构成。例如 Tsinghua中sina是它的子序列,computer中omutr是子序列。它不要求所选的字母连续,只要求是按原次序组成就好。
子串是字符串中的一部分称为子串。例如Tsinghua中hua是子串,而shua就不是它的子串。
公共子序列就是两个序列X和Y共同的子序列。
最长公共子序列问题描述
输入:X={x1,x2,x3…xm},Y={y1,y2,y3,y4…yn}
输出:Z=X和Y最长公共子序列
求解思路
我们第一印象肯定是暴力法,把两个序列的所有子序列都枚举出来,一一比较。诚然,这是一个思路,不过一个序列可能的子序列组合有2^n种可能,还需要比较,这就让复杂度高达O(m*2^n)。
因此我们只能更改策略。
优化子结构
设序列X=<x1,…,xm>和Y=<y1,…,yn>的最长公共子序列是Z=<z1, …, zk>
有如下几个情况:
1.如果zk=xm=yn,那么此时<z1,…, zk-1>是<x1,…,xm-1>和<y1,…,yn-1>的最长公共子序列
2.如果xm!=yn,zk!=xm,那么<z1,…, zk>是<x1,…,xm-1>和<y1,…,yn>的最长公共子序列
3.如果xm!=yn,zk!=yn,那么<z1,…, zk>是<x1,…,xm>和<y1,…,yn-1>的最长公共子序列
就可以归纳为:
如果:xm=yn,那么到找<x1,…,xm-1>和<y1,…,yn-1>的最长公共子序列,在其尾部加上xm。
如果xm!=yn,找到找<x1,…,xm-1>和<y1,…,yn>的最长公共子序列,找<x1,…,xm>和<y1,…,yn-1>的最长公共子序列,取两者中较长的序列即可。
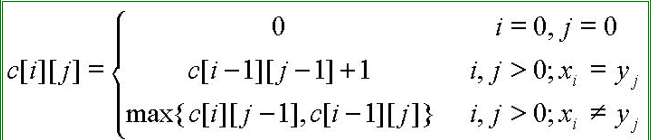
如果我们用c[i][j]表示xi和yj的最长子序列的长度,那么得到以下的递推公式:

重叠子问题

总共有θ(mn)个不同的子问题
举例说明
我们以两个字符串ABCB 和 BDCA来举例。
构造表格
根据公式:
i=0或者j=0时 c[i][j]=0,得到下面的表格。
现在求C[2][2],也就是B行A列对应的c值,现在i,j>0,而且xi!=yj,那么c[2][2]=max{c[2][1],c[1][2]}=0,可以看出是由左侧和上侧决定了此处的值。

在C[2][3]处,B=B,也就是xi=yj了,此时根据公式C[2][3]=C[1][2]+1=0+1=1。
在C[2][4]处,B!=C,C[2][4]=max{C[1][4],C[2][3]}=1
此后的内容均依据此填充得到表格如下:
根据最右下角的值,我们可以知道最长的LCS为2。
如何求得最优解?
我们在构造上述表格时,用另外的表格记录下变动信息。
从c[0][0]开始,逐步增大:
如果当前元素相等,输出元素,而且同时增大i和j;
如果当前元素不相等,那么优先向更大的C值处增大,如果下方和右方一样大,优先向右增大,如果向下或者右到达边界,则向未达到边界的端移动。
如果已经到达数组最右下角那么结束。
上述例子的增大步骤如下:

这样就可以输出最优解。
更多推荐



所有评论(0)