结构动力学仿真-主题068-不确定性量化
不确定性量化(Uncertainty Quantification, UQ)是现代结构动力学分析的重要组成部分。本主题系统介绍结构动力学中不确定性的来源、分类和量化方法,包括随机有限元方法、多项式混沌展开、贝叶斯模型更新和可靠性分析等核心技术。通过Python实现多个典型案例,展示如何在实际工程问题中处理材料参数、几何尺寸、边界条件和载荷的不确定性,为结构的安全评估和优化设计提供理论基础和实践指导
主题068:结构动力学不确定性量化
摘要
不确定性量化(Uncertainty Quantification, UQ)是现代结构动力学分析的重要组成部分。本主题系统介绍结构动力学中不确定性的来源、分类和量化方法,包括随机有限元方法、多项式混沌展开、贝叶斯模型更新和可靠性分析等核心技术。通过Python实现多个典型案例,展示如何在实际工程问题中处理材料参数、几何尺寸、边界条件和载荷的不确定性,为结构的安全评估和优化设计提供理论基础和实践指导。
关键词
不确定性量化、随机有限元、多项式混沌、贝叶斯推断、可靠性分析、蒙特卡洛方法、结构动力学
















1. 引言
1.1 不确定性的来源
在结构动力学问题中,不确定性主要来源于以下几个方面:
1. 材料参数的不确定性
材料属性如弹性模量、密度、阻尼比等存在固有的随机性。即使是同一批材料,其力学性能也会有一定的分散性。这种不确定性通常可以用概率分布来描述,如正态分布、对数正态分布等。
2. 几何尺寸的不确定性
制造公差、施工误差导致实际结构的几何尺寸与设计值存在偏差。对于复杂结构,这种几何不确定性可能显著影响动力响应特性。
3. 边界条件的不确定性
实际结构的支撑条件往往难以精确确定,如地基刚度、连接刚度等都可能存在不确定性。
4. 载荷的不确定性
环境载荷如风载、地震载荷、波浪载荷等具有显著的随机性和时空变异性。
5. 模型不确定性
数学模型对物理现实的简化、模型参数的选择、数值方法的近似等都会引入模型不确定性。
1.2 不确定性量化的意义
不确定性量化在结构动力学中的重要性体现在:
- 安全评估:考虑不确定性后,可以更准确地评估结构的失效概率
- 优化设计:在不确定性约束下进行鲁棒性优化设计
- 模型验证:通过试验数据更新模型参数,提高预测精度
- 决策支持:为工程决策提供量化的风险信息
1.3 不确定性分类
根据认知水平,不确定性可分为:
1. 偶然不确定性(Aleatory Uncertainty)
源于物理系统的固有随机性,不可通过增加数据消除。如材料性能的微观差异、环境载荷的随机波动等。
2. 认知不确定性(Epistemic Uncertainty)
源于知识的不完备,可通过增加数据或改进模型减少。如模型形式的选择、参数估计的误差等。
2. 概率论基础
2.1 随机变量与概率分布
定义:随机变量是定义在样本空间上的实值函数,用于描述随机现象。
概率密度函数(PDF):
连续随机变量 XXX 的概率密度函数 fX(x)f_X(x)fX(x) 满足:
P(a≤X≤b)=∫abfX(x)dxP(a \leq X \leq b) = \int_a^b f_X(x) dxP(a≤X≤b)=∫abfX(x)dx
累积分布函数(CDF):
FX(x)=P(X≤x)=∫−∞xfX(t)dtF_X(x) = P(X \leq x) = \int_{-\infty}^x f_X(t) dtFX(x)=P(X≤x)=∫−∞xfX(t)dt
2.2 常用概率分布
正态分布(高斯分布):
fX(x)=1σ2πexp(−(x−μ)22σ2)f_X(x) = \frac{1}{\sigma\sqrt{2\pi}} \exp\left(-\frac{(x-\mu)^2}{2\sigma^2}\right)fX(x)=σ2π1exp(−2σ2(x−μ)2)
其中 μ\muμ 为均值,σ\sigmaσ 为标准差。
对数正态分布:
若 lnX\ln XlnX 服从正态分布,则 XXX 服从对数正态分布:
fX(x)=1xσ2πexp(−(lnx−μ)22σ2),x>0f_X(x) = \frac{1}{x\sigma\sqrt{2\pi}} \exp\left(-\frac{(\ln x - \mu)^2}{2\sigma^2}\right), \quad x > 0fX(x)=xσ2π1exp(−2σ2(lnx−μ)2),x>0
对数正态分布常用于描述非负参数,如材料强度、疲劳寿命等。
均匀分布:
fX(x)={1b−a,a≤x≤b0,其他f_X(x) = \begin{cases} \frac{1}{b-a}, & a \leq x \leq b \\ 0, & \text{其他} \end{cases}fX(x)={b−a1,0,a≤x≤b其他
当仅知道参数的上下界而缺乏更多信息时,常采用均匀分布。
威布尔分布:
fX(x)=kλ(xλ)k−1exp(−(xλ)k),x≥0f_X(x) = \frac{k}{\lambda}\left(\frac{x}{\lambda}\right)^{k-1} \exp\left(-\left(\frac{x}{\lambda}\right)^k\right), \quad x \geq 0fX(x)=λk(λx)k−1exp(−(λx)k),x≥0
