PTA浙大版《C语言程序设计》编程题,练习2-1到习题2-6答案
个人建议初学者还是把格式规范起来,自己读起来既方便又美观PTA对结果的格式要求很严格,答题的时候注意题目要求练习2-1 Programming in C is fun! (5 分)本题要求编写程序,输出一个短句“Programming in C is fun!”。输入格式:本题目没有输入。输出格式:在一行中输出短句“Programming in C is fun!”。#include<std
个人建议
初学者还是把格式规范起来,自己读起来既方便又美观
PTA对结果的格式要求很严格,答题的时候注意题目要求
练习2-1 Programming in C is fun! (5 分)
本题要求编写程序,输出一个短句“Programming in C is fun!”。
输入格式:
本题目没有输入。
输出格式:
在一行中输出短句“Programming in C is fun!”。
#include<stdio.h> //调用库
int main(void)
{
printf("Programming in C is fun!");//stdio.h库中的输出函数
return 0; //程序结束
}
练习2-3 输出倒三角图案 (5 分)
本题要求编写程序,输出指定的由“*”组成的倒三角图案。
输入格式:
本题目没有输入。
输出格式:
按照下列格式输出由“*”组成的倒三角图案。
#include<stdio.h>
int main(void)
{
printf("* * * *\n");
printf(" * * *\n");
printf(" * *\n");
printf(" *");
return 0;
}
练习2-4 温度转换 (5 分)
本题要求编写程序,计算华氏温度150°F对应的摄氏温度。计算公式:C=5×(F−32)/9,式中:C表示摄氏温度,F表示华氏温度,输出数据要求为整型。
输入格式:
本题目没有输入。
输出格式:
按照下列格式输出
fahr = 150, celsius = 计算所得摄氏温度的整数值
#include<stdio.h>
int main(){
int fahr=150,celsius; //定义变量
celsius=5*(fahr-32)/9; //赋值运算
//这里要注意空格,少一个空格提交答案都会出错
printf("fahr = 150, celsius = %d",celsius);//按题目要求输出
return 0;
}
练习2-6 计算物体自由下落的距离 (5 分)
一个物体从100米的高空自由落下。编写程序,求它在前3秒内下落的垂直距离。设重力加速度为10米/秒
2
。
输入格式:
本题目没有输入。
输出格式:
按照下列格式输出
height = 垂直距离值
结果保留2位小数。
#include<stdio.h>
int main(void)
{
double height; //定义双浮点型变量
height = 10*3*3/2.0; //进行赋值运算
//保留两位小数要在%f中间加‘.2’
printf("height = %.2f",height);
return 0;
}
练习2-8 计算摄氏温度 (10 分)
给定一个华氏温度F,本题要求编写程序,计算对应的摄氏温度C。计算公式:C=5×(F−32)/9。题目保证输入与输出均在整型范围内。
输入格式:
输入在一行中给出一个华氏温度。
输出格式:
在一行中按照格式“Celsius = C”输出对应的摄氏温度C的整数值。
输入样例:
150
结尾无空行
输出样例:
Celsius = 65
结尾无空行
#include<stdio.h>
int main(void)
{
//要清楚c和f代表的含义,变量名是自己决定的
int c,f; //定义整形变量
scanf("%d",&f); //输入函数,键盘录入f的值
c=5*(f-32)/9.0;
printf("Celsius = %d",c);
return 0;
}
练习2-9 整数四则运算 (10 分)
