计算机复试总结
本文为计算机复试而整理,内容或有不足之处,旨在老师提问时可以想到一些东西有的回答,不至于冷场。1.列举出3种数据结构,并说明特点。顺序表:可以顺序存取,也可随机存取,但对于插入和删除数据较为复杂,逻辑上相邻的元素,物理存储位置上也相邻。链表:只能从表头顺序存取元素,适合插入或删除操作,逻辑上相邻的元素,物理存储位置则不一定相邻。队列:允许在一段进行插入另一端进行删除的线性表,像排队一样,进入队列的
本文为计算机复试而整理,内容或有不足之处,旨在老师提问时可以想到一些东西有的回答,不至于冷场。
1.列举出3种数据结构,并说明特点。
- 顺序表:可以顺序存取,也可随机存取,但对于插入和删除数据较为复杂,逻辑上相邻的元素,物理存储位置上也相邻。
- 链表:只能从表头顺序存取元素,适合插入或删除操作,逻辑上相邻的元素,物理存储位置则不一定相邻。
- 队列:允许在一端进行插入另一端进行删除的线性表,像排队一样,进入队列的元素按照“先进先出”的规则处理,在表头进行删除在表尾进行插入。
- 栈:只能在表尾进行插入和删除的操作,对于插入到栈的元素按“后进先出”的规则处理,插入和删除都在栈顶进行
2.说明满二叉树与完全二叉树的区别。
满二叉树:满二叉树是指除了最后一层外其他节点均有两颗子树。

完全二叉树:完全二叉树是指除了最后一层外,其他任何一层的节点数均达到最大值,且最后一层也只是在最右侧缺少节点

//补充
二叉树:有左右子树的区分和度不超过2.
二叉排序树:左子树均小于根,根均小于右节点。。
线索二叉树:设置两个标识标记左右指针指向的是孩子还是前躯节点。
3.简述深度优先遍历与广度优先遍历
深度优先遍历用的是栈,而广度优先遍历要用队列来实现。
深度优先遍历(Depth-First-Search, DFS):
主要思路是从图中一个未访问的顶点 V 开始,沿着一条路一直走到底,然后从这条路尽头的节点回退到上一个节点,再从另一条路开始走到底…,不断递归重复此过程,直到所有的顶点都遍历完成,它的特点是不撞南墙不回头,先走完一条路,再换一条路继续走。
广度优先遍历(Breadth-First-Search, BFS):
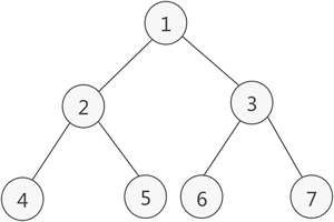
指的是从图的一个未遍历的节点出发,先遍历这个节点的相邻节点,再依次遍历每个相邻节点的相邻节点。(如下图)

4.简述贪心算法和动态规划以及分治法的区别。
贪心算法:在对问题求解时,总是做出在当前看来是最好的选择。不是从全局进行考虑的,自上向下逐步求解,所得是局部最优解。
动态规划:常用于求解具有某种最优性质的问题,通常自下向上,一步一步找到全局最优解。
分治法:将原问题划分成n个规模较小而结构与原问题相似的子问题;递归地解决这些子问题,然后再合并其结果,得到原问题的解。
步骤:分解问题 ---> 各问题求解 ---> 子问题合并
5.列举5种排序算法,并说明优缺点。
- 直接插入排序(稳定):将序列分为有序部分和无序部分,从无序部分依次选择元素与有序部分比较找到合适的位置,将原来的元素往后移,将元素插入到相应位置上,时间复杂度为:0(n^2)空间复杂度为O(1)。
- 冒泡排序(稳定):每一趟都将元素进行两两比较,并且按照“前小后大”的规则进行交换。优点是:每一趟不仅能找到一个最大的元素放到序列后面,而且还把其他元素理顺,如果下一趟排序没有发生交换则可以提前结束排序。时间复杂度为O(n^2),空间复杂度为O(1)。
- 归并排序(稳定):把两个或者两个以上的有序表合并成一个新的有序表。时间复杂度为O(nlogn),空间复杂度和待排序的元素个数相同。
