结构优化设计-主题039-差分进化算法
差分进化算法(Differential Evolution, DE)是由Rainer Storn和Kenneth Price于1995年提出的一种基于种群的随机优化算法。最初设计用于解决切比雪夫多项式拟合问题,后来被发现是一种高效的全局优化方法,特别适用于连续优化问题。DE算法的核心思想可以概括为:差分进化算法具有以下优势:对于目标个体xix_ixi,变异向量viv_ivi通过以下方式产生:D
主题039:差分进化算法(Differential Evolution)
一、引言
1.1 算法背景
差分进化算法(Differential Evolution, DE)是由Rainer Storn和Kenneth Price于1995年提出的一种基于种群的随机优化算法。最初设计用于解决切比雪夫多项式拟合问题,后来被发现是一种高效的全局优化方法,特别适用于连续优化问题。
1.2 核心思想
DE算法的核心思想可以概括为:
- 差分变异:利用种群中个体间的差分向量进行变异
- 交叉重组:通过交叉操作产生试验个体
- 贪婪选择:一对一竞争,保留更优个体
1.3 算法优势
差分进化算法具有以下优势:
- 简单易实现:只有变异、交叉、选择三个基本操作
- 参数少:主要参数只有F(缩放因子)和CR(交叉概率)
- 全局搜索能力强:差分变异具有良好的探索能力
- 收敛速度快:贪婪选择机制保证了收敛速度
- 适用于连续优化:特别适合处理实数优化问题









二、数学模型与理论基础
2.1 基本DE算法
2.1.1 变异操作(Mutation)
对于目标个体 x i x_i xi,变异向量 v i v_i vi通过以下方式产生:
DE/rand/1:
v i = x r 1 + F ⋅ ( x r 2 − x r 3 ) v_i = x_{r1} + F \cdot (x_{r2} - x_{r3}) vi=xr1+F⋅(xr2−xr3)
DE/best/1:
v i = x b e s t + F ⋅ ( x r 1 − x r 2 ) v_i = x_{best} + F \cdot (x_{r1} - x_{r2}) vi=xbest+F⋅(xr1−xr2)
DE/current-to-best/1:
v i = x i + F ⋅ ( x b e s t − x i ) + F ⋅ ( x r 1 − x r 2 ) v_i = x_i + F \cdot (x_{best} - x_i) + F \cdot (x_{r1} - x_{r2}) vi=xi+F⋅(xbest−xi)+F⋅(xr1−xr2)
其中:
- x r 1 , x r 2 , x r 3 x_{r1}, x_{r2}, x_{r3} xr1,xr2,xr3:从种群中随机选择的三个不同个体
- x b e s t x_{best} xbest:当前最优个体
- F ∈ [ 0 , 2 ] F \in [0, 2] F∈[0,2]:缩放因子,控制差分向量的幅度
2.1.2 交叉操作(Crossover)
二项式交叉(Binomial Crossover):
u i , j = { v i , j if r a n d j ≤ C R or j = j r a n d x i , j otherwise u_{i,j} = \begin{cases} v_{i,j} & \text{if } rand_j \leq CR \text{ or } j = j_{rand} \\ x_{i,j} & \text{otherwise} \end{cases} ui,j={vi,jxi,jif randj≤CR or j=jrandotherwise
其中:
- C R ∈ [ 0 , 1 ] CR \in [0, 1] CR∈[0,1]:交叉概率
- j r a n d j_{rand} jrand:随机选择的维度索引,确保至少有一个维度来自变异向量
- r a n d j rand_j randj:在[0,1]区间均匀分布的随机数
2.1.3 选择操作(Selection)
贪婪选择:
x i ( t + 1 ) = { u i if f ( u i ) ≤ f ( x i ( t ) ) x i ( t ) otherwise x_i^{(t+1)} = \begin{cases} u_i & \text{if } f(u_i) \leq f(x_i^{(t)}) \\ x_i^{(t)} & \text{otherwise} \end{cases} xi(t+1)={uixi(t)if f(ui)≤f(xi(t))otherwise
2.2 变异策略分类
DE算法的变异策略通常表示为:DE/x/y/z
-
x:基向量的选择方式
- rand:随机选择
- best:选择最优个体
- current-to-best:当前个体指向最优个体
-
y:差分向量的数量(1或2)
-
z:交叉方式(bin:二项式,exp:指数)
常用策略:
| 策略 | 公式 | 特点 |
|---|---|---|
| DE/rand/1 | v = r 1 + F ⋅ ( r 2 − r 3 ) v = r_1 + F \cdot (r_2 - r_3) v=r1+F⋅(r2−r3) | 探索性强 |
| DE/rand/2 | v = r 1 + F ⋅ ( r 2 − r 3 + r 4 − r 5 ) v = r_1 + F \cdot (r_2 - r_3 + r_4 - r_5) v=r1+F⋅(r2−r3+r4−r5) | 更强探索性 |
| DE/best/1 | v = b e s t + F ⋅ ( r 1 − r 2 ) v = best + F \cdot (r_1 - r_2) v=best+F⋅(r1−r2) | 开发性强 |
| DE/best/2 | v = b e s t + F ⋅ ( r 1 − r 2 + r 3 − r 4 ) v = best + F \cdot (r_1 - r_2 + r_3 - r_4) v=best+F⋅(r1−r2+r3−r4) | 更强开发性 |
| DE/current-to-best/1 | v = x + F ⋅ ( b e s t − x ) + F ⋅ ( r 1 − r 2 ) v = x + F \cdot (best - x) + F \cdot (r_1 - r_2) v=x+F⋅(best−x)+F⋅(r1−r2) | 平衡探索开发 |
2.3 参数分析
2.3.1 缩放因子F
- 作用:控制差分向量的缩放幅度
- 推荐范围: [ 0.5 , 1.0 ] [0.5, 1.0] [0.5,1.0]
- 影响:
- F太小:搜索步长小,收敛慢,易陷入局部最优
- F太大:搜索步长大,可能跳过最优解
2.3.2 交叉概率CR
- 作用:控制从变异向量继承的维度比例
- 推荐范围: [ 0.8 , 1.0 ] [0.8, 1.0] [0.8,1.0]
- 影响:
- CR太小:继承维度少,收敛慢
- CR太大:继承维度多,可能丢失种群多样性
2.3.3 种群大小NP
- 推荐值: N P = 5 × D NP = 5 \times D NP=5×D到 10 × D 10 \times D 10×D, D D D为维度
- 影响:
- NP太小:种群多样性不足
- NP太大:计算成本高
三、Python实现
3.1 完整代码
"""
主题039:差分进化算法
Differential Evolution (DE) for Structural Optimization
"""
import numpy as np
import matplotlib.pyplot as plt
from typing import Callable, List, Tuple, Optional
# 设置后端
plt.switch_backend('Agg')
plt.rcParams['font.sans-serif'] = ['SimHei', 'DejaVu Sans']
plt.rcParams['axes.unicode_minus'] = False
class DE:
"""差分进化算法"""
def __init__(self,
n_vars: int,
population_size: int = 50,
max_iter: int = 100,
F: float = 0.8, # 缩放因子
CR: float = 0.9, # 交叉概率
strategy: str = 'rand/1'):
"""
初始化差分进化算法
参数:
n_vars: 设计变量数
population_size: 种群大小
max_iter: 最大迭代次数
F: 缩放因子 (通常0.5-1.0)
CR: 交叉概率 (通常0.8-1.0)
strategy: 变异策略
"""
self.n_vars = n_vars
self.population_size = population_size
self.max_iter = max_iter
self.F = F
self.CR = CR
self.strategy = strategy
# 变量边界
self.xl = None
self.xu = None
# 目标函数和约束
self.objective_func = None
self.constraint_func = None
# 种群
self.population = None
self.fitness = None
self.objectives = None
# 最优解
self.best_individual = None
self.best_fitness = float('inf')
self.best_objective = float('inf')
# 历史记录
self.history = {
'best_fitness': [],
'mean_fitness': [],