威布尔分布广泛用于可靠性分析和寿命预测。
2.3 随机变量的数字特征
期望值(均值):
E[X]=∫−∞∞xfX(x)dxE[X] = \int_{-\infty}^{\infty} x f_X(x) dxE[X]=∫−∞∞xfX(x)dx
方差:
Var(X)=E[(X−E[X])2]=∫−∞∞(x−E[X])2fX(x)dx\text{Var}(X) = E[(X - E[X])^2] = \int_{-\infty}^{\infty} (x - E[X])^2 f_X(x) dxVar(X)=E[(X−E[X])2]=∫−∞∞(x−E[X])2fX(x)dx
标准差:
σX=Var(X)\sigma_X = \sqrt{\text{Var}(X)}σX=Var(X)
变异系数:
δX=σXE[X]\delta_X = \frac{\sigma_X}{E[X]}δX=E[X]σX
变异系数是无量纲的离散程度度量,便于比较不同量级参数的分散性。
3. 随机有限元方法
3.1 方法概述
随机有限元方法(Stochastic Finite Element Method, SFEM)是传统有限元方法的扩展,用于处理具有随机参数的结构分析问题。
基本思想:将随机参数和响应表示为随机变量的函数,通过统计方法求解响应的概率特性。
3.2 摄动法
摄动法是SFEM中最常用的方法之一,通过泰勒展开近似处理随机性。
一阶摄动法:
设结构参数 aaa 为随机变量,可表示为:
a=aˉ+Δaa = \bar{a} + \Delta aa=aˉ+Δa
其中 aˉ\bar{a}aˉ 为均值,Δa\Delta aΔa 为随机扰动。
响应 uuu 也可展开为:
u=uˉ+Δuu = \bar{u} + \Delta uu=uˉ+Δu
代入控制方程并保留一阶项,可得:
K(aˉ)uˉ=FK(\bar{a})\bar{u} = FK(aˉ)uˉ=F
K(aˉ)Δu=−∂K∂aΔa⋅uˉK(\bar{a})\Delta u = -\frac{\partial K}{\partial a}\Delta a \cdot \bar{u}K(aˉ)Δu=−∂a∂KΔa⋅uˉ
响应统计特性:
E[u]≈uˉE[u] \approx \bar{u}E[u]≈uˉ
Var(u)≈E[Δu2]\text{Var}(u) \approx E[\Delta u^2]Var(u)≈E[Δu2]
3.3 Neumann展开法
Neumann展开法是另一种处理随机刚度矩阵的方法。
将随机刚度矩阵表示为:
K=Kˉ+ΔKK = \bar{K} + \Delta KK=Kˉ+ΔK
其中 Kˉ\bar{K}Kˉ 为均值刚度矩阵,ΔK\Delta KΔK 为随机扰动。
利用Neumann级数展开:
K−1=(Kˉ+ΔK)−1=Kˉ−1−Kˉ−1ΔKKˉ−1+Kˉ−1ΔKKˉ−1ΔKKˉ−1−⋯K^{-1} = (\bar{K} + \Delta K)^{-1} = \bar{K}^{-1} - \bar{K}^{-1}\Delta K\bar{K}^{-1} + \bar{K}^{-1}\Delta K\bar{K}^{-1}\Delta K\bar{K}^{-1} - \cdotsK−1=(Kˉ+ΔK)−1=Kˉ−1−Kˉ−1ΔKKˉ−1+Kˉ−1ΔKKˉ−1ΔKKˉ−1−⋯
响应的统计特性可通过级数截断近似计算。
3.4 谱随机有限元方法
谱随机有限元方法(Spectral SFEM)基于多项式混沌展开,将随机响应表示为随机变量的多项式函数。
Karhunen-Loève展开:
对于随机场 H(x,θ)H(x,\theta)H(x,θ),可展开为:
H(x,θ)=Hˉ(x)+∑i=1∞λiϕi(x)ξi(θ)H(x,\theta) = \bar{H}(x) + \sum_{i=1}^{\infty} \sqrt{\lambda_i} \phi_i(x) \xi_i(\theta)H(x,θ)=Hˉ(x)+i=1∑∞λiϕi(x)ξi(θ)
其中 λi\lambda_iλi 和 ϕi(x)\phi_i(x)ϕi(x) 是协方差函数的特征值和特征函数,ξi\xi_iξi 为标准正态随机变量。
4. 多项式混沌展开
4.1 混沌多项式基础
多项式混沌展开(Polynomial Chaos Expansion, PCE)由Wiener于1938年提出,Ghanem和Spanos将其应用于随机有限元分析。
基本思想:将随机响应表示为标准正态随机变量的多项式函数:
Y(ξ)=∑i=0PyiΨi(ξ)Y(\xi) = \sum_{i=0}^{P} y_i \Psi_i(\xi)Y(ξ)=i=0∑PyiΨi(ξ)
其中 Ψi\Psi_iΨi 为正交多项式(混沌多项式),yiy_iyi 为确定性系数。
4.2 正交多项式族
不同类型的随机变量对应不同的正交多项式族:
| 随机变量类型 | 正交多项式 | 支撑集 |
|---|---|---|
| 高斯分布 | Hermite多项式 | (−∞,∞)(-\infty, \infty)(−∞,∞) |