- 希尔排序(不稳定):先将序列分为若干个子序列,对各子序列进行直接插入排序,等到序列基本有序时再对整个序列进行一次直接插入排序。优点是:让关键字值小的元素能够很快移动到前面,且序列基本有序时进行直接插入排序时间效率会提升很多,空间复杂度为O(1)。
- 快速排序(不稳定):在序列中任意选择一个元素作为中心,比它大的元素一律向后移动,比它小的元素一律向前移动,形成左右两个子序列,再把子序列按上述操作进行调整,直到所有的子序列中都只有一个元素时序列即为有序。优点是:每一趟不仅能确定一个元素,时间效率较高。时间复杂度为O(nlog2n),空间复杂度为O(log2n)。
6.哈希表相关
概念:又称散列表,根据关键字码的值直接进行访问的数据结构,以 key – value的形式进行存储,映射函数又称散列函数,存放记录的数组叫做散列表。
哈希函数构造方法:直接定址法,除留余数法,数字分析法,平方取中法,折叠法,随机数法。
哈希冲突解决方法:开放定址法和拉链法。
7.计网7/5层模型

应用层:为特定应用程序提供数据传输服务,例如HTTP、DNS等协议,数据单位为报文。
表示层:数据压缩、加密以及数据描述,这使得应用程序不必关心在各台主机中数据内部格式不同的问题。
会话层:建立及管理会话。
传输层:为进程提供通用数据传输服务。
网络层:为主机提供数据传输服务,把传输层传递下来的报文段或者数据报封装成分组。(流量控制、拥塞控制、差错控制)
数据链路层:网络层针对的还是主机之间的数据传输服务,而主机之间可以有很多链路,链路层协议就是为同一链路的主机提供数据传输服务。数据链路层把网络层传下来的分组封装成帧。(封装成帧、流量控制)
物理层:尽可能屏蔽传输媒体和通信手段的差异,使数据链路层感觉不到这些差异。
//ps :加粗为五层协议结构
8.简述3种网络协议。
UDP协议 : 提供无连接、尽最大努力交付的数据传输服务,数据单位为用户数据报。
无须建立连接,不会引入建立连接的时延
无连接状态,不需要维护连接状态
分组首部开销小。(TCP 有20B 的首部开销,而UDP 仅有8B 的开销)
应用层能更好地控制要发送的数据和发送时间。UDP 没有拥塞控制,
因此网络中的拥塞不会影响主机的发送效率。
TCP协议 :主要解决传输的可靠、有序、无丢失和不重复问题。提供面向连接、可靠的数据传输服务,数据单位为报文段。
面向连接的传输层协议。
每条TCP 连接只能有两个端点,每条TCP 连接只能是点对点的(一对一)。
提供可靠的交付服务,保证传送的数据无差错、不丢失、不重复且有序。
提供全双工通信,允许通信双方的应用进程在任何时候都能发送数据,为此TCP 连接的两端都设有发送缓存和接收缓存,
用来临时存放双向通信的数据。
/*
ps : TCP 主要提供完整性服务,UDP 主要提供及时性服务。
两者的区别大致如下:
TCP面向连接,UDP面向非连接即发送数据前不需要建立链接
TCP提供可靠的服务(数据传输),UDP无法保证
TCP面向字节流,UDP面向报文
TCP数据传输慢,UDP数据传输快
TCP提供全双工通信;
*/
PPP协议(Point to Point Protocol)-- 点到点协议 :面向字节,采用字节填充方式,提供全双工链路。
具有动态分配IP地址的能力;支持多种网络协议;具有错误检测能力,但不具备纠错能力;
无重传的机制,网络开销小,速度快;具有身份验证功能;可以用于多种类型的物理介质上。
9.电路交换,报文交换和分组交换的区别?