本题要求编写程序,计算2个正整数的和、差、积、商并输出。题目保证输入和输出全部在整型范围内。
输入格式:
输入在一行中给出2个正整数A和B。
输出格式:
在4行中按照格式“A 运算符 B = 结果”顺序输出和、差、积、商。
输入样例:
3 2
结尾无空行
输出样例:
3 + 2 = 5
3 - 2 = 1
3 * 2 = 6
3 / 2 = 1
结尾无空行
#include<stdio.h>
//系统默认函数类型是int型,所以加不加都行,初学者还是建议加上
main()
{
int a,b,h,c,j,s;
scanf("%d%d",&a,&b); //键盘录入a,b的值
h=a+b; //和
c=a-b; //差
j=a*b; //积
s=a/b; //商
printf("%d + %d = %d\n",a,b,h);
printf("%d - %d = %d\n",a,b,c);
printf("%d * %d = %d\n",a,b,j);
printf("%d / %d = %d\n",a,b,s);
return 0;
}
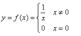
练习2-10 计算分段函数[1] (10 分)
本题目要求计算下列分段函数f(x)的值:
输入格式:
输入在一行中给出实数x。
输出格式:
在一行中按“f(x) = result”的格式输出,其中x与result都保留一位小数。
输入样例1:
10
结尾无空行
输出样例1:
f(10.0) = 0.1
结尾无空行
输入样例2:
0
输出样例2:
f(0.0) = 0.0
#include<stdio.h>
main()
{
float x,y; //定义单精度浮点型变量
scanf("%f",&x); //键盘录入x的值
//使用if else 来进行分段函数处理
//x等价于x≠0 !x等价于x等于0
if(x)
y=1/x;
else
y=0;
printf("f(%.1f) = %.1f",x,y);
}
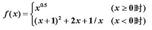
练习2-11 计算分段函数[2] (10 分)
本题目要求计算下列分段函数f(x)的值:
注:可在头文件中包含math.h,并调用sqrt函数求平方根,调用pow函数求幂。
输入格式:
输入在一行中给出实数x。
输出格式:
在一行中按“f(x) = result”的格式输出,其中x与result都保留两位小数。
输入样例1:
10
结尾无空行
输出样例1:
f(10.00) = 3.16
结尾无空行
输入样例2:
-0.5
输出样例2:
f(-0.50) = -2.75
#include<stdio.h>
#include<math.h>//调用math.h库
main()
{
float x,y;
scanf("%f",&x);
if(x>=0)
y=sqrt(x); //使用math.h中的sqrt函数,开平方
else
y=pow(x+1,2)+2*x+1/x; //pow函数就是幂函数x的三次方==pow(x,3)
printf("f(%.2f) = %.2f",x,y);
}
练习2-12 输出华氏-摄氏温度转换表 (15 分)
输入2个正整数lower和upper(lower≤upper≤100),请输出一张取值范围为[lower,upper]、且每次增加2华氏度的华氏-摄氏温度转换表。
温度转换的计算公式:C=5×(F−32)/9,其中:C表示摄氏温度,F表示华氏温度。
输入格式:
在一行中输入2个整数,分别表示lower和upper的值,中间用空格分开。
输出格式:
第一行输出:“fahr celsius”
接着每行输出一个华氏温度fahr(整型)与一个摄氏温度celsius(占据6个字符宽度,靠右对齐,保留1位小数)。
若输入的范围不合法,则输出"Invalid."。
输入样例1:
32 35
结尾无空行
输出样例1:
fahr celsius
32 0.0
34 1.1
结尾无空行
输入样例2:
40 30
输出样例2:
Invalid.