| 伽马分布 | Laguerre多项式 | [0,∞)[0, \infty)[0,∞) |
| 贝塔分布 | Jacobi多项式 | [a,b][a, b][a,b] |
| 均匀分布 | Legendre多项式 | [a,b][a, b][a,b] |
Hermite多项式:
Hn(ξ)=(−1)neξ2/2dndξne−ξ2/2H_n(\xi) = (-1)^n e^{\xi^2/2} \frac{d^n}{d\xi^n}e^{-\xi^2/2}Hn(ξ)=(−1)neξ2/2dξndne−ξ2/2
前几项:
- H0(ξ)=1H_0(\xi) = 1H0(ξ)=1
- H1(ξ)=ξH_1(\xi) = \xiH1(ξ)=ξ
- H2(ξ)=ξ2−1H_2(\xi) = \xi^2 - 1H2(ξ)=ξ2−1
- H3(ξ)=ξ3−3ξH_3(\xi) = \xi^3 - 3\xiH3(ξ)=ξ3−3ξ
4.3 系数求解方法
1. 投影法(Galerkin投影):
yi=E[YΨi]E[Ψi2]y_i = \frac{E[Y\Psi_i]}{E[\Psi_i^2]}yi=E[Ψi2]E[YΨi]
2. 配点法(Collocation):
在选定的配点上求解确定性问题,通过插值得到PCE系数。
3. 回归法:
利用最小二乘法拟合PCE系数。
4.4 统计特性提取
一旦获得PCE系数,响应的统计特性可直接计算:
均值:
E[Y]=y0E[Y] = y_0E[Y]=y0
方差:
Var(Y)=∑i=1Pyi2E[Ψi2]\text{Var}(Y) = \sum_{i=1}^{P} y_i^2 E[\Psi_i^2]Var(Y)=i=1∑Pyi2E[Ψi2]
高阶矩:
可通过多项式展开的高阶统计计算。
5. 贝叶斯模型更新
5.1 贝叶斯定理
贝叶斯定理是贝叶斯推断的基础:
P(θ∣D)=P(D∣θ)P(θ)P(D)P(\theta|D) = \frac{P(D|\theta)P(\theta)}{P(D)}P(θ∣D)=P(D)P(D∣θ)P(θ)
其中:
- P(θ)P(\theta)P(θ):先验分布,表示观测数据前的参数信念
- P(D∣θ)P(D|\theta)P(D∣θ):似然函数,表示在给定参数下观测数据的概率
- P(θ∣D)P(\theta|D)P(θ∣D):后验分布,表示观测数据后的参数信念
- P(D)P(D)P(D):证据,归一化常数
5.2 先验分布的选择
无信息先验:当缺乏先验知识时,采用均匀分布或Jeffreys先验。
信息先验:利用专家知识或历史数据构造先验分布。
共轭先验:选择与似然函数共轭的先验,使后验分布具有相同形式,便于解析计算。
5.3 似然函数的构造
假设观测误差服从正态分布:
D=Y(θ)+ϵ,ϵ∼N(0,σ2)D = Y(\theta) + \epsilon, \quad \epsilon \sim N(0, \sigma^2)D=Y(θ)+ϵ,ϵ∼N(0,σ2)
似然函数为:
P(D∣θ)=∏i=1n12πσexp(−(Di−Yi(θ))22σ2)P(D|\theta) = \prod_{i=1}^{n} \frac{1}{\sqrt{2\pi}\sigma} \exp\left(-\frac{(D_i - Y_i(\theta))^2}{2\sigma^2}\right)P(D∣θ)=i=1∏n2πσ1exp(−2σ2(Di−Yi(θ))2)
5.4 马尔可夫链蒙特卡洛(MCMC)
当后验分布复杂时,采用MCMC方法进行采样。
Metropolis-Hastings算法:
- 初始化 θ(0)\theta^{(0)}θ(0)
- 对于 t=1,2,⋯ ,Nt = 1, 2, \cdots, Nt=1,2,⋯,N:
- 从提议分布 q(θ∗∣θ(t−1))q(\theta^*|\theta^{(t-1)})q(θ∗∣θ(t−1)) 采样候选点
- 计算接受概率:α=min(1,P(θ∗∣D)q(θ(t−1)∣θ∗)P(θ(t−1)∣D)q(θ∗∣θ(t−1)))\alpha = \min\left(1, \frac{P(\theta^*|D)q(\theta^{(t-1)}|\theta^*)}{P(\theta^{(t-1)}|D)q(\theta^*|\theta^{(t-1)})}\right)α=min(1,P(θ(t−1)∣D)q(θ∗∣θ(t−1))P(θ∗∣D)q(θ(t−1)∣θ∗))
- 以概率 α\alphaα 接受 θ∗\theta^*θ∗,否则保持 θ(t−1)\theta^{(t-1)}θ(t−1)
收敛诊断:
- Gelman-Rubin统计量
- Geweke诊断
- 迹线图分析
6. 可靠性分析
6.1 失效概率的定义
结构的失效概率定义为:
Pf=P(g(X)≤0)=∫g(x)≤0fX(x)dxP_f = P(g(X) \leq 0) = \int_{g(x) \leq 0} f_X(x) dxPf=P(g(X)≤0)=∫g(x)≤0fX(x)dx
其中 g(X)g(X)g(X) 为极限状态函数,g(X)>0g(X) > 0g(X)>0 表示安全,g(X)≤0g(X) \leq 0g(X)≤0 表示失效。