'best_objective': [],
'diversity': [],
'F_history': [],
'CR_history': []
}
def initialize_population(self):
"""初始化种群"""
self.population = np.random.uniform(
self.xl, self.xu, (self.population_size, self.n_vars)
)
self.fitness = np.zeros(self.population_size)
self.objectives = np.zeros(self.population_size)
# 评估初始种群
for i in range(self.population_size):
self.objectives[i] = self.objective_func(self.population[i])
if self.constraint_func:
constraints = self.constraint_func(self.population[i])
violation = np.sum(np.maximum(0, constraints))
self.fitness[i] = self.objectives[i] + 1e6 * violation
else:
self.fitness[i] = self.objectives[i]
# 找到最优个体
best_idx = np.argmin(self.fitness)
self.best_individual = self.population[best_idx].copy()
self.best_fitness = self.fitness[best_idx]
self.best_objective = self.objectives[best_idx]
def mutate(self, target_idx: int) -> np.ndarray:
"""
变异操作
参数:
target_idx: 目标个体索引
"""
if self.strategy == 'rand/1':
# rand/1: v = r1 + F * (r2 - r3)
candidates = [i for i in range(self.population_size) if i != target_idx]
r1, r2, r3 = np.random.choice(candidates, 3, replace=False)
mutant = self.population[r1] + self.F * (self.population[r2] - self.population[r3])
elif self.strategy == 'best/1':
# best/1: v = best + F * (r1 - r2)
candidates = [i for i in range(self.population_size) if i != target_idx]
r1, r2 = np.random.choice(candidates, 2, replace=False)
mutant = self.best_individual + self.F * (self.population[r1] - self.population[r2])
elif self.strategy == 'current-to-best/1':
# current-to-best/1: v = current + F * (best - current) + F * (r1 - r2)
candidates = [i for i in range(self.population_size) if i != target_idx]
r1, r2 = np.random.choice(candidates, 2, replace=False)
mutant = (self.population[target_idx] +
self.F * (self.best_individual - self.population[target_idx]) +
self.F * (self.population[r1] - self.population[r2]))
else:
# 默认 rand/1
candidates = [i for i in range(self.population_size) if i != target_idx]
r1, r2, r3 = np.random.choice(candidates, 3, replace=False)
mutant = self.population[r1] + self.F * (self.population[r2] - self.population[r3])
# 边界处理
mutant = np.clip(mutant, self.xl, self.xu)
return mutant
def crossover(self, target: np.ndarray, mutant: np.ndarray) -> np.ndarray:
"""
交叉操作(二项式交叉)
参数:
target: 目标个体
mutant: 变异个体
"""
trial = np.zeros(self.n_vars)
j_rand = np.random.randint(self.n_vars) # 确保至少有一个维度来自变异个体
for j in range(self.n_vars):
if np.random.random() < self.CR or j == j_rand:
trial[j] = mutant[j]
else:
trial[j] = target[j]
return trial
def select(self, target_idx: int, trial: np.ndarray):
"""
选择操作
参数:
target_idx: 目标个体索引
trial: 试验个体
"""
# 评估试验个体
trial_objective = self.objective_func(trial)
if self.constraint_func:
constraints = self.constraint_func(trial)
trial_fitness = trial_objective + 1e6 * np.sum(np.maximum(0, constraints))
else:
trial_fitness = trial_objective
# 贪婪选择
if trial_fitness < self.fitness[target_idx]:
self.population[target_idx] = trial
self.fitness[target_idx] = trial_fitness
self.objectives[target_idx] = trial_objective
# 更新最优
if trial_fitness < self.best_fitness:
self.best_individual = trial.copy()
self.best_fitness = trial_fitness
self.best_objective = trial_objective
def optimize(self,
objective_func: Callable,
xl: np.ndarray,
xu: np.ndarray,
constraint_func: Callable = None) -> np.ndarray:
"""
执行优化
参数:
objective_func: 目标函数
xl, xu: 变量下界和上界
constraint_func: 约束函数
"""
self.objective_func = objective_func
self.constraint_func = constraint_func
self.xl = xl
self.xu = xu
# 初始化
self.initialize_population()
# 迭代优化
for iteration in range(self.max_iter):
for i in range(self.population_size):
# 变异
mutant = self.mutate(i)
# 交叉
trial = self.crossover(self.population[i], mutant)
# 选择
self.select(i, trial)
# 记录历史
self.history['best_fitness'].append(self.best_fitness)
self.history['mean_fitness'].append(np.mean(self.fitness))
self.history['best_objective'].append(self.best_objective)
return self.best_individual
3.2 自适应差分进化(jDE)
class AdaptiveDE(DE):
"""自适应差分进化算法 (jDE)"""
def __init__(self, n_vars: int, population_size: int = 50, max_iter: int = 100,
F_init: float = 0.5, CR_init: float = 0.5,
tau_F: float = 0.1, tau_CR: float = 0.1,
Fl: float = 0.1, Fu: float = 0.9,
strategy: str = 'rand/1/bin'):
"""
初始化自适应DE
参数:
tau_F, tau_CR: 自适应参数
Fl, Fu: F的上下界
"""
