来自:http://www.elecfans.com/news/dianzi/20171118581901_a.html
什么是差分放大电路
差分放大电路利用电路参数的对称性和负反馈作用,有效地稳定静态工作点,以放大差模信号抑制共模信号为显著特征,广泛应用于直接耦合电路和测量电路的输入级。但是差分放大电路结构复杂、分析繁琐,特别是其对差模输入和共模输入信号有不同的分析方法,难以理解,因而一直是模拟电子技术中的难点。差分放大电路:按输入输出方式分:有双端输入双端输出、双端输入单端输出、单端输入双端输出和单端输入单端输出四种类型。按共模负反馈的形式分:有典型电路和射极带恒流源的电路两种。
(a)射极偏置差放 (b)电流源偏置差放
差放有两个输入端子和两个输出端子,因此信号的输入和输出均有双端和单端两种方式。双端输入时,信号同时加到两输入端;单端输入时,信号加到一个输入端与地之间,另一个输入端接地。双端输出时,信号取于两输出端之间;单端输出时,信号取于一个输出端到地之间。因此,差分放大电路有双端输入双端输出、单端输入双端输出、双端输入单端输出、单端输入单端输出四种应用方式。上面两个电路均为双端输入双端输出方式。
(a) 电阻Re是T1和T2两管的公共射极电阻,或称射极耦合电阻,它实际上就是在工作点稳定电路中植入的射极电阻,只是此处将两个电阻的射极电阻合并成一个Re,所以经它的作用是稳定静态工作点,对零漂做进一步的抑制。电阻Re常用等效内阻极大的恒流源I0来代替,以便更有效地提高抑制零漂的作用。负电源-
用来补偿射极电阻Re两端的直流压降,以避免采用电压过高的单一正电源+
,并可扩大输出电压范围,使两基极的静态电位为零,基极电阻Rb通常为外接元件,也可不用,其作用是限制基极静态电流并提高输入电阻。
基本状态
差放的外信号输入分差模和共模两种基本输入状态。当外信号加到两输入端子之间,使两个输入信号Vi1、Vi2的大小相等、极性相反时,称为差模输入状态。此时,外输入信号称为差模输入信号,以Vid表示,且有:
当外信号加到两输入端子与地之间,使Vi1、Vi2大小相等、极性相同时,称为共模输入状态,此时的外输入信号称为共模输入信号,以Vic表示,且 :
当输入信号使Vi1、Vi2的大小不对称时,输入信号可以看成是由差模信号Vid和共模信号Vic两部分组成,其中动态时分差模输入和共模输入两种状态。
(1)对差模输入信号的放大作用
当差模信号Vid输入(共模信号Vic=0)时,差放两输入端信号大小相等、极性相反,即Vi1=-Vi2=Vid/2,因此差动对管电流增量的大小相等、极性相反,导致两输出端对地的电压增量, 即差模输出电压Vod1、Vod2大小相等、极性相反,此时双端输出电压Vo=Vod1-Vod2=2Vod1=Vod,可见,差放能有效地放大差模输入信号。
要注意的是:差放公共射极的动态电阻Rem对差模信号不起(负反馈)作用。
(2)对共模输入信号的抑制作用
当共模信号Vic输入(差模信号Vid=0)时,差放两输入端信号大小相等、极性相同,即Vi1=vI2=Vic,因此差动对管电流增量的大小相等、极性相同,导致两输出端对地的电压增量, 即差模输出电压Voc1、Voc2大小相等、极性相同,此时双端输出电压Vo=Voc1-Voc2=0,可见,差放对共模输入信号具有很强的抑制能力。
此外,在电路对称的条件下,差放具有很强的抑制零点漂移及抑制噪声与干扰的能力。
差分放大电路单端输出和双端输出区别
1、接法是这样,但放大对象不一样。双端输入,放大的是两个输入端之间的差值。单端输入的两个输入端其中一个是接地的,如果简单的把这个接地端接到差分放大电路的另外一个输入端,这种电路实质上还是单端输入。
双端输入和单端输入真正的差别在于:双端输入时完全是差模信号,而单端输入时,则伴随着共模信号的输入,这个特点也可以用于区分单端输入和双端输入。
2、单端输入差分电路与原先单端电路的功能是一致的,只是对抗共模干扰、温度漂移的能力得到很大加强。
差分放大电路中单端输出是对地输出,是不平衡输出,而双端输出的输出端可以浮地,这时可构成平衡输出。还有就是双端输出的浮地阻抗比单端输出大一倍。
差分放大电路单端输出和双端输出的应用
1.双端输入单端输出电路
电路如右图所示,为双端输入、单端输出差分放大电路。由于电路参数不对称,影响了静态工作点和动态参数。
直流分析:
画出其直流通路如右下图所示,图中 和 是利用戴维宁定理进行变换得出的等效电源和电阻,其表达式分别为:
交流分析:
在差模信号作用时,负载电阻仅取得T1管集电极电位的变化量,所以与双端输出电路相比,其差模放大倍数的数值减小。
如右下图所示为差模信号的等效电路。在差模信号作用时,由于T1管与T2管中电流大小相等方向相反,所以发射极相当于接地。
输出电压
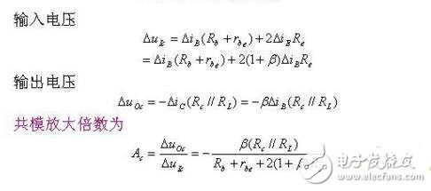
一半。如果输入差模信号极性不变,而输出信号取自T2管的集电极,则输出与输入同相。当输入共模信号时,由于两边电路的输入信号大小相等极性相同。与输出电压相关的T1管一边电路对共模信号的等效电路如下
可见,单端输入电路与双端输入电路的区别在于:差模信号输入的同时,伴随着共模信号输入。
输出电压
静态工作点以及动态参数的分析完全与双端输入、双端输出相同。
3.单端输入、单端输出电路
如右图所示为单端输入、单端输出电路,该电路对静态工作点、差模增益、共模增益、输入与输出电阻的分析与单端输出电路相同。对输入信号的作用分析与单端输入电路相同。














所有评论(0)