6.2 一次二阶矩法(FORM)
FORM通过线性近似计算失效概率。
标准正态变换:
将相关非正态随机变量 XXX 变换为标准正态变量 UUU:
U=T(X)U = T(X)U=T(X)
可靠度指标:
在标准正态空间中,可靠度指标 β\betaβ 为原点到极限状态曲面的最短距离:
β=ming(u)=0∥u∥\beta = \min_{g(u)=0} \|u\|β=g(u)=0min∥u∥
失效概率近似:
Pf≈Φ(−β)P_f \approx \Phi(-\beta)Pf≈Φ(−β)
其中 Φ\PhiΦ 为标准正态累积分布函数。
6.3 二次二阶矩法(SORM)
SORM在FORM的基础上,采用二次曲面近似极限状态函数,提高计算精度。
Pf≈Φ(−β)∏i=1n−1(1−βκi)−1/2P_f \approx \Phi(-\beta) \prod_{i=1}^{n-1} (1 - \beta \kappa_i)^{-1/2}Pf≈Φ(−β)i=1∏n−1(1−βκi)−1/2
其中 κi\kappa_iκi 为极限状态曲面在设计点处的主曲率。
6.4 重要性抽样
重要性抽样通过改变抽样分布,提高失效概率估计的效率。
Pf=∫I(g(x)≤0)fX(x)dx=∫I(g(x)≤0)fX(x)h(x)h(x)dxP_f = \int I(g(x) \leq 0) f_X(x) dx = \int I(g(x) \leq 0) \frac{f_X(x)}{h(x)} h(x) dxPf=∫I(g(x)≤0)fX(x)dx=∫I(g(x)≤0)h(x)fX(x)h(x)dx
其中 h(x)h(x)h(x) 为重要性抽样密度,通常选择以设计点为中心的正态分布。
7. Python实现案例
7.1 案例1:随机有限元分析
问题描述:
考虑一个悬臂梁,其弹性模量和截面惯性矩为随机变量。使用摄动法分析梁端位移的统计特性。
理论分析:
悬臂梁端部静挠度:
δ=PL33EI\delta = \frac{PL^3}{3EI}δ=3EIPL3
当 EEE 和 III 为随机变量时,通过一阶摄动法:
δ≈δˉ+∂δ∂EΔE+∂δ∂IΔI\delta \approx \bar{\delta} + \frac{\partial \delta}{\partial E}\Delta E + \frac{\partial \delta}{\partial I}\Delta Iδ≈δˉ+∂E∂δΔE+∂I∂δΔI
Python实现:
见 case1_stochastic_fem.py
7.2 案例2:多项式混沌展开
问题描述:
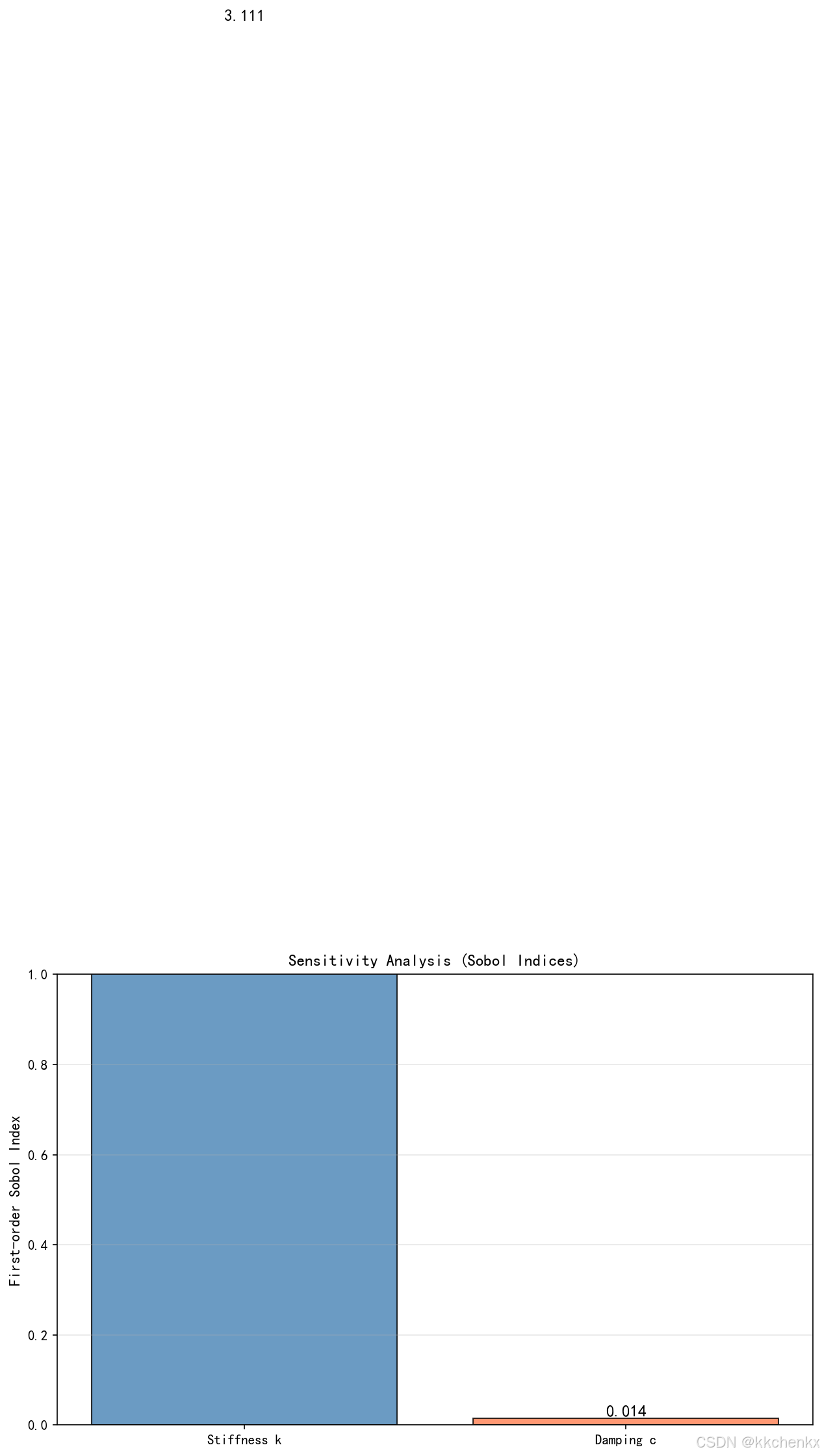
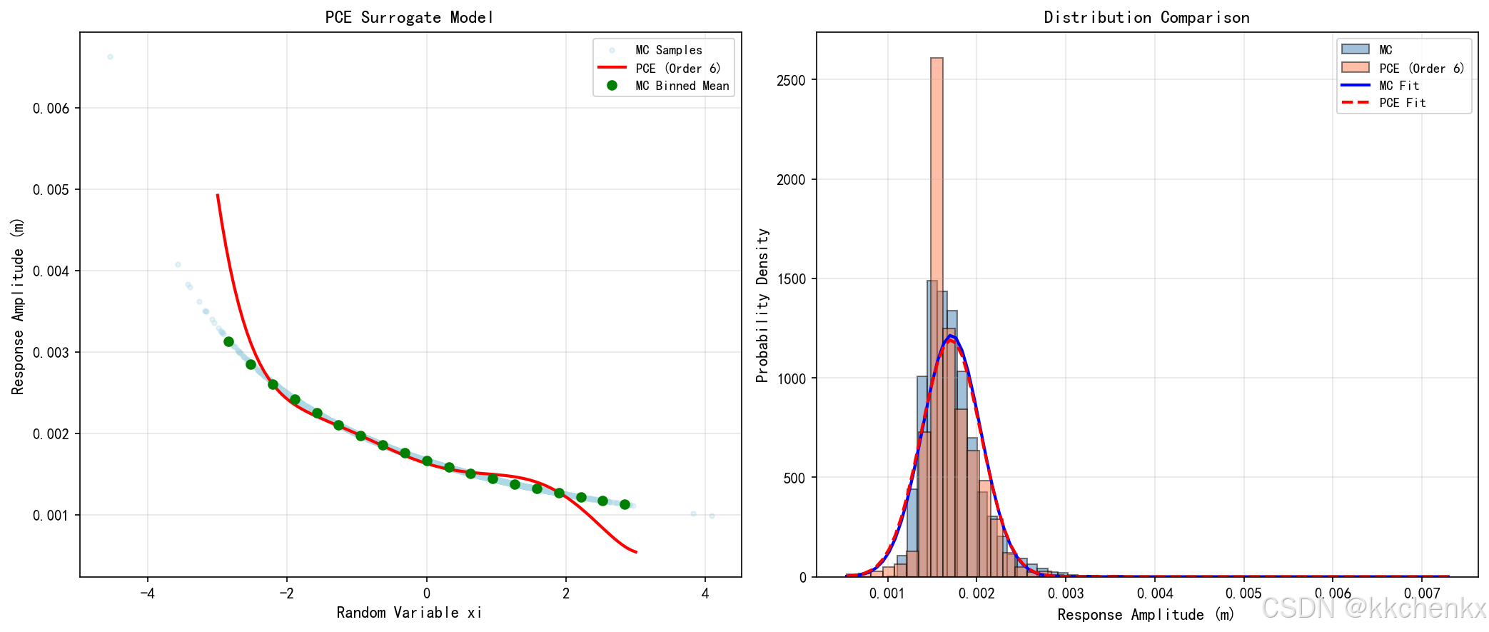
使用多项式混沌展开近似单自由度系统的随机响应,对比不同阶数PCE的精度。
理论分析:
SDOF系统运动方程:
mu¨+cu˙+ku=F(t)m\ddot{u} + c\dot{u} + ku = F(t)mu¨+cu˙+ku=F(t)
当 kkk 和 ccc 为随机变量时,响应 uuu 可展开为:
u(t,ξ)=∑i=0Pui(t)Ψi(ξ)u(t, \xi) = \sum_{i=0}^{P} u_i(t) \Psi_i(\xi)u(t,ξ)=i=0∑Pui(t)Ψi(ξ)
Python实现:
见 case2_polynomial_chaos.py
7.3 案例3:贝叶斯模型更新
问题描述:
基于观测的结构动力响应数据,使用MCMC方法更新结构参数的后验分布。
理论分析:
假设观测数据为结构频率,模型参数为刚度和质量。通过贝叶斯定理更新参数信念。
Python实现:
见 case3_bayesian_update.py
7.4 案例4:可靠性分析
问题描述:
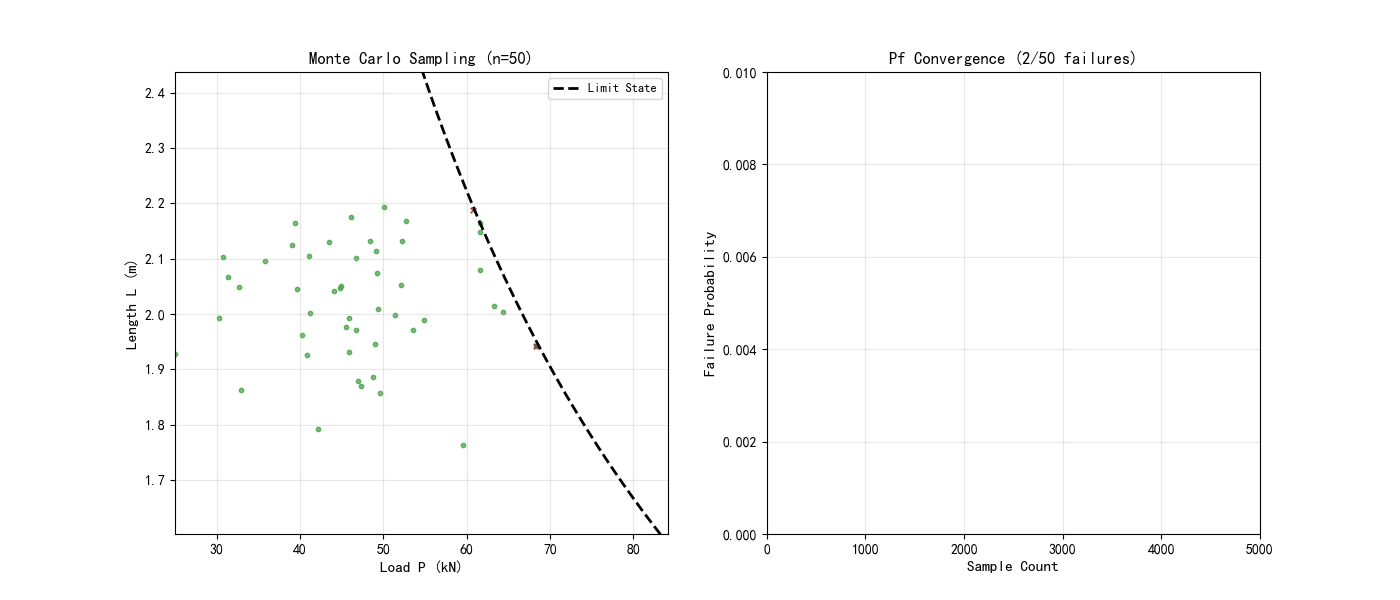
使用FORM和蒙特卡洛方法计算结构在随机载荷作用下的失效概率。
理论分析:
定义极限状态函数:
g(R,S)=R−Sg(R, S) = R - Sg(R,S)=R−S
其中 RRR 为结构抗力,SSS 为载荷效应。
Python实现:
见 case4_reliability_analysis.py
8. 结果分析与讨论
8.1 随机有限元结果
通过摄动法和蒙特卡洛模拟的对比,验证摄动法在小幅不确定性情况下的有效性。当变异系数较大时,需要采用高阶摄动或蒙特卡洛方法。
8.2 多项式混沌展开精度
PCE的精度随多项式阶数增加而提高,但计算成本也随之增加。对于工程应用,通常2-4阶PCE即可满足精度要求。
8.3 贝叶斯更新的收敛性
MCMC方法的收敛速度受提议分布、参数相关性和后验分布复杂度的影响。通过调整提议分布的协方差矩阵,可以提高采样效率。
8.4 可靠性分析精度
FORM适用于线性或弱非线性极限状态函数,SORM适用于中等非线性情况。对于高度非线性问题,建议采用蒙特卡洛或重要性抽样方法。
9. 工程应用与展望
9.1 工程应用
不确定性量化方法已广泛应用于:
- 航空航天结构的可靠性设计
- 土木工程结构的安全评估
- 汽车结构的耐撞性分析