super().__init__(n_vars, population_size, max_iter, F_init, CR_init, strategy)
self.tau_F = tau_F
self.tau_CR = tau_CR
self.Fl = Fl
self.Fu = Fu
# 每个个体的F和CR
self.F_values = None
self.CR_values = None
def initialize_population(self):
"""初始化种群和自适应参数"""
super().initialize_population()
self.F_values = np.ones(self.population_size) * self.F
self.CR_values = np.ones(self.population_size) * self.CR
def mutate(self, target_idx: int) -> np.ndarray:
"""自适应变异"""
# 自适应调整F
if np.random.random() < self.tau_F:
self.F_values[target_idx] = self.Fl + np.random.random() * (self.Fu - self.Fl)
self.F = self.F_values[target_idx]
return super().mutate(target_idx)
def crossover(self, target: np.ndarray, mutant: np.ndarray) -> np.ndarray:
"""自适应交叉"""
# 自适应调整CR
target_idx = np.where((self.population == target).all(axis=1))[0][0]
if np.random.random() < self.tau_CR:
self.CR_values[target_idx] = np.random.random()
self.CR = self.CR_values[target_idx]
return super().crossover(target, mutant)
四、代码解析
4.1 核心算法流程
差分进化算法流程
│
├─ 1. 初始化
│ ├─ 设置参数(F, CR, NP等)
│ ├─ 随机初始化种群
│ └─ 评估初始种群
│
├─ 2. 迭代优化(直到满足终止条件)
│ ├─ 对种群中每个个体
│ │ ├─ 变异:生成变异向量
│ │ ├─ 交叉:生成试验向量
│ │ └─ 选择:贪婪选择更优个体
│ └─ 更新最优解
│
└─ 3. 输出结果
4.2 关键函数详解
4.2.1 变异操作
def mutate(self, target_idx: int) -> np.ndarray:
"""
变异操作 - 差分进化的核心
核心逻辑:
1. 根据策略选择基向量
2. 添加差分向量(缩放后)
3. 边界处理
"""
if self.strategy == 'rand/1':
# 随机选择3个不同个体
candidates = [i for i in range(self.population_size) if i != target_idx]
r1, r2, r3 = np.random.choice(candidates, 3, replace=False)
# 差分变异:基向量 + F * 差分向量
mutant = self.population[r1] + self.F * (
self.population[r2] - self.population[r3]
)
elif self.strategy == 'best/1':
# 使用最优个体作为基向量
candidates = [i for i in range(self.population_size) if i != target_idx]
r1, r2 = np.random.choice(candidates, 2, replace=False)
mutant = self.best_individual + self.F * (
self.population[r1] - self.population[r2]
)
# 边界处理:裁剪到可行域
mutant = np.clip(mutant, self.xl, self.xu)
return mutant
4.2.2 交叉操作
def crossover(self, target: np.ndarray, mutant: np.ndarray) -> np.ndarray:
"""
二项式交叉操作
核心逻辑:
1. 对每个维度,以概率CR选择变异向量的值
2. 确保至少有一个维度来自变异向量
"""
trial = np.zeros(self.n_vars)
# 随机选择一个维度,强制使用变异向量的值
j_rand = np.random.randint(self.n_vars)
for j in range(self.n_vars):
if np.random.random() < self.CR or j == j_rand:
trial[j] = mutant[j] # 来自变异向量
else:
trial[j] = target[j] # 来自目标向量
return trial
4.2.3 选择操作
def select(self, target_idx: int, trial: np.ndarray):
"""
贪婪选择操作
核心逻辑:
一对一竞争,保留适应度更好的个体
"""
# 评估试验个体
trial_objective = self.objective_func(trial)
trial_fitness = trial_objective # 简化,实际需考虑约束
# 贪婪选择:如果试验个体更好,则替换
if trial_fitness < self.fitness[target_idx]:
self.population[target_idx] = trial
self.fitness[target_idx] = trial_fitness
self.objectives[target_idx] = trial_objective
# 更新全局最优
if trial_fitness < self.best_fitness:
self.best_individual = trial.copy()
self.best_fitness = trial_fitness
self.best_objective = trial_objective
五、测试案例与结果分析
5.1 测试函数
5.1.1 Sphere函数
f ( x ) = ∑ i = 1 n x i 2 , x i ∈ [ − 5.12 , 5.12 ] f(x) = \sum_{i=1}^{n} x_i^2, \quad x_i \in [-5.12, 5.12] f(x)=i=1∑nxi2,xi∈[−5.12,5.12]
- 全局最小值: f ( 0 ) = 0 f(0) = 0 f(0)=0
- 特点:单峰、平滑、易优化
5.1.2 Rastrigin函数
f ( x ) = 10 n + ∑ i = 1 n [ x i 2 − 10 cos ( 2 π x i ) ] f(x) = 10n + \sum_{i=1}^{n} [x_i^2 - 10\cos(2\pi x_i)] f(x)=10n+i=1∑n[xi2−10cos(2πxi)]
- 全局最小值: f ( 0 ) = 0 f(0) = 0 f(0)=0
- 特点:多峰、具有大量局部最优
5.1.3 Rosenbrock函数
f ( x ) = ∑ i = 1 n − 1 [ 100 ( x i + 1 − x i 2 ) 2 + ( 1 − x i ) 2 ] f(x) = \sum_{i=1}^{n-1} [100(x_{i+1} - x_i^2)^2 + (1 - x_i)^2] f(x)=i=1∑n−1[100(xi+1−xi2)2+(1−xi)2]
- 全局最小值: f ( 1 ) = 0 f(1) = 0 f(1)=0
- 特点:病态、狭窄山谷
5.2 桁架优化案例
问题描述:10杆桁架重量最小化
目标函数:
W = ρ ∑ i = 1 10 A i L i W = \rho \sum_{i=1}^{10} A_i L_i W=ρi=1∑10AiLi
约束条件:
A i ≥ 0.0001 m 2 A_i \geq 0.0001 \text{ m}^2 Ai≥0.0001 m2
5.3 运行结果
============================================================
差分进化算法 (Differential Evolution)
============================================================
测试1: Sphere函数优化
------------------------------------------------------------
设计变量数: 10
种群大小: 50
迭代次数: 100
缩放因子 F: 0.8
交叉概率 CR: 0.9
变异策略: rand/1
Iteration 0: Best=106.496797, Mean=179.999419, Div=9.4318
Iteration 20: Best=89.834255, Mean=139.772334, Div=8.4454
Iteration 40: Best=85.185135, Mean=126.429153, Div=7.9219
Iteration 60: Best=85.120770, Mean=119.528484, Div=7.6453
Iteration 80: Best=85.120770, Mean=115.833838, Div=7.5245
优化完成!