电路交换:整个报文的比特流从源点连续的直达终点,像在一个管道中传输。包括建立连接、传输数据和断开连接三个阶段。(传统电话网络)
优点:传输时延小、没有冲突、实时性强;
缺点:独占式信道利用率低、建立连接时间长、灵活性差。
报文交换:将整个报文转发到相邻节点,全部存储下来,查找转发表,转发到下一个节点。(存储-转发类型)
优点:无需建立连接、信道利用率高;
缺点:转发时延长、要求的缓存空间大。
分组交换:将报文分组转发到相邻节点,查找转发表,转发到下一个节点。(存储-转发类型)
优点:无需建立连接、信道利用率高、简化了存储管理、加速了传输;
缺点:存在发送时延、可能会存在分组失序、丢失、重复。
10.计算机网络提供的服务的三种分类?
1、面向连接服务与无连接服务
面向连接:连接建立 --> 数据传输 --> 连接释放(如TCP)
无连接:不可靠的服务,尽最大努力交付(Best-Effort-Delivery)。(如UDP)
2、可靠服务和不可靠服务
可靠服务是指网络具有纠错、检错、应答机制, 能保证数据正确、可靠地传送到目的地。
不可靠服务是指网络只是尽量正确、可靠地传送, 而不能保证数据正确、可靠地传送到目的地, 是一种尽力而为的服务。
3、有应答服务和无应答服务
有应答服务是指接收方在收到数据后向发送方给出相应的应答,该应答由传输系统内部自动实现。
11.数据链路层的三个基本问题及解决方法。
1.帧定界(封装成帧):指数据链路层给上层交付的协议数据单元添加帧头和帧尾使之成为帧,帧头和帧尾的作用就是帧定界。
2.透明传输:避免消息符号与帧定界符号相混淆。
为了解决透明传输问题,字节填充法或字符填充:在控制字符SOH、EOT的前面插入一个转义字符ESC(其十六进制编码是1B,二进制是00011011)。而接收端的数据链路层在把数据送往网络层之前删除这个插入的转义字符。
3.差错检测:防止差错的无效数据帧,浪费网络资源。常用的差错检测算法就是CRC(循环冗余检验)
/*
循环冗余检测特点:
1.可检测出所有奇数个错误。
2.可检测出所有双比特错误。
3.可检测出所有小于、等于校验位长度的连续错误。
4.以相当大的概率检测出大于校验位长度的连续错误。
*/
12. ARP(Address Resolution Protocol)协议 - 地址解析协议
1.作用:为IP地址到对应的硬件地址提供动态映射
2.点对点链路使用 ARP 吗?
不使用。
3.ARP 高效运行的关键是什么?
是每个主机上都有一个 ARP 的高速缓存。
13. DHCP动态主机配置协议(Dynamic Host Confifiguration Protocol)
常用于给主机动态地分配IP 地址,它提供了即插即用联网的机制。
属于应用层协议,基于UDP的。
工作原理:使用客户/服务器方式,DHCP 服务器分配给DHCP 客户的IP 地址是临时的,DHCP 称这段时间为租用期。租用期的数值应由DHCP 服务器自己决
定, DHCP 客户也可在自已发送的报文中提出对租用期的要求。
14.动态路由算法
1)距离向量路由算法(例如RIP算法)
在距离-向量路由算法中,所有结点都定期地将它们的整个路由选择表传送给所有与之直接相邻的结点。这种路由选择表包含:1.每条路径的目的地(另一结点)。2.路径的代价(也称距离)。
2)链路状态路由算法(例如OSPF算法)
要求每个参与该算法的结点都具有完全的网络拓扑信息,每个结点通过广播的方式与所有其他结点交谈。
第一,主动测试所有邻接结点的状态。
第二,定期地将链路状态传播给所有其他结点。
内部网关协议(IGP), 也称域内路由选择,具体的协议有RIP 和OSPF 等
1)路由信息协议(Routing Information Protocol, RIP)
是一种分布式的基于距离向量的路由选择协议,其最大优点就是简单。
RIP 认为好的路由是优先选择跳数少的路径,最多允许15跳。
2)开放最短路径优先(OSPF)
使用分布式链路状态路由算法的典型代表, 使用洪泛法向本自治系统中的所有路由器发送信息(而RIP 仅向自已相邻
的几个路由器发送信息)。
15.为何不采用三次握手释放连接
保证A 发送的最后一个确认报文段能够到达B 。如果A 不等待2MSL, 若A 返回的最后确认报文段丢失,则B 不能进入正常关闭状态,而A 此时已经关闭,也不可能再重传。
防止出现“已失效的连接请求报文段“。A 在发送最后一个确认报文段后,再经过2MSL可保证本连接持续的时间内所产生的所有报文段从网络中消失。
16.为什么不采用两次握手建立连接呢?