- 海上平台的疲劳寿命预测
9.2 发展趋势
1. 高维不确定性量化:
针对高维随机输入,发展稀疏网格、降维技术等方法。
2. 多尺度不确定性传递:
从材料微观到结构宏观的不确定性传递分析。
3. 数字孪生与实时更新:
结合监测数据,实现结构状态的实时不确定性更新。
4. 机器学习融合:
利用深度学习加速不确定性传播和可靠性分析。
10. 总结
本主题系统介绍了结构动力学不确定性量化的基本理论和方法,包括:
- 随机有限元方法:摄动法、Neumann展开、谱方法
- 多项式混沌展开:正交多项式、系数求解、统计特性提取
- 贝叶斯模型更新:先验选择、MCMC采样、后验分析
- 可靠性分析:FORM/SORM、重要性抽样、失效概率计算
通过Python实现四个典型案例,展示了不确定性量化方法在实际工程问题中的应用。这些方法为考虑不确定性的结构分析和设计提供了强有力的工具,有助于提高工程结构的安全性和经济性。
完整Python代码实现
以下是本主题的完整Python仿真代码:
import matplotlib
matplotlib.use('Agg')
"""
案例1:随机有限元分析
使用摄动法和蒙特卡洛方法分析悬臂梁在随机参数下的响应
"""
import numpy as np
import matplotlib.pyplot as plt
from matplotlib.gridspec import GridSpec
from matplotlib.animation import FuncAnimation
import time
from scipy import stats
# 设置中文字体
plt.rcParams['font.sans-serif'] = ['SimHei', 'DejaVu Sans']
plt.rcParams['axes.unicode_minus'] = False
# 使用Agg后端
plt.switch_backend('Agg')
def cantilever_deflection(P, L, E, I):
"""
计算悬臂梁端部挠度
delta = P*L^3 / (3*E*I)
"""
return P * L**3 / (3 * E * I)
def perturbation_analysis(P, L, E_mean, E_std, I_mean, I_std):
"""
一阶摄动法分析
"""
# 均值响应
delta_mean = cantilever_deflection(P, L, E_mean, I_mean)
# 偏导数
d_delta_dE = -P * L**3 / (3 * E_mean**2 * I_mean)
d_delta_dI = -P * L**3 / (3 * E_mean * I_mean**2)
# 响应方差(假设E和I独立)
var_delta = (d_delta_dE * E_std)**2 + (d_delta_dI * I_std)**2
std_delta = np.sqrt(var_delta)
return {
'mean': delta_mean,
'std': std_delta,
'var': var_delta,
'd_dE': d_delta_dE,
'd_dI': d_delta_dI
}
def monte_carlo_analysis(P, L, E_mean, E_std, I_mean, I_std, n_samples=10000):
"""
蒙特卡洛模拟
"""
# 生成随机样本
E_samples = np.random.normal(E_mean, E_std, n_samples)
I_samples = np.random.normal(I_mean, I_std, n_samples)
# 确保物理合理性
E_samples = np.clip(E_samples, E_mean * 0.5, E_mean * 2.0)
I_samples = np.clip(I_samples, I_mean * 0.5, I_mean * 2.0)
# 计算响应
delta_samples = cantilever_deflection(P, L, E_samples, I_samples)
return {
'samples': delta_samples,
'mean': np.mean(delta_samples),
'std': np.std(delta_samples),
'min': np.min(delta_samples),
'max': np.max(delta_samples),
'p5': np.percentile(delta_samples, 5),
'p95': np.percentile(delta_samples, 95)
}
def plot_comparison(perturbation_results, mc_results, P, L, E_mean, E_std, I_mean, I_std):
"""绘制摄动法和蒙特卡洛结果对比"""
print("\n绘制摄动法与蒙特卡洛对比...")