#include<stdio.h>
int main(){
int lower,upper;
scanf("%d %d",&lower,&upper);
if(lower>upper){
printf("Invalid.");
return 0;
}
printf("fahr celsius\n");
double c;
for(int i=lower;i<=upper;i=i+2){
c=5*(i-32)/9.0;
printf("%d% 6.1f\n",i,c);
}
return 0;
}
练习2-13 求N分之一序列前N项和 (15 分)
本题要求编写程序,计算序列 1 + 1/2 + 1/3 + … 的前N项之和。
输入格式:
输入在一行中给出一个正整数N。
输出格式:
在一行中按照“sum = S”的格式输出部分和的值S,精确到小数点后6位。题目保证计算结果不超过双精度范围。
输入样例:
6
结尾无空行
输出样例:
sum = 2.450000
结尾无空行
#include<stdio.h>
main()
{
int N,i;
double sum=0;
scanf("%d",&N);
for(i=1;i<=N;i++)
{
sum+=1.0/i; //sum+=a == sum=sum+a
}
printf("sum = %.6f",sum);
}
练习2-14 求奇数分之一序列前N项和 (15 分)
本题要求编写程序,计算序列 1 + 1/3 + 1/5 + … 的前N项之和。
输入格式:
输入在一行中给出一个正整数N。
输出格式:
在一行中按照“sum = S”的格式输出部分和的值S,精确到小数点后6位。题目保证计算结果不超过双精度范围。
输入样例:
23
结尾无空行
输出样例:
sum = 2.549541
结尾无空行
#include<stdio.h>
main()
{
int N,i;
double sum=0;
scanf("%d",&N);
for(i=1;N>0;i+=2) //i+=2等价于i=i+2,这样就保证每个i都是奇数了
{
sum+=1.0/i;
N--;
}
printf("sum = %.6lf",sum); //保留6位小数
}
练习2-15 求简单交错序列前N项和 (15 分)
本题要求编写程序,计算序列 1 - 1/4 + 1/7 - 1/10 + … 的前N项之和。
输入格式:
输入在一行中给出一个正整数N。
输出格式:
在一行中按照“sum = S”的格式输出部分和的值S,精确到小数点后三位。题目保证计算结果不超过双精度范围。
输入样例:
10
结尾无空行
输出样例:
sum = 0.819
结尾无空行
#include<stdio.h>
main()
{
int N,i,flag=1;
double sum=0;
scanf("%d",&N);
for(i=1;N>0;i+=3)
{
sum+=flag*1.0/i;
N--;
//x*=a 等价于 x=x*a
flag*=-1;
}
printf("sum = %.3lf",sum);
}
练习2-17 生成3的乘方表 (15 分)

输入格式:
输入在一行中给出一个非负整数n。
输出格式:
按照幂的递增顺序输出n+1行,每行格式为“pow(3,i) = 3的i次幂的值”。题目保证输出数据不超过长整型整数的范围。
输入样例:
3
结尾无空行
输出样例:
pow(3,0) = 1
pow(3,1) = 3
pow(3,2) = 9
pow(3,3) = 27
结尾无空行
#include<stdio.h>
#include<math.h> //调用math.h库方便使用数学中的函数
main()
{
int m,n,i;
scanf("%d",&n);
for(i=0;i<=n;i++)
{
m=pow(3,i); //幂函数
printf("pow(3,%d) = %d\n",i,m);
}
}
练习2-18 求组合数 (15 分)

输入格式:
输入在一行中给出两个正整数m和n(m≤n),以空格分隔。
输出格式:
按照格式“result = 组合数计算结果”输出。题目保证结果在double类型范围内。
输入样例:
2 7
结尾无空行
输出样例:
result = 21
结尾无空行
#include<stdio.h>
double f(int n);//声明函数
int main()
{
double r;
int m,n;
scanf("%d %d",&m,&n);
r=f(n)/(f(m)*f(n-m));//调用函数
printf("result = %.lf",r);
return 0;
}
//定义双精度浮点型函数,用于计算阶乘,函数名为f 函数名看自己喜好随便取
double f(int n)//形参n,调用函数时需要传递实参
{
double s=1;
//通过for循环来计算阶乘
for(int i=2;i<=n;i++)
{
s*=i;
}
return s;//返回阶乘的值
}
习题2-1 求整数均值 (10 分)
本题要求编写程序,计算4个整数的和与平均值。题目保证输入与输出均在整型范围内。
输入格式:
输入在一行中给出4个整数,其间以空格分隔。