为了防止两次握手情况下已失效的连接请求报文段突然又传送到服务器而产生错误。A向B发出连接请求,第一个请求在网络中滞留或者丢失,A此时认为超时然后重传连接请求,B通过第二个连接请求正确建立连接,数据传输后断开连接,之后网络中滞留的请求又到达B,B认为A又发来了请求,此时B一直等待A传输数据,浪费资源。
17.常见的数据库管理系统有哪些;数据库的基本操作语句有哪些,请举例说明操作语句。
Oracle、DB2、SQL Server、Mysql
增 :insert into students values(111,’wg’,’121’,’dd’);
删 :delete from student;
改 :update student set age=18 where name=‘wg’;
查 :SELECT * from students where sex=‘男’;
18.请简述计算机操作系统的主要功能。并列出常见的操作系统(计算机和手机)。
1.是计算机资源的管理者
- 处理机管理
- 存储器管理:内存的分配和回收、地址变换、扩充内存、存储保护
- 文件管理
- 设备管理
2.为用户提供使用计算机硬件系统的接口
- 命令接口
- 程序接口
- 图形接口
3.用作扩充机器
计算机上的操作系统:Windows、Mac、Linux、Unix
手机上的操作系统:Android、iOS、Harmony(鸿蒙)、windows phone(微软)、塞班系统Symbian(诺基亚)
19.简述分时系统和实时系统的功能。
分时系统:采用时间片轮转的方法,将CPU的时间划分为若干个片段,称为时间片。
影响响应时间的因素:
1.终端数目多少
2.调度算法
3.信息交换量和信息交换速度
4.机器处理能力
特征:多路性、独立性、及时性、交互性。实时系统:指系统能及时响应外部事件的请求,在规定的时间内完成对该事件的处理,并控制所有实时任务协调一致地运行。
特点:及时性要求高,系统可靠性高
20.简述进程和线程之间的区别。
1.进程是系统进行资源分配和调度的基本单位,线程是CPU分配和调度的基本单位
2.线程依赖于进程而存在,一个进程至少有一个线程
3.进程有自己的独立地址空间,线程共享所属进程的地址空间
4.进程是拥有系统资源的一个独立单位,而线程自己基本上不拥有系统资源,只拥有一点在运行中必不可少的资源和其他线程共享本进程的相关资源。如内存、I/O、cpu等
二者的关系:一个线程可以创建和撤销另一个线程;同一个进程中的多个线程之间可以并发执行
21.进程和程序的区别
- 程序是永存的;进程是暂时的
- 程序是静态的,进程是动态的
- 进程具有并发性,而程序没有
- 进程是竞争计算机资源的基本单位,程序不是
- 进程和程序不是一一对应的:一个程序可对应多个进程即多个进程可执行同一程序; 一个进程可以执行一个或几个程序
22.进程的调度算法
- 先来先服务 fifirst-come fifirst-serverd(FCFS):无饥饿问题,响应时间不确定,对短进程、IO密集型进程不利。
- 最短作业优先shortest job fifirst(SJF):开销可能较大,可能导致饥饿问题;对长进程不利。
- 优先级调度算法:为了防止低优先级的进程永远等不到调度,可以随着时间的推移增加等待进程的优先级
- 时间片轮转:无饥饿问题,为短进程提供好的响应时间;若时间片小,进程切换频繁,吞吐量低;若时间片太长,实时性得不到保证。
- 最高响应比优先:响应比 = 1+ 等待时间/处理时间。开销可能较大,提供好的响应时间,无饥饿问题。
- 多级反馈队列调度算法:优先级递减,时间片递增;开销可能较大,对IO型进程有利,可能会出现饥饿问题。
23.产生死锁的原因和处理死锁的方法。