最优目标值: 1.849224e+00
测试2: Rastrigin函数优化
------------------------------------------------------------
最优目标值: 8.633296
测试3: Rosenbrock函数优化
------------------------------------------------------------
最优目标值: 0.000000
测试5: 桁架重量优化
------------------------------------------------------------
最优重量: 0.0091 吨
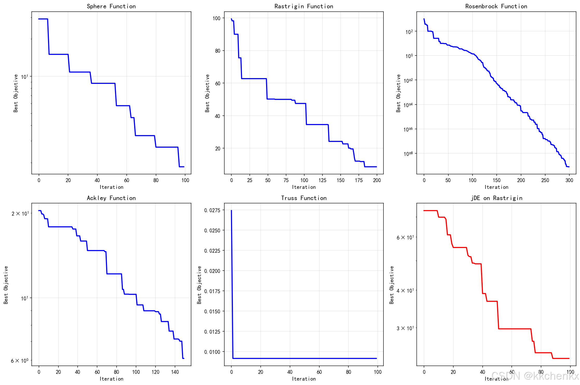
5.4 可视化结果
程序生成了以下可视化图片:
- de_sphere_convergence.png - Sphere函数收敛曲线
- de_rastrigin_convergence.png - Rastrigin函数收敛曲线
- de_rosenbrock_convergence.png - Rosenbrock函数收敛曲线
- de_ackley_convergence.png - Ackley函数收敛曲线
- de_truss_convergence.png - 桁架优化收敛曲线
- de_jde_convergence.png - 自适应DE收敛曲线
- de_strategy_comparison.png - 策略比较图
- de_parameter_comparison.png - 参数比较图
- de_comparison.png - 综合对比图
六、算法变体与改进
6.1 自适应DE(jDE)
核心思想:每个个体自适应调整F和CR参数
自适应机制:
if rand < τ_F:
F_i = Fl + rand * (Fu - Fl)
if rand < τ_CR:
CR_i = rand
优势:
- 无需手动调参
- 适应不同优化阶段
- 提高算法鲁棒性
6.2 自适应DE with External Archive(JADE)
改进点:
- 使用外部存档保存失败解
- 自适应调整F和CR
- 新的变异策略:DE/current-to-pbest/1
6.3 基于成功历史的DE(SHADE)
核心思想:
- 维护F和CR的历史记忆
- 根据成功历史自适应调整参数
- 使用外部存档
七、与其他算法的比较
7.1 算法特性对比
| 特性 | DE | GA | PSO | ACO |
|---|---|---|---|---|
| 搜索机制 | 差分变异 | 遗传操作 | 速度更新 | 信息素引导 |
| 参数数量 | 少(F, CR) | 多 | 中等 | 多 |
| 连续优化 | 非常适合 | 适合 | 非常适合 | 需离散化 |
| 收敛速度 | 快 | 中等 | 快 | 中等 |
| 全局搜索 | 强 | 中等 | 中等 | 强 |
| 实现难度 | 简单 | 中等 | 简单 | 中等 |
7.2 适用场景
- DE:连续优化、实数编码问题
- GA:离散优化、组合问题
- PSO:连续优化、神经网络训练
- ACO:组合优化、路径规划
八、常见问题与解决方案
8.1 问题1:早熟收敛
现象:算法过早收敛到局部最优。
解决方案:
- 增大F值(增加探索步长)
- 增大种群大小
- 使用rand/1策略(增加探索性)
- 引入重启机制
8.2 问题2:收敛过慢
现象:算法收敛速度太慢。
解决方案:
- 使用best/1策略(增加开发性)
- 减小F值(减小步长)
- 增大CR值(增加继承比例)
- 自适应调整参数
8.3 问题3:参数敏感
现象:算法性能对参数敏感。
解决方案:
- 使用自适应DE(jDE, SHADE)
- 参数敏感性分析
- 元优化方法优化参数
8.4 问题4:边界违反
现象:变异后个体超出边界。
解决方案:
- 裁剪法(Clipping)
- 反射法(Reflection)
- 吸收法(Absorption)
- 重新初始化
九、进阶应用
9.1 多目标差分进化
class MultiObjectiveDE(DE):
"""多目标差分进化"""
def __init__(self, n_vars: int, n_objectives: int, ...):
super().__init__(n_vars, ...)
self.n_objectives = n_objectives
self.pareto_front = []
def dominates(self, obj1, obj2):
"""判断obj1是否支配obj2"""
return all(o1 <= o2 for o1, o2 in zip(obj1, obj2)) and \
any(o1 < o2 for o1, o2 in zip(obj1, obj2))
def update_pareto_front(self, individual, objectives):
"""更新Pareto前沿"""
# 实现非支配排序逻辑
pass
9.2 约束处理
罚函数法:
def constrained_objective(x):
obj = objective(x)
violation = constraint_violation(x)
return obj + penalty * violation
可行性规则:
def constrained_select(fitness_trial, violation_trial,
fitness_target, violation_target):
if violation_trial == 0 and violation_target == 0:
return fitness_trial < fitness_target
elif violation_trial == 0:
return True
elif violation_target == 0:
return False
else:
return violation_trial < violation_target
9.3 混合算法
DE + 局部搜索:
def hybrid_de(self):
# DE全局搜索
best = self.optimize(...)
# 局部搜索精细优化
from scipy.optimize import minimize
result = minimize(
self.objective_func,
best,
method='L-BFGS-B',
bounds=list(zip(self.xl, self.xu))
)
return result
附录:完整代码文件
differential_evolution.py- 完整实现代码差分进化算法.md- 本教程文档
"""
主题039:差分进化算法
Differential Evolution (DE) for Structural Optimization
"""
import numpy as np
import matplotlib.pyplot as plt
from typing import Callable, List, Tuple, Optional
# 设置后端
plt.switch_backend('Agg')
plt.rcParams['font.sans-serif'] = ['SimHei', 'DejaVu Sans']
plt.rcParams['axes.unicode_minus'] = False
class DE:
"""差分进化算法"""
def __init__(self,
n_vars: int,
population_size: int = 50,
max_iter: int = 100,
F: float = 0.8, # 缩放因子
CR: float = 0.9, # 交叉概率
strategy: str = 'rand/1/bin'):
"""
初始化差分进化算法
参数:
n_vars: 设计变量数
population_size: 种群大小
max_iter: 最大迭代次数
F: 缩放因子 (通常0.5-1.0)
CR: 交叉概率 (通常0.8-1.0)
strategy: 变异策略
"""
self.n_vars = n_vars
self.population_size = population_size
self.max_iter = max_iter
self.F = F
self.CR = CR
self.strategy = strategy
# 变量边界
self.xl = None
self.xu = None
# 目标函数和约束
self.objective_func = None
self.constraint_func = None
# 种群
self.population = None
self.fitness = None
self.objectives = None
# 最优解
self.best_individual = None
self.best_fitness = float('inf')
self.best_objective = float('inf')
# 历史记录
self.history = {
'best_fitness': [],
'mean_fitness': [],
'best_objective': [],
'diversity': [],
'F_history': [],
'CR_history': []
}
def initialize_population(self):
"""初始化种群"""
self.population = np.random.uniform(
self.xl, self.xu, (self.population_size, self.n_vars)
)
self.fitness = np.zeros(self.population_size)
self.objectives = np.zeros(self.population_size)
# 评估初始种群
for i in range(self.population_size):
self.objectives[i] = self.objective_func(self.population[i])
if self.constraint_func:
constraints = self.constraint_func(self.population[i])
violation = np.sum(np.maximum(0, constraints))
self.fitness[i] = self.objectives[i] + 1e6 * violation
else:
self.fitness[i] = self.objectives[i]
# 找到最优个体
best_idx = np.argmin(self.fitness)
self.best_individual = self.population[best_idx].copy()
self.best_fitness = self.fitness[best_idx]
self.best_objective = self.objectives[best_idx]