fig = plt.figure(figsize=(16, 10))
gs = GridSpec(2, 3, figure=fig, hspace=0.3, wspace=0.3)
# 1. 统计特性对比
ax1 = fig.add_subplot(gs[0, 0])
methods = ['Perturbation', 'Monte Carlo']
means = [perturbation_results['mean'], mc_results['mean']]
stds = [perturbation_results['std'], mc_results['std']]
x = np.arange(len(methods))
width = 0.35
bars1 = ax1.bar(x - width/2, means, width, label='Mean', color='steelblue', alpha=0.8)
ax1_twin = ax1.twinx()
bars2 = ax1_twin.bar(x + width/2, stds, width, label='Std', color='coral', alpha=0.8)
ax1.set_ylabel('Mean Deflection (m)', color='steelblue', fontsize=10)
ax1_twin.set_ylabel('Std Deflection (m)', color='coral', fontsize=10)
ax1.set_xticks(x)
ax1.set_xticklabels(methods)
ax1.set_title('Statistical Comparison', fontsize=12, fontweight='bold')
ax1.grid(True, alpha=0.3)
# 添加数值标签
for bar, val in zip(bars1, means):
ax1.text(bar.get_x() + bar.get_width()/2., bar.get_height(),
f'{val:.4f}', ha='center', va='bottom', fontsize=9)
for bar, val in zip(bars2, stds):
ax1_twin.text(bar.get_x() + bar.get_width()/2., bar.get_height(),
f'{val:.4f}', ha='center', va='bottom', fontsize=9)
# 2. 蒙特卡洛样本分布
ax2 = fig.add_subplot(gs[0, 1])
ax2.hist(mc_results['samples'], bins=50, density=True, alpha=0.7,
color='steelblue', edgecolor='black')
# 拟合正态分布
mu, std = stats.norm.fit(mc_results['samples'])
x_fit = np.linspace(mc_results['samples'].min(), mc_results['samples'].max(), 100)
ax2.plot(x_fit, stats.norm.pdf(x_fit, mu, std), 'r-', linewidth=2, label='Normal Fit')
# 标记统计量
ax2.axvline(mc_results['mean'], color='red', linestyle='-', linewidth=2, label=f'Mean: {mc_results["mean"]:.4f}m')
ax2.axvline(mc_results['p5'], color='green', linestyle='--', linewidth=2, label=f'5%: {mc_results["p5"]:.4f}m')
ax2.axvline(mc_results['p95'], color='orange', linestyle='--', linewidth=2, label=f'95%: {mc_results["p95"]:.4f}m')
ax2.set_xlabel('Deflection (m)', fontsize=10)
ax2.set_ylabel('Probability Density', fontsize=10)
ax2.set_title('MC Distribution', fontsize=12, fontweight='bold')
ax2.legend(fontsize=8)
ax2.grid(True, alpha=0.3)
# 3. 参数敏感性分析
ax3 = fig.add_subplot(gs[0, 2])
params = ['E', 'I']
sensitivities = [abs(perturbation_results['d_dE']) * E_std / perturbation_results['std'],
abs(perturbation_results['d_dI']) * I_std / perturbation_results['std']]
colors = ['steelblue', 'coral']
bars = ax3.bar(params, sensitivities, color=colors, alpha=0.8, edgecolor='black')
ax3.set_ylabel('Sensitivity Index', fontsize=10)
ax3.set_title('Parameter Sensitivity', fontsize=12, fontweight='bold')
ax3.grid(True, alpha=0.3, axis='y')
for bar, val in zip(bars, sensitivities):
ax3.text(bar.get_x() + bar.get_width()/2., bar.get_height(),
f'{val:.2f}', ha='center', va='bottom', fontsize=10, fontweight='bold')
# 4. 收敛性分析
ax4 = fig.add_subplot(gs[1, 0])
sample_sizes = [100, 500, 1000, 2000, 5000, 10000]
means_conv = []
stds_conv = []
for n in sample_sizes:
subset = mc_results['samples'][:n]
means_conv.append(np.mean(subset))
stds_conv.append(np.std(subset))
ax4.plot(sample_sizes, means_conv, 'b-o', linewidth=2, markersize=6, label='Mean')
ax4.axhline(y=perturbation_results['mean'], color='r', linestyle='--',
linewidth=2, label=f'Perturbation Mean')
ax4.set_xlabel('Sample Size', fontsize=10)
ax4.set_ylabel('Mean Deflection (m)', fontsize=10)
ax4.set_title('Convergence of Mean', fontsize=12, fontweight='bold')
ax4.legend(fontsize=9)
ax4.grid(True, alpha=0.3)