死锁:指两个或两个以上的进程在执行过程中,因争夺资源而造成的一种互相等待的现象。
产生的原因:系统资源不足、进程推进顺序不当。
处理的方法:
- 预防死锁:通过设置某些限制条件,去破坏产生死锁的四个必要条件中的一个或者几个,来预防发生死锁。由于所施加的限制条件往往太严格,可能会导致系统资源利用率和系统吞吐量降低。
- 避免死锁:在资源的动态分配过程中,用某种方法去防止系统进入不安全状态。
- 检测死锁:允许系统在运行过程中发生死锁,但可通过系统所设置的检测机构,及时地检测出死锁的发生,并精确地确定与死锁有关的进程和资源,然后采取适当措施,从系统中将已发生的死锁清除掉。
- 解除死锁:常用的方法是撤销或挂起一些进程,以便回收一些资源,再将这些资源分配给已处于阻塞状态的进程,使之转为就绪状态,以继续运行。
产生死锁的必要条件:
- 互斥条件
- 请求和保持条件
- 不剥夺条件
- 环路等待条件
24.饥饿与死锁的差别。
等待时间给进程推进和响应带来明显影响时称为进程饥饿。
饥饿并不代表系统已经死锁,但至少有一个程序的执行被无限期地推迟。
差别:
- 进入饥饿的进程可以只有一个,但是死锁必须大于等于两个
- 饥饿状态的进程可以是一个就绪进程,但是死锁状态的进程必定是阻塞进程。
25.程序的链接和装入。
链接方式:
- 静态链接:程序运行前,将各模块与所需库链接在一起。
- 装入时动态链接:一边装入一边链接。
- 运行时动态链接:程序运行中需要模块时才进行链接。
装入方式
- 绝对装入
- 可重定位装入
- 动态运行装入
26.内存连续分配管理方式
- 单一连续分配:分为系统区和用户区。
- 固定分区分配
- 分区大小相等:利于控制多个相同对象的场合,灵活性低
- 分区大小不等:多个较小的分区、适量的中等分区及少量的大分区。
- 动态分区分配:动态的建立分区,分区的大小和数目是可变的。
- 动态分区分配算法
- 首次适应(First Fit)算法:地址递增,顺序查找。
- 最佳适应(Best Fit)算法:容量递增,顺序查找。
- 最坏适应(Worst Fit)算法:又称最大适应(Largest Fit)算法,容量递减。
- 邻近适应(Next Fit)算法:又称循环首次适应算法,由首次适应算法演变而成。不同之处是分配内存时从上次查找结束的位置开始继续查找。
27.页面置换算法
最佳(OPT,OPTimal replacement)置换算法:被淘汰页面是以后永不使用或最长时间内不再访问的页面
先进先出(FIFO)置换算法:优先淘汰最早进入内存的页面。实现简单,性能差。
最近最久未使用(LRU,Least Recently Used)算法:利用局部性原理,淘汰最近最长时间未访问过的页面,实现困难,开销大。
时钟(CLOCK)置换算法,又称最近未用算法(Not Recently Used, NRU):
循环地检查各页面的情况,将使用位为1的帧置为0,将扫描到的第一个使用位帧为0的页面取出。
28.磁盘调度算法
先来先服务算法(FCFS)First Come First Service:根据进程请求访问磁盘的先后次序进行调度,优点:公平、简单。
降低设备服务的吞吐量,致使平均寻道时间可能较长。
最短寻道时间优先算法(SSTF) Shortest Seek Time First
要求访问的磁道与当前磁头所在的磁道距离最近,该算法可以得到比较好的吞吐量,但却不能保证平均寻道时间最短。
缺点是对用户的服务请求的响应机会不是均等的
扫描算法(SCAN)电梯调度
优点即吞吐量较大,平均响应时间较小,但由于是摆动式的扫描方法,两侧磁道被访问的频率仍低于中间磁道
循环扫描算法(CSCAN)
29. I/O控制方式
程序直接控制
中断驱动方式