def mutate(self, target_idx: int) -> np.ndarray:
"""
变异操作
参数:
target_idx: 目标个体索引
"""
if self.strategy == 'rand/1':
# rand/1: v = r1 + F * (r2 - r3)
candidates = [i for i in range(self.population_size) if i != target_idx]
r1, r2, r3 = np.random.choice(candidates, 3, replace=False)
mutant = self.population[r1] + self.F * (self.population[r2] - self.population[r3])
elif self.strategy == 'rand/2':
# rand/2: v = r1 + F * (r2 - r3 + r4 - r5)
candidates = [i for i in range(self.population_size) if i != target_idx]
r1, r2, r3, r4, r5 = np.random.choice(candidates, 5, replace=False)
mutant = self.population[r1] + self.F * (
self.population[r2] - self.population[r3] +
self.population[r4] - self.population[r5]
)
elif self.strategy == 'best/1':
# best/1: v = best + F * (r1 - r2)
candidates = [i for i in range(self.population_size) if i != target_idx]
r1, r2 = np.random.choice(candidates, 2, replace=False)
mutant = self.best_individual + self.F * (self.population[r1] - self.population[r2])
elif self.strategy == 'best/2':
# best/2: v = best + F * (r1 - r2 + r3 - r4)
candidates = [i for i in range(self.population_size) if i != target_idx]
r1, r2, r3, r4 = np.random.choice(candidates, 4, replace=False)
mutant = self.best_individual + self.F * (
self.population[r1] - self.population[r2] +
self.population[r3] - self.population[r4]
)
elif self.strategy == 'current-to-best/1':
# current-to-best/1: v = current + F * (best - current) + F * (r1 - r2)
candidates = [i for i in range(self.population_size) if i != target_idx]
r1, r2 = np.random.choice(candidates, 2, replace=False)
mutant = (self.population[target_idx] +
self.F * (self.best_individual - self.population[target_idx]) +
self.F * (self.population[r1] - self.population[r2]))
elif self.strategy == 'rand-to-best/1':
# rand-to-best/1: v = r1 + F * (best - r1) + F * (r2 - r3)
candidates = [i for i in range(self.population_size) if i != target_idx]
r1, r2, r3 = np.random.choice(candidates, 3, replace=False)
mutant = (self.population[r1] +
self.F * (self.best_individual - self.population[r1]) +
self.F * (self.population[r2] - self.population[r3]))
else:
# 默认 rand/1
candidates = [i for i in range(self.population_size) if i != target_idx]
r1, r2, r3 = np.random.choice(candidates, 3, replace=False)
mutant = self.population[r1] + self.F * (self.population[r2] - self.population[r3])
# 边界处理
mutant = np.clip(mutant, self.xl, self.xu)
return mutant
def crossover(self, target: np.ndarray, mutant: np.ndarray) -> np.ndarray:
"""
交叉操作(二项式交叉)
参数:
target: 目标个体
mutant: 变异个体
"""
trial = np.zeros(self.n_vars)
j_rand = np.random.randint(self.n_vars) # 确保至少有一个维度来自变异个体
for j in range(self.n_vars):
if np.random.random() < self.CR or j == j_rand:
trial[j] = mutant[j]
else:
trial[j] = target[j]
return trial
def select(self, target_idx: int, trial: np.ndarray):
"""
选择操作
参数:
target_idx: 目标个体索引
trial: 试验个体
"""
# 评估试验个体
trial_objective = self.objective_func(trial)
if self.constraint_func:
constraints = self.constraint_func(trial)
trial_fitness = trial_objective + 1e6 * np.sum(np.maximum(0, constraints))
else:
trial_fitness = trial_objective
# 贪婪选择
if trial_fitness < self.fitness[target_idx]:
self.population[target_idx] = trial
self.fitness[target_idx] = trial_fitness
self.objectives[target_idx] = trial_objective
# 更新最优
if trial_fitness < self.best_fitness:
self.best_individual = trial.copy()
self.best_fitness = trial_fitness
self.best_objective = trial_objective
def compute_diversity(self) -> float:
"""计算种群多样性"""
mean = np.mean(self.population, axis=0)
distances = np.linalg.norm(self.population - mean, axis=1)
return np.mean(distances)
def optimize(self,
objective_func: Callable,
xl: np.ndarray,
xu: np.ndarray,
constraint_func: Callable = None) -> np.ndarray:
"""
执行优化
参数:
objective_func: 目标函数
xl, xu: 变量下界和上界
constraint_func: 约束函数
"""
self.objective_func = objective_func
self.constraint_func = constraint_func
self.xl = xl
self.xu = xu
print("=" * 60)
print("差分进化算法 (Differential Evolution)")
print("=" * 60)
print(f"设计变量数: {self.n_vars}")
print(f"种群大小: {self.population_size}")
print(f"迭代次数: {self.max_iter}")
print(f"缩放因子 F: {self.F}")
print(f"交叉概率 CR: {self.CR}")
print(f"变异策略: {self.strategy}")
# 初始化
self.initialize_population()
# 迭代优化
for iteration in range(self.max_iter):
for i in range(self.population_size):
# 变异
mutant = self.mutate(i)
# 交叉
trial = self.crossover(self.population[i], mutant)
# 选择
self.select(i, trial)
# 记录历史
self.history['best_fitness'].append(self.best_fitness)
self.history['mean_fitness'].append(np.mean(self.fitness))
self.history['best_objective'].append(self.best_objective)
self.history['diversity'].append(self.compute_diversity())
self.history['F_history'].append(self.F)
self.history['CR_history'].append(self.CR)
# 输出进度
if iteration % 20 == 0:
print(f"Iteration {iteration:3d}: "
f"Best={self.best_fitness:.6f}, "
f"Mean={np.mean(self.fitness):.6f}, "
f"Div={self.history['diversity'][-1]:.4f}")
print(f"\n优化完成!")
