相机标定(由像素坐标求三维坐标的实现)
相机标定(由像素坐标求三维坐标的实现)公式的推导相机的内参与外参的获得根据像素坐标求三维坐标编程实现**相机标定(几何意义上的坐标系的转化):链接: link.相机标定的公式如下图所示,其中s为未知的比例系数,我们所要求得,内参,外参是通过Matlab得到的,Matlab的得到的内参记得转置。对于三维矩阵,矩阵的行列式不为0,没有对空间进行压缩(降维),那么变换矩阵乘以变换矩阵的逆,那么空间又被还
·
相机标定(由像素坐标求三维坐标的实现)
公式的推导
相机的内参与外参的获得
根据像素坐标求三维坐标编程实现
**相机标定(几何意义上的坐标系的转化):链接: link.
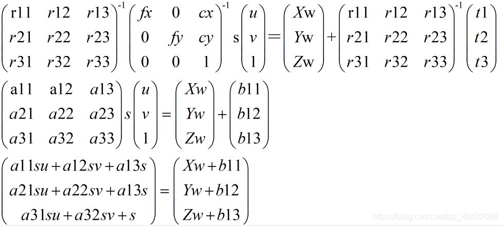
相机标定的公式如下图所示,其中s为未知的比例系数,我们所要求得,内参,外参是通过Matlab得到的,Matlab的得到的内参记得转置。
对于三维矩阵,矩阵的行列式不为0,没有对空间进行压缩(降维),那么变换矩阵乘以变换矩阵的逆,那么空间又被还原,等于一个什么都不做的变换。
首先我们分别在等式两边的左边同时乘以内参矩阵与旋转矩阵的逆。
所以a31su+a32sv+s=Zw+b13,一般我们取Zw等于0,因为标定板所在的平面的为原点,现在我们s能求出来,
求解比例系数s以及三维坐标的代码实现如下:
/** @brief 相机标定求标定板所在平面的三维坐标
* @param u 像素坐标U
* @param u 像素坐标V
* @param p 所求的三维坐标
*/
int camera2CalibrationPlate(double &u, double &v, cv::Point3d &p)
{
double Zw = 0;
double s;
Mat_<double>R = (Mat_<double>(3, 3) << //外参旋转矩阵
0.999688578967552, 0.02231098209332011, -0.01117878168084797,
-0.01754908117277992, 0.9470136158049239, 0.3207136436606262,
0.01774189482066936, -0.3204175893394672, 0.9471102330827478);
Mat_<double>T = (Mat_<double>(3, 1) << //外参平移矩阵
-46.3872746240076,
-12.0702827953298,
238.561423323864);
cv::Mat imagePoint = cv::Mat::ones(3, 1, CV_64F); //像素矩阵
imagePoint.at<double>(0, 0) = u;
imagePoint.at <double>(1, 0) = v;
std::cout << imagePoint << "imagePoint" << std::endl;
Mat_<double>I = (Mat_<double>(3, 3) << //相机内参
2201.26949422718, 0, 613.845238974861,
0, 2202.10672781966, 485.708808088470,
0, 0, 1);
cv::Mat leftSideMat = cv::Mat::ones(3, 1, CV_64F);
cv::Mat rightSideMat = cv::Mat::ones(3, 1, CV_64F);
leftSideMat = R.inv() * I.inv()* imagePoint;
rightSideMat = R.inv() * T;
s = Zw + rightSideMat .at<double>(2, 0)/leftSideMat .at<double>(2, 0);
std::cout << "s=" << s << std::endl;;
//计算世界坐标
Mat wcPoint; //= Mat::ones(3, 1, CV_32F);
wcPoint = R.inv() * (s*I.inv() * imagePoint - T);
std::cout << "wcPoint =" << wcPoint << std::endl;
std::cout << "imgepoint=" << imagePoint << std::endl;
cv::Point3d worldPoint(wcPoint.at<double>(0, 0), wcPoint.at<double>(1, 0), wcPoint.at<double>(2, 0));
p = worldPoint;
std::cout << "caliworldPoint" << worldPoint<< std::endl;
return 0;
}
链接: link.
内容来源于网上+结合自己的理解,如有侵权,联系删除。
更多推荐


所有评论(0)