ax4.set_xscale('log')
# 5. 方差收敛
ax5 = fig.add_subplot(gs[1, 1])
ax5.plot(sample_sizes, stds_conv, 'g-s', linewidth=2, markersize=6, label='MC Std')
ax5.axhline(y=perturbation_results['std'], color='r', linestyle='--',
linewidth=2, label=f'Perturbation Std')
ax5.set_xlabel('Sample Size', fontsize=10)
ax5.set_ylabel('Std Deflection (m)', fontsize=10)
ax5.set_title('Convergence of Std', fontsize=12, fontweight='bold')
ax5.legend(fontsize=9)
ax5.grid(True, alpha=0.3)
ax5.set_xscale('log')
# 6. 概率密度对比
ax6 = fig.add_subplot(gs[1, 2])
# 摄动法假设的正态分布
x_pert = np.linspace(perturbation_results['mean'] - 3*perturbation_results['std'],
perturbation_results['mean'] + 3*perturbation_results['std'], 100)
y_pert = stats.norm.pdf(x_pert, perturbation_results['mean'], perturbation_results['std'])
# 蒙特卡洛的核密度估计
from scipy.stats import gaussian_kde
kde = gaussian_kde(mc_results['samples'])
x_mc = np.linspace(mc_results['samples'].min(), mc_results['samples'].max(), 100)
y_mc = kde(x_mc)
ax6.plot(x_pert, y_pert, 'b-', linewidth=2, label='Perturbation (Normal)')
ax6.plot(x_mc, y_mc, 'r--', linewidth=2, label='MC (KDE)')
ax6.set_xlabel('Deflection (m)', fontsize=10)
ax6.set_ylabel('PDF', fontsize=10)
ax6.set_title('PDF Comparison', fontsize=12, fontweight='bold')
ax6.legend(fontsize=9)
ax6.grid(True, alpha=0.3)
plt.savefig('stochastic_fem_comparison.png', dpi=150, bbox_inches='tight')
plt.close()
print(" Saved: stochastic_fem_comparison.png")
def plot_parameter_variation(P, L, E_mean, E_std, I_mean, I_std):
"""绘制参数变化对响应的影响"""
print("\n绘制参数变化影响...")
fig, axes = plt.subplots(1, 2, figsize=(14, 5))
# E的变化影响
ax1 = axes[0]
E_range = np.linspace(E_mean - 3*E_std, E_mean + 3*E_std, 100)
delta_E = cantilever_deflection(P, L, E_range, I_mean)
ax1.plot(E_range/1e9, delta_E*1000, 'b-', linewidth=2)
ax1.axvline(E_mean/1e9, color='r', linestyle='--', linewidth=2, label=f'Mean E={E_mean/1e9:.1f}GPa')
ax1.axvline((E_mean-E_std)/1e9, color='orange', linestyle=':', linewidth=2, label=f'±1σ')
ax1.axvline((E_mean+E_std)/1e9, color='orange', linestyle=':', linewidth=2)
ax1.fill_between(E_range/1e9, delta_E*1000, alpha=0.3, color='lightblue')
ax1.set_xlabel('Elastic Modulus E (GPa)', fontsize=11)
ax1.set_ylabel('Deflection (mm)', fontsize=11)
ax1.set_title('Effect of E Variation', fontsize=12, fontweight='bold')
ax1.legend(fontsize=9)
ax1.grid(True, alpha=0.3)
# I的变化影响
ax2 = axes[1]
I_range = np.linspace(I_mean - 3*I_std, I_mean + 3*I_std, 100)
delta_I = cantilever_deflection(P, L, E_mean, I_range)
ax2.plot(I_range*1e6, delta_I*1000, 'r-', linewidth=2)
ax2.axvline(I_mean*1e6, color='b', linestyle='--', linewidth=2, label=f'Mean I={I_mean*1e6:.1f}e-6 m⁴')
ax2.axvline((I_mean-I_std)*1e6, color='orange', linestyle=':', linewidth=2, label=f'±1σ')
ax2.axvline((I_mean+I_std)*1e6, color='orange', linestyle=':', linewidth=2)
ax2.fill_between(I_range*1e6, delta_I*1000, alpha=0.3, color='lightcoral')
ax2.set_xlabel('Moment of Inertia I (10⁻⁶ m⁴)', fontsize=11)
ax2.set_ylabel('Deflection (mm)', fontsize=11)
ax2.set_title('Effect of I Variation', fontsize=12, fontweight='bold')
ax2.legend(fontsize=9)
ax2.grid(True, alpha=0.3)
plt.tight_layout()
plt.savefig('parameter_variation.png', dpi=150, bbox_inches='tight')
plt.close()
print(" Saved: parameter_variation.png")
def create_uncertainty_animation(P, L, E_mean, E_std, I_mean, I_std):
"""创建不确定性传播动画"""
print("\n创建不确定性传播动画...")