输出格式:
在一行中按照格式“Sum = 和; Average = 平均值”顺序输出和与平均值,其中平均值精确到小数点后一位。
输入样例:
1 2 3 4
结尾无空行
输出样例:
Sum = 10; Average = 2.5
结尾无空行
#include<stdio.h>
main()
{
int a,b,c,d;
float sum,average;
scanf("%d %d %d %d",&a,&b,&c,&d);
sum=a+b+c+d;
average=sum/4;
//%.f保留整数
printf("Sum = %.f; Average = %.1f",sum,average);
}
习题2-2 阶梯电价 (15 分)
为了提倡居民节约用电,某省电力公司执行“阶梯电价”,安装一户一表的居民用户电价分为两个“阶梯”:月用电量50千瓦时(含50千瓦时)以内的,电价为0.53元/千瓦时;超过50千瓦时的,超出部分的用电量,电价上调0.05元/千瓦时。请编写程序计算电费。
输入格式:
输入在一行中给出某用户的月用电量(单位:千瓦时)。
输出格式:
在一行中输出该用户应支付的电费(元),结果保留两位小数,格式如:“cost = 应付电费值”;若用电量小于0,则输出"Invalid Value!"。
输入样例1:
10
结尾无空行
输出样例1:
cost = 5.30
结尾无空行
输入样例2:
100
输出样例2:
cost = 55.50
#include<stdio.h>
main()
{
float e,cost;
scanf("%f",&e);
if(e<0)
printf("Invalid Value!");
else{
if(e<=50)
cost=e*0.53;
else
cost=(e-50)*0.58+50*0.53;
printf("cost = %.2f",cost);}
}
习题2-3 求平方与倒数序列的部分和 (15 分)
本题要求对两个正整数m和n(m≤n)编写程序,计算序列和m
2
+1/m+(m+1)
2
+1/(m+1)+⋯+n
2
+1/n。
输入格式:
输入在一行中给出两个正整数m和n(m≤n),其间以空格分开。
输出格式:
在一行中按照“sum = S”的格式输出部分和的值S,精确到小数点后六位。题目保证计算结果不超过双精度范围。
输入样例:
5 10
结尾无空行
输出样例:
sum = 355.845635
#include<stdio.h>
#include<math.h>
main()
{
int m,n,i;
double sum;
scanf("%d%d",&m,&n);
for(i=m;i<=n;i++)
{
sum+=pow(i,2)+1.0/i;
}
printf("sum = %.6f",sum);
}
习题2-4 求交错序列前N项和 (15 分)
本题要求编写程序,计算交错序列 1-2/3+3/5-4/7+5/9-6/11+… 的前N项之和。
输入格式:
输入在一行中给出一个正整数N。
输出格式:
在一行中输出部分和的值,结果保留三位小数。
输入样例:
5
结尾无空行
输出样例:
0.917
结尾无空行
#include<stdio.h>
main()
{
int n,flag=1;
float sum=0,i,j=1;
scanf("%d",&n);
for(i=1;i<=n;i++)
{
sum+=flag*i/j;
j+=2;
flag*=-1;
}
printf("%.3f",sum);
}
习题2-5 求平方根序列前N项和 (15 分)

输入格式:
输入在一行中给出一个正整数N。
输出格式:
在一行中按照“sum = S”的格式输出部分和的值S,精确到小数点后两位。题目保证计算结果不超过双精度范围。
输入样例:
10
结尾无空行
输出样例:
sum = 22.47
结尾无空行
#include<stdio.h>
#include<math.h>
main()
{
int n,i;
double sum;
scanf("%d",&n);
for(i=1;i<=n;i++)
sum+=sqrt(i); //平方根
printf("sum = %.2f",sum);
}
习题2-6 求阶乘序列前N项和 (15 分)
本题要求编写程序,计算序列 1!+2!+3!+⋯ 的前N项之和。
输入格式:
输入在一行中给出一个不超过12的正整数N。
输出格式:
在一行中输出整数结果。
输入样例:
5
结尾无空行
输出样例:
153
结尾无空行
#include<stdio.h>
#include<math.h>
//定义双精度浮点型函数,用于求阶乘
double f(int n)
{
int i;
double sum=1;
for(i=1;i<=n;i++)
sum*=i;
return sum; //返回前n项阶乘的值
}
main()
{
int n,i;
double sum=0;
scanf("%d",&n);
for(i=1;i<=n;i++)
{
sum+=f(i); //前n项阶乘的和
}
printf("%.f",sum);
}
总结
习题集里没有2-16题哦
这些答案都是仅供参考
更多推荐


所有评论(0)