DMA方式(直接存储器访问)
DMA是一种完全由硬件执行I/O交换的工作方式,数据交换不经过CPU,直接在内存和I/O设备之间进行。优点是速度快。
传送方式
- 周期挪用(时钟窃取):一旦I/O设备有DMA请求,则由I/O设备挪用一个或几个内存周期。
- 停止交换CPU访存:当需要传送数据时,停止CPU对主存的访问。
- 交替访存:将CPU周期分为DMA访存和CPU访存两部分。
传送过程:预处理 --> 数据传输 --> 后处理
通道控制方式
30.计算机系统组成和性能指标
- 系统组成
- 运算器:对数据加工处理。
- 存储器:存放程序和数据。
- 控制器:控制各部件协调工作。
- 输入设备
- 输出设备
- 性能指标
- 机器字长:计算机一次整数运算所能处理的二进制数据位数
- 数据通路带宽:数据总线一次所能并行传递信息的位数
- 主存容量:主存储器存储信息的最大容量
- 运算速度
- 吞吐量:指系统在单位时间内处理请求的数量。
- 响应时间:指从用户向计算机发送一个请求,到系统对该请求做出响应并获得所需结果的等待时间。
- CPU 时钟周期:主频的倒数,它是CPU 中最小的时间单位。
- 主频:机器内部时钟的频率。
- CPI(Clock cycle Per Instruction):即执行一条指令所需的时钟周期数。
31.半导体随机存储器RAM和ROM
- RAM(random access memory):随机存取存储器(如手机运行内存),易失性,常用于存储短时间使用的程序。
- SRAM:静态随机存储器,存取速度快,但集成度低,功耗较大,所以一般用来组成高速缓冲存储器。
- DRAM:动态随机存储器,有容易集成、位价低、容量大和功耗低等优点,一般用来组成大容量主存系统。
- ROM(Read-Only Memory):只读存储器(如手机存储内存),非易失性,可靠性高。
32.如何提高CPU访存速度
双端口RAM
多模块存储器
单体多字存储器:特点是存储器中只有一个存储体,每个存储单元存储m 个字,总线宽度也为m 个字。
一次并行读出m 个字,地址必须顺序排列并处于同一存储单元。
多体并行存储器:由多体模块组成。每个模块都有相同的容量和存取速度,既能交叉工作,又能并行工作。
分为高位交叉编址(顺序方式)和低位交叉编址(交叉方式)两种。
33. Cache
作用:提高CPU数据输入输出的速率,解决主存和CPU在速度上的矛盾。
替换算法:随机替换、先进先出算法(FIFO)和近期最少使用算法(LRU)
写操作:直达法、写回法和标记法。
与主存的映射方式:
直接映射:主存数据块只能装入Cache中的唯一位置
全相联映射:可以把主存数据块装入Cache 中的任何位置
组相联映射:将Cache分为若干组,一个数据块可以装入一组内的任何一个位置
34.虚拟存储器
- 页式虚拟存储器
- 段式虚拟存储器
- 段页式虚拟存储器
- TLB(快表)
35.指令流水线
原理
指令取指完成后,不等该指令执行完毕即可取下一条指令,显著提高指令执行速度和效率。
取值 --> 译码 --> 访存 --> 执行 --> 写回
特点
- 把一个任务分解成若干个子任务,每个子任务都由一个专门功能部件执行,多个功能部件之间并行工作增加效率。
- 每个功能部件都有一个缓冲寄存器(锁存器),作用是保存本流水段的执行结果,供给下一流水段使用。
- 流水线中各功能段的时间应尽量相等,否则易引起堵塞。
- 流水线中处理的必须是连续任务。
影响因素
- 结构相关是当多条指令同一时刻争用同一资源形成冲突
- 数据相关是指令在流水线中重叠执行时,当后继指令需要用到前面指令的执行结果时发生的
- 控制相关是当流水线遇到分支指令和其他改变PC值的指令时引起的.