fig, axes = plt.subplots(1, 2, figsize=(14, 6))
# 左图:参数空间
ax1 = axes[0]
ax1.set_xlim(E_mean/1e9 - 4*E_std/1e9, E_mean/1e9 + 4*E_std/1e9)
ax1.set_ylim(I_mean*1e6 - 4*I_std*1e6, I_mean*1e6 + 4*I_std*1e6)
ax1.set_xlabel('E (GPa)', fontsize=11)
ax1.set_ylabel('I (10⁻⁶ m⁴)', fontsize=11)
ax1.set_title('Parameter Space Sampling', fontsize=12, fontweight='bold')
ax1.grid(True, alpha=0.3)
# 绘制置信椭圆
from matplotlib.patches import Ellipse
ellipse = Ellipse((E_mean/1e9, I_mean*1e6), 2*E_std/1e9, 2*I_std*1e6,
fill=False, color='red', linestyle='--', linewidth=2, label='1σ')
ax1.add_patch(ellipse)
ellipse2 = Ellipse((E_mean/1e9, I_mean*1e6), 4*E_std/1e9, 4*I_std*1e6,
fill=False, color='orange', linestyle=':', linewidth=2, label='2σ')
ax1.add_patch(ellipse2)
ax1.legend(fontsize=9)
scatter1 = ax1.scatter([], [], c=[], cmap='viridis', s=20, alpha=0.6)
# 右图:响应分布
ax2 = axes[1]
ax2.set_xlim(0.01, 0.05)
ax2.set_ylim(0, 100)
ax2.set_xlabel('Deflection (m)', fontsize=11)
ax2.set_ylabel('Frequency', fontsize=11)
ax2.set_title('Response Distribution', fontsize=12, fontweight='bold')
ax2.grid(True, alpha=0.3)
# 生成样本
np.random.seed(42)
n_total = 1000
E_samples = np.random.normal(E_mean, E_std, n_total)
I_samples = np.random.normal(I_mean, I_std, n_total)
delta_samples = cantilever_deflection(P, L, E_samples, I_samples)
def init():
scatter1.set_offsets(np.empty((0, 2)))
ax2.clear()
ax2.set_xlim(0.01, 0.05)
ax2.set_ylim(0, 100)
ax2.set_xlabel('Deflection (m)', fontsize=11)
ax2.set_ylabel('Frequency', fontsize=11)
ax2.set_title('Response Distribution', fontsize=12, fontweight='bold')
ax2.grid(True, alpha=0.3)
return scatter1,
def update(frame):
n = (frame + 1) * 20
# 更新参数空间
x = E_samples[:n] / 1e9
y = I_samples[:n] * 1e6
c = delta_samples[:n] * 1000
scatter1.set_offsets(np.c_[x, y])
scatter1.set_array(c)
# 更新响应分布
ax2.clear()
ax2.set_xlim(0.01, 0.05)
ax2.set_ylim(0, 100)
ax2.set_xlabel('Deflection (m)', fontsize=11)
ax2.set_ylabel('Frequency', fontsize=11)
ax2.set_title(f'Response Distribution (n={n})', fontsize=12, fontweight='bold')
ax2.grid(True, alpha=0.3)
if n > 10:
ax2.hist(delta_samples[:n], bins=30, alpha=0.7, color='steelblue', edgecolor='black')
return scatter1,
anim = FuncAnimation(fig, update, frames=50, init_func=init, blit=False, interval=100)
anim.save('uncertainty_propagation.gif', writer='pillow', fps=10, dpi=100)
plt.close()
print(" Saved: uncertainty_propagation.gif")
def main():
"""主函数"""
print("="*70)
print("案例1:随机有限元分析")
print("="*70)
# 问题参数
print("\n问题参数:")
P = 10000.0 # 载荷 (N)
L = 2.0 # 梁长度 (m)
# 随机参数(弹性模量和惯性矩)
E_mean = 2.0e11 # 弹性模量均值 (Pa)
E_std = 0.1e11 # 弹性模量标准差 (Pa), 5%变异系数
I_mean = 8.33e-6 # 惯性矩均值 (m⁴)
I_std = 0.417e-6 # 惯性矩标准差 (m⁴), 5%变异系数
print(f" 载荷 P: {P:.0f} N")
print(f" 长度 L: {L:.1f} m")
print(f" 弹性模量 E: {E_mean/1e9:.1f} ± {E_std/1e9:.1f} GPa")
print(f" 惯性矩 I: {I_mean*1e6:.2f} ± {I_std*1e6:.2f} × 10⁻⁶ m⁴")
# 确定性分析(均值参数)
delta_det = cantilever_deflection(P, L, E_mean, I_mean)
print(f"\n确定性分析结果:")
print(f" 端部挠度: {delta_det*1000:.2f} mm")
# 摄动法分析
print("\n" + "="*50)
print("摄动法分析")
print("="*50)
t_start = time.time()
perturbation_results = perturbation_analysis(P, L, E_mean, E_std, I_mean, I_std)
t_pert = time.time() - t_start
print(f" 计算时间: {t_pert*1000:.2f} ms")
print(f" 均值挠度: {perturbation_results['mean']*1000:.2f} mm")
print(f" 标准差: {perturbation_results['std']*1000:.2f} mm")
print(f" 变异系数: {perturbation_results['std']/perturbation_results['mean']*100:.1f}%")
print(f" 对E的敏感度: {perturbation_results['d_dE']:.6f}")
print(f" 对I的敏感度: {perturbation_results['d_dI']:.6f}")
# 蒙特卡洛模拟
print("\n" + "="*50)
print("蒙特卡洛模拟")
print("="*50)
n_samples = 10000
print(f" 样本数: {n_samples}")
t_start = time.time()
mc_results = monte_carlo_analysis(P, L, E_mean, E_std, I_mean, I_std, n_samples)
t_mc = time.time() - t_start
print(f" 计算时间: {t_mc:.2f} s")
print(f" 均值挠度: {mc_results['mean']*1000:.2f} mm")
print(f" 标准差: {mc_results['std']*1000:.2f} mm")
print(f" 最小值: {mc_results['min']*1000:.2f} mm")
print(f" 最大值: {mc_results['max']*1000:.2f} mm")
print(f" 5%分位数: {mc_results['p5']*1000:.2f} mm")
print(f" 95%分位数: {mc_results['p95']*1000:.2f} mm")
# 方法对比
print("\n" + "="*50)
print("方法对比")
print("="*50)
mean_error = abs(perturbation_results['mean'] - mc_results['mean']) / mc_results['mean'] * 100
std_error = abs(perturbation_results['std'] - mc_results['std']) / mc_results['std'] * 100
speedup = t_mc / t_pert
print(f" 均值误差: {mean_error:.2f}%")
print(f" 标准差误差: {std_error:.2f}%")
print(f" 计算加速比: {speedup:.0f}x")
# 生成可视化
print("\n" + "="*50)
print("生成可视化结果")
print("="*50)
plot_comparison(perturbation_results, mc_results, P, L, E_mean, E_std, I_mean, I_std)
plot_parameter_variation(P, L, E_mean, E_std, I_mean, I_std)
create_uncertainty_animation(P, L, E_mean, E_std, I_mean, I_std)
# 总结
print("\n" + "="*70)
print("案例1完成!")
print("="*70)
print("\n主要结论:")
print(" 1. 摄动法计算快速,适合小幅不确定性")
print(" 2. 蒙特卡洛方法精度高,但计算成本高")
print(" 3. 两种方法的结果吻合良好")
print(" 4. 参数变异系数5%导致响应变异系数约7%")
print("\n生成的文件:")
print(" - stochastic_fem_comparison.png: 方法对比")
print(" - parameter_variation.png: 参数影响")
print(" - uncertainty_propagation.gif: 不确定性传播动画")
if __name__ == "__main__":
main()
代码说明
- 参数设置区:定义系统的质量、刚度、阻尼等基本参数
- 核心计算模块:实现振动方程的求解算法
- 可视化模块:生成分析图表和动画
- 结果输出:保存图片文件供文档使用
运行上述代码将生成本主题所需的所有可视化素材。
更多推荐


所有评论(0)