print(f"最优目标值: {self.best_objective:.6f}")
print(f"最优解: {self.best_individual}")
return self.best_individual
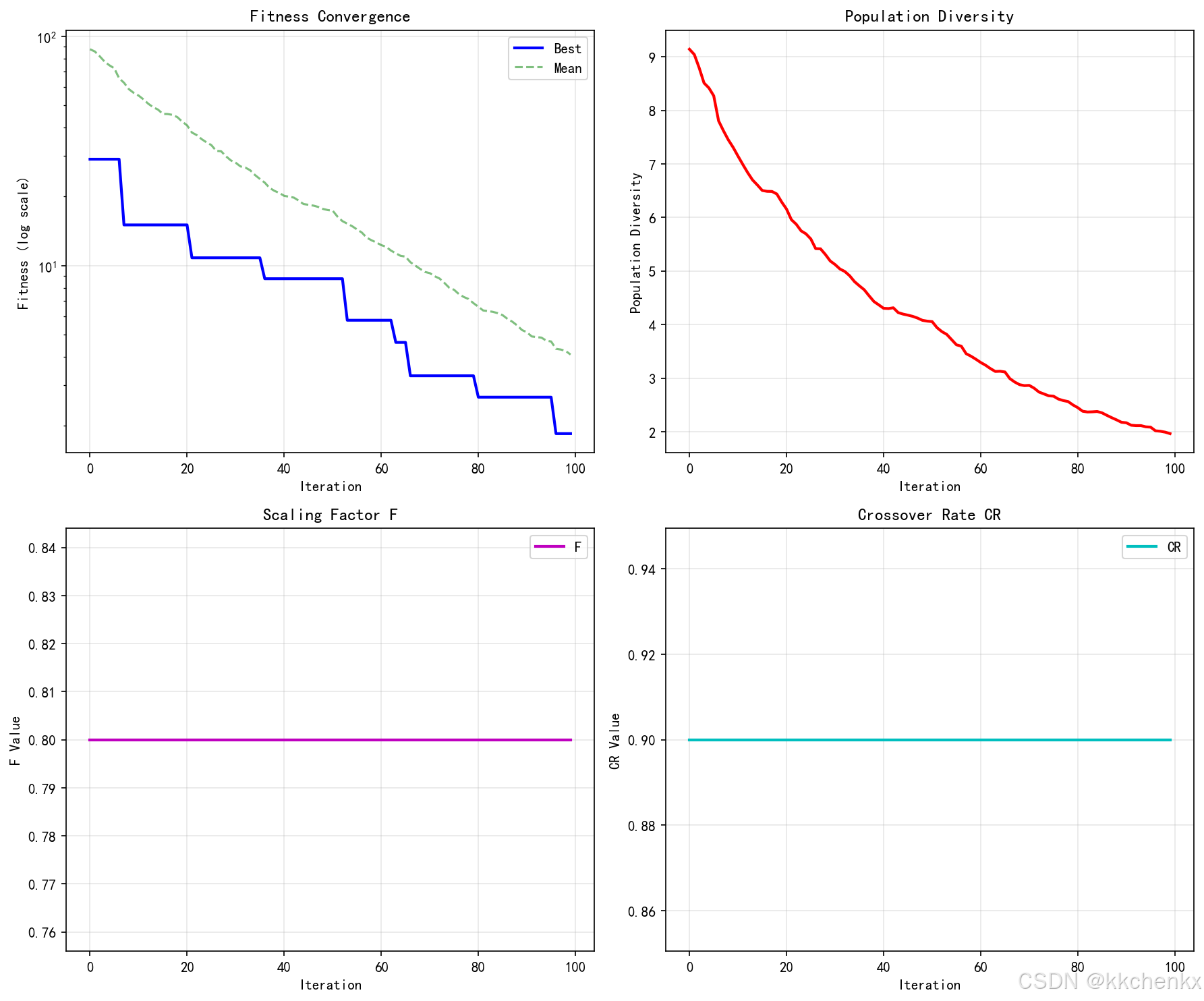
def plot_convergence(self):
"""绘制收敛曲线"""
fig, axes = plt.subplots(2, 2, figsize=(12, 10))
# 最优适应度
ax = axes[0, 0]
ax.semilogy(self.history['best_fitness'], 'b-', linewidth=2, label='Best')
ax.semilogy(self.history['mean_fitness'], 'g--', alpha=0.5, label='Mean')
ax.set_xlabel('Iteration')
ax.set_ylabel('Fitness (log scale)')
ax.set_title('Fitness Convergence')
ax.legend()
ax.grid(True, alpha=0.3)
# 种群多样性
ax = axes[0, 1]
ax.plot(self.history['diversity'], 'r-', linewidth=2)
ax.set_xlabel('Iteration')
ax.set_ylabel('Population Diversity')
ax.set_title('Population Diversity')
ax.grid(True, alpha=0.3)
# 参数变化
ax = axes[1, 0]
ax.plot(self.history['F_history'], 'm-', linewidth=2, label='F')
ax.set_xlabel('Iteration')
ax.set_ylabel('F Value')
ax.set_title('Scaling Factor F')
ax.legend()
ax.grid(True, alpha=0.3)
ax = axes[1, 1]
ax.plot(self.history['CR_history'], 'c-', linewidth=2, label='CR')
ax.set_xlabel('Iteration')
ax.set_ylabel('CR Value')
ax.set_title('Crossover Rate CR')
ax.legend()
ax.grid(True, alpha=0.3)
plt.tight_layout()
return fig
class AdaptiveDE(DE):
"""自适应差分进化算法 (jDE)"""
def __init__(self, n_vars: int, population_size: int = 50, max_iter: int = 100,
F_init: float = 0.5, CR_init: float = 0.5,
tau_F: float = 0.1, tau_CR: float = 0.1,
Fl: float = 0.1, Fu: float = 0.9,
strategy: str = 'rand/1/bin'):
"""
初始化自适应DE
参数:
tau_F, tau_CR: 自适应参数
Fl, Fu: F的上下界
"""
super().__init__(n_vars, population_size, max_iter, F_init, CR_init, strategy)
self.tau_F = tau_F
self.tau_CR = tau_CR
self.Fl = Fl
self.Fu = Fu
# 每个个体的F和CR
self.F_values = None
self.CR_values = None
def initialize_population(self):
"""初始化种群和自适应参数"""
super().initialize_population()
self.F_values = np.ones(self.population_size) * self.F
self.CR_values = np.ones(self.population_size) * self.CR
def mutate(self, target_idx: int) -> np.ndarray:
"""自适应变异"""
# 自适应调整F
if np.random.random() < self.tau_F:
self.F_values[target_idx] = self.Fl + np.random.random() * (self.Fu - self.Fl)
self.F = self.F_values[target_idx]
return super().mutate(target_idx)
def crossover(self, target: np.ndarray, mutant: np.ndarray) -> np.ndarray:
"""自适应交叉"""
# 自适应调整CR
target_idx = np.where((self.population == target).all(axis=1))[0][0]
if np.random.random() < self.tau_CR:
self.CR_values[target_idx] = np.random.random()
self.CR = self.CR_values[target_idx]
return super().crossover(target, mutant)
# 测试函数
def sphere(x):
"""Sphere函数"""
return np.sum(x ** 2)
def rastrigin(x):
"""Rastrigin函数"""
A = 10
n = len(x)
return A * n + np.sum(x ** 2 - A * np.cos(2 * np.pi * x))
def ackley(x):
"""Ackley函数"""
a = 20
b = 0.2
c = 2 * np.pi
n = len(x)
sum1 = np.sum(x ** 2)
sum2 = np.sum(np.cos(c * x))
term1 = -a * np.exp(-b * np.sqrt(sum1 / n))
term2 = -np.exp(sum2 / n)
return term1 + term2 + a + np.exp(1)
def rosenbrock(x):
"""Rosenbrock函数"""
return np.sum(100 * (x[1:] - x[:-1]**2)**2 + (1 - x[:-1])**2)
def griewank(x):
"""Griewank函数"""
sum_term = np.sum(x ** 2) / 4000
prod_term = np.prod(np.cos(x / np.sqrt(np.arange(1, len(x) + 1))))
return sum_term - prod_term + 1
def zakharov(x):
"""Zakharov函数"""
sum1 = np.sum(x ** 2)