36.寻址方式
- 指令寻址
- 顺序寻址:通过程序计数器PC加1,自动形成下一条指令的地址
- 跳跃寻址:通过转移类指令直接或间接给出下一条指令的地址
- 数据寻址
- 隐含寻址:操作数地址不明显给出,隐含在指令中
- 立即寻址:给出的不是操作数的地址,而是操作数本身
- 直接寻址:直接给出操作数的真实地址
- 间接寻址:给出操作数有效地址所在的存储单元的地址
- 寄存器寻址:直接给出操作数所在的寄存器编号
- 寄存器间接寻址:给出存有操作数所在主存单元的地址的寄存器编号
- 相对寻址:把程序计数器PC的内容加上指令格式中的形式地址
- 基址寻址:将基址寄存器的内容加上指令格式中的形式地址
- 变址寻址:将变址寄存器的内容加上指令格式中的形式地址
- 堆栈寻址:从规定的堆栈中取出操作数
37. CPU的功能
中央处理器(CPU) 由运算器和控制器组成。
具体功能:
- 指令控制:完成取指令、分析指令和执行指令的操作。
- 操作控制:一条指令的功能往往由若干操作信号的组合来实现。
- 时间控制:为每条指令按时间顺序提供应有的控制信号。
- 数据加工:对数据进行算术和逻辑运算。
- 中断处理:对计算机运行过程中出现的异常情况和特殊请求进行处理。
38.流水段越多,并行度就越高,是否流水段越多指令执行越快?
错误,因为流水段越多,流水段缓冲之间的额外开销增大,会加长整个指令的执行时间; 流水段间控制逻辑会变多、变复杂。
39.总线相关
优点
1)简化了系统结构,便于系统设计制造。
2)大大减少了连线数目,便于布线,减小体积,提高系统的可靠性。
3)便于接口设计,所有与总线连接的设备均采用类似的接口。
4)便于系统的扩充、更新与灵活配置,易实现系统的模块化。
5)便于设备的软件设计,所有接口的软件对不同的接口地址进行操作。
6)便于故障诊断和维修,同时也能降低成本。
按照传输信息的不同,分成哪几类
- 数据总线:各个功能部件之间传送数据信息,双向传输;
- 地址总线:用来指明数据总线上,源数据或目的数据所在的主存单元的地址。单向:由CPU发出
- 控制总线:用来发送各种控制信号。对于控制总线中的单根线,是单向的,即只能由一个部件发向另一 个部件。而一组控制总线中,有输入也有输出,因此,控制总线也可以看成是双向的。
什么是总线宽度、总线带宽、总线复用、信号线数?
总线宽度:数据总线的根数,一般是8的倍数。是衡量计算机系统性能的重要指标;
总线带宽:即总线数据传输速率,总线上每秒能够传输的最大字节量。
总线复用:一条信号线上分时传送两种信号。例如数据总线和地址总线的分时复用;
信号线数:地址总线、数据总线和控制总线三种总线的线数之和。
40. CPU响应中断应具备哪些条件?
- 在CPU 内部设置的中断屏蔽触发器必须是开放的
- 外设有中断请求时,中断请求触发器必须处于"1" 状态,保持中断请求信号。
- 外设(接口)中断允许触发器必须为"1"。
更多推荐


所有评论(0)