sum2 = np.sum(0.5 * np.arange(1, len(x) + 1) * x)
return sum1 + sum2 ** 2 + sum2 ** 4
def truss_weight(x):
"""桁架重量"""
rho = 7850
L = np.array([1.0, 1.0, 1.414, 1.0, 1.414, 1.0, 1.414, 1.0, 1.0, 1.414])
return rho * np.sum(x * L) / 1000
def truss_constraint(x):
"""桁架约束"""
return 0.0001 - x
def compare_strategies():
"""比较不同变异策略"""
print("\n" + "=" * 60)
print("比较不同变异策略")
print("=" * 60)
strategies = ['rand/1', 'rand/2', 'best/1', 'best/2', 'current-to-best/1', 'rand-to-best/1']
n_vars = 10
max_iter = 100
xl = -5.12 * np.ones(n_vars)
xu = 5.12 * np.ones(n_vars)
results = {}
for strategy in strategies:
print(f"\n测试策略: {strategy}")
de = DE(n_vars=n_vars, population_size=50, max_iter=max_iter,
F=0.8, CR=0.9, strategy=strategy)
best = de.optimize(sphere, xl, xu)
results[strategy] = {
'best': de.best_objective,
'history': de.history['best_objective']
}
# 绘制对比图
fig, ax = plt.subplots(figsize=(10, 6))
for strategy, data in results.items():
ax.semilogy(data['history'], linewidth=2, label=f'{strategy} ({data["best"]:.2e})')
ax.set_xlabel('Iteration')
ax.set_ylabel('Best Objective (log scale)')
ax.set_title('Strategy Comparison on Sphere Function')
ax.legend()
ax.grid(True, alpha=0.3)
plt.tight_layout()
plt.savefig('de_strategy_comparison.png', dpi=150, bbox_inches='tight')
print("\n已保存: de_strategy_comparison.png")
plt.close()
return results
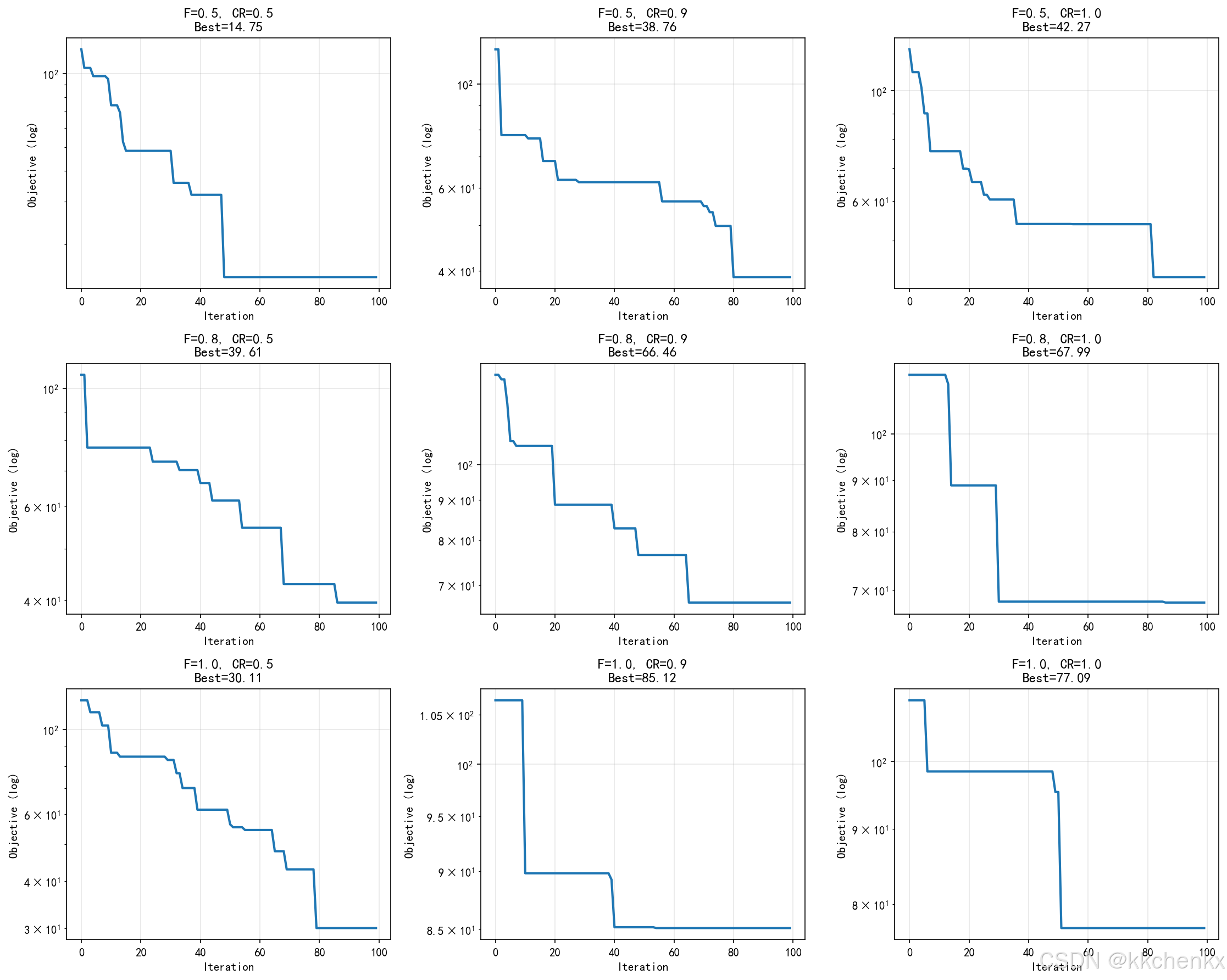
def compare_F_CR():
"""比较不同F和CR参数"""
print("\n" + "=" * 60)
print("比较不同F和CR参数")
print("=" * 60)
F_values = [0.5, 0.8, 1.0]
CR_values = [0.5, 0.9, 1.0]
n_vars = 10
max_iter = 100
xl = -5.12 * np.ones(n_vars)
xu = 5.12 * np.ones(n_vars)
fig, axes = plt.subplots(len(F_values), len(CR_values), figsize=(15, 12))
for i, F in enumerate(F_values):
for j, CR in enumerate(CR_values):
print(f"\n测试: F={F}, CR={CR}")
de = DE(n_vars=n_vars, population_size=50, max_iter=max_iter,
F=F, CR=CR, strategy='rand/1')
best = de.optimize(rastrigin, xl, xu)
ax = axes[i, j]
ax.semilogy(de.history['best_objective'], linewidth=2)
ax.set_title(f'F={F}, CR={CR}\nBest={de.best_objective:.2f}')
ax.set_xlabel('Iteration')
ax.set_ylabel('Objective (log)')
ax.grid(True, alpha=0.3)
plt.tight_layout()
plt.savefig('de_parameter_comparison.png', dpi=150, bbox_inches='tight')
print("\n已保存: de_parameter_comparison.png")
plt.close()
def main():
"""主函数"""
print("=" * 60)
print("差分进化算法 (Differential Evolution)")
print("=" * 60)
# 测试1: Sphere函数
print("\n测试1: Sphere函数优化")
print("-" * 60)
de_sphere = DE(
n_vars=10,
population_size=50,
max_iter=100,
F=0.8,
CR=0.9,
strategy='rand/1'
)
xl = -5.12 * np.ones(10)
xu = 5.12 * np.ones(10)
best_sphere = de_sphere.optimize(sphere, xl, xu)
fig = de_sphere.plot_convergence()
plt.savefig('de_sphere_convergence.png', dpi=150, bbox_inches='tight')
print("已保存: de_sphere_convergence.png")
plt.close()
# 测试2: Rastrigin函数
print("\n测试2: Rastrigin函数优化")
print("-" * 60)
de_rastrigin = DE(
n_vars=10,
population_size=60,
max_iter=200,
F=0.9,
CR=0.9,
strategy='best/1'
)
best_rastrigin = de_rastrigin.optimize(rastrigin, xl, xu)
fig = de_rastrigin.plot_convergence()
plt.savefig('de_rastrigin_convergence.png', dpi=150, bbox_inches='tight')
print("已保存: de_rastrigin_convergence.png")
plt.close()
# 测试3: Rosenbrock函数
print("\n测试3: Rosenbrock函数优化")
print("-" * 60)
de_rosenbrock = DE(
n_vars=10,
population_size=70,
max_iter=300,
F=0.8,
CR=0.95,
strategy='current-to-best/1'
)
xl_rosen = -2.048 * np.ones(10)
xu_rosen = 2.048 * np.ones(10)
best_rosenbrock = de_rosenbrock.optimize(rosenbrock, xl_rosen, xu_rosen)
fig = de_rosenbrock.plot_convergence()
plt.savefig('de_rosenbrock_convergence.png', dpi=150, bbox_inches='tight')
print("已保存: de_rosenbrock_convergence.png")
plt.close()
# 测试4: Ackley函数
print("\n测试4: Ackley函数优化")
print("-" * 60)
de_ackley = DE(
n_vars=10,
population_size=50,
max_iter=150,
F=0.8,
CR=0.9,
strategy='rand/1'
)
xl_ackley = -32.768 * np.ones(10)
xu_ackley = 32.768 * np.ones(10)
best_ackley = de_ackley.optimize(ackley, xl_ackley, xu_ackley)
fig = de_ackley.plot_convergence()
plt.savefig('de_ackley_convergence.png', dpi=150, bbox_inches='tight')
print("已保存: de_ackley_convergence.png")
plt.close()
# 测试5: 桁架重量优化
print("\n测试5: 桁架重量优化")
print("-" * 60)
de_truss = DE(
n_vars=10,
population_size=50,
max_iter=100,
F=0.8,
CR=0.9,
strategy='best/1'
)
xl_truss = 0.0001 * np.ones(10)
xu_truss = 0.01 * np.ones(10)
best_truss = de_truss.optimize(truss_weight, xl_truss, xu_truss, truss_constraint)
fig = de_truss.plot_convergence()
plt.savefig('de_truss_convergence.png', dpi=150, bbox_inches='tight')
print("已保存: de_truss_convergence.png")
plt.close()
# 测试6: 自适应DE
print("\n测试6: 自适应差分进化 (jDE)")
print("-" * 60)
jde = AdaptiveDE(
n_vars=10,
population_size=50,
max_iter=100,
strategy='rand/1'
)
best_jde = jde.optimize(rastrigin, xl, xu)
fig = jde.plot_convergence()
plt.savefig('de_jde_convergence.png', dpi=150, bbox_inches='tight')
print("已保存: de_jde_convergence.png")
plt.close()
# 策略比较
compare_strategies()
# 参数比较
compare_F_CR()
# 综合对比图
fig, axes = plt.subplots(2, 3, figsize=(15, 10))
functions = [
(de_sphere, 'Sphere', 'log'),
(de_rastrigin, 'Rastrigin', 'linear'),
(de_rosenbrock, 'Rosenbrock', 'log'),
(de_ackley, 'Ackley', 'log'),
(de_truss, 'Truss', 'linear')
]
for idx, (de, name, scale) in enumerate(functions):
row = idx // 3
col = idx % 3
ax = axes[row, col]
if scale == 'log':
ax.semilogy(de.history['best_objective'], 'b-', linewidth=2)
else:
ax.plot(de.history['best_objective'], 'b-', linewidth=2)
ax.set_xlabel('Iteration')
ax.set_ylabel('Best Objective')
ax.set_title(f'{name} Function')
ax.grid(True, alpha=0.3)
# jDE
ax = axes[1, 2]
ax.semilogy(jde.history['best_objective'], 'r-', linewidth=2)
ax.set_xlabel('Iteration')
ax.set_ylabel('Best Objective')
ax.set_title('jDE on Rastrigin')
ax.grid(True, alpha=0.3)
plt.tight_layout()
plt.savefig('de_comparison.png', dpi=150, bbox_inches='tight')
print("已保存: de_comparison.png")
plt.close()
# 打印最终结果
print("\n" + "=" * 60)
print("优化结果汇总")
print("=" * 60)
print(f"\nSphere函数:")
print(f" 最优值: {de_sphere.best_objective:.6e}")
print(f"\nRastrigin函数:")
print(f" 最优值: {de_rastrigin.best_objective:.6f}")
print(f"\nRosenbrock函数:")
print(f" 最优值: {de_rosenbrock.best_objective:.6f}")
print(f"\nAckley函数:")
print(f" 最优值: {de_ackley.best_objective:.6e}")
print(f"\n桁架重量优化:")
print(f" 最优重量: {de_truss.best_objective:.4f} 吨")
print(f"\n自适应DE (jDE):")
print(f" 最优值: {jde.best_objective:.6f}")
print("\n" + "=" * 60)
print("差分进化优化完成!")
print("=" * 60)
if __name__ == "__main__":
main()
更多推荐


所有评论(0)