结构动力学仿真-主题064-结构动力学不确定性量化
不确定性量化(Uncertainty Quantification, UQ)是现代结构动力学分析的重要组成部分。本主题系统介绍结构动力学中不确定性的来源、分类和量化方法。重点讲解蒙特卡洛模拟、多项式混沌展开、随机有限元方法等核心算法,以及结构可靠性分析和敏感性分析方法。通过Python实现各种不确定性量化技术,帮助读者掌握处理工程实际中参数不确定性、模型不确定性和载荷不确定性的能力,为结构安全评估
第六十四篇:结构动力学不确定性量化
摘要
不确定性量化(Uncertainty Quantification, UQ)是现代结构动力学分析的重要组成部分。本主题系统介绍结构动力学中不确定性的来源、分类和量化方法。重点讲解蒙特卡洛模拟、多项式混沌展开、随机有限元方法等核心算法,以及结构可靠性分析和敏感性分析方法。通过Python实现各种不确定性量化技术,帮助读者掌握处理工程实际中参数不确定性、模型不确定性和载荷不确定性的能力,为结构安全评估和优化设计提供理论基础。
关键词
不确定性量化;蒙特卡洛模拟;多项式混沌;随机有限元;可靠性分析;敏感性分析;结构安全










1. 不确定性量化基础理论
1.1 不确定性的来源与分类
在结构动力学分析中,不确定性主要来源于以下几个方面:
参数不确定性:材料属性(弹性模量、密度、阻尼系数)、几何尺寸、边界条件等物理参数的固有变异性。
模型不确定性:数学模型对真实物理过程的简化假设、模型形式的选择、以及模型参数的识别误差。
载荷不确定性:外部激励(地震、风载、波浪等)的随机性和不可预测性。
测量不确定性:实验数据采集过程中的噪声和系统误差。
1.2 不确定性表征方法
概率方法:将不确定性参数视为随机变量,用概率密度函数描述其统计特性。
X ∼ f X ( x ) , x ∈ R X \sim f_X(x), \quad x \in \mathbb{R} X∼fX(x),x∈R
区间方法:当概率信息不足时,用区间范围描述不确定性。
X ∈ [ x ‾ , x ‾ ] X \in [\underline{x}, \overline{x}] X∈[x,x]
模糊方法:使用模糊集合理论处理认知不确定性。
1.3 不确定性传播
不确定性传播研究输入不确定性如何通过系统模型传递到输出响应。设系统模型为:
Y = g ( X ) Y = g(X) Y=g(X)
其中 X X X 为输入随机变量, Y Y Y 为输出响应。不确定性传播的目标是计算输出 Y Y Y 的统计特性(均值、方差、概率分布等)。
2. 蒙特卡洛模拟方法
2.1 基本理论
蒙特卡洛模拟是最直观的不确定性量化方法,通过大量随机采样来估计输出统计特性。
算法步骤:
- 从输入随机变量的概率分布中生成 N N N 个样本
- 对每个样本计算系统响应
- 统计分析输出结果
统计估计:
均值估计: μ ^ Y = 1 N ∑ i = 1 N Y i \hat{\mu}_Y = \frac{1}{N} \sum_{i=1}^{N} Y_i μ^Y=N1i=1∑NYi
方差估计: σ ^ Y 2 = 1 N − 1 ∑ i = 1 N ( Y i − μ ^ Y ) 2 \hat{\sigma}_Y^2 = \frac{1}{N-1} \sum_{i=1}^{N} (Y_i - \hat{\mu}_Y)^2 σ^Y2=N−11i=1∑N(Yi−μ^Y)2
2.2 方差缩减技术
重要性采样:通过改变采样分布来减少方差。
分层采样:将样本空间划分为若干层,在每层内均匀采样。
拉丁超立方采样:确保样本在每一维度上均匀分布。
3. 多项式混沌展开
3.1 基本理论
多项式混沌展开(Polynomial Chaos Expansion, PCE)将随机输出表示为随机输入的正交多项式展开:
Y ( ξ ) = ∑ i = 0 P y i Ψ i ( ξ ) Y(\xi) = \sum_{i=0}^{P} y_i \Psi_i(\xi) Y(ξ)=i=0∑PyiΨi(ξ)
其中 Ψ i ( ξ ) \Psi_i(\xi) Ψi(ξ) 是关于随机变量 ξ \xi ξ 的正交多项式, y i y_i yi 是展开系数。
正交多项式选择:
- 高斯随机变量 → \rightarrow → Hermite多项式
- 均匀随机变量 → \rightarrow → Legendre多项式
- 伽马随机变量 → \rightarrow → Laguerre多项式
3.2 系数计算方法
投影法:利用正交性计算系数
y i = ⟨ Y , Ψ i ⟩ ⟨ Ψ i , Ψ i ⟩ y_i = \frac{\langle Y, \Psi_i \rangle}{\langle \Psi_i, \Psi_i \rangle} yi=⟨Ψi,Ψi⟩⟨Y,Ψi⟩
回归法:通过最小二乘拟合确定系数
4. 随机有限元方法
4.1 摄动法
摄动法将随机变量展开为确定性部分和小扰动部分:
X = X 0 + ϵ X 1 X = X_0 + \epsilon X_1 X=X0+ϵX1
其中 ϵ \epsilon ϵ 是小参数。将展开式代入控制方程,按 ϵ \epsilon ϵ 的幂次整理,得到各阶摄动方程。
4.2 Neumann展开法
对于线性系统 K U = F KU = F KU=F,当刚度矩阵 K K K 具有随机性时,使用Neumann级数展开:
K − 1 = K 0 − 1 ∑ i = 0 ∞ ( − K 0 − 1 Δ K ) i K^{-1} = K_0^{-1} \sum_{i=0}^{\infty} (-K_0^{-1}\Delta K)^i K−1=K0−1i=0∑∞(−K0−1ΔK)i
5. 可靠性分析
5.1 失效概率计算
结构失效概率定义为:
P f = P ( g ( X ) ≤ 0 ) = ∫ g ( x ) ≤ 0 f X ( x ) d x P_f = P(g(X) \leq 0) = \int_{g(x) \leq 0} f_X(x) dx Pf=P(g(X)≤0)=∫g(x)≤0fX(x)dx
其中 g ( X ) g(X) g(X) 是极限状态函数, g ( X ) > 0 g(X) > 0 g(X)>0 表示安全, g ( X ) ≤ 0 g(X) \leq 0 g(X)≤0 表示失效。
5.2 一阶可靠性方法(FORM)
FORM通过寻找设计点(最可能失效点)来近似计算失效概率。
可靠性指标:
β = min g ( u ) = 0 u T u \beta = \min_{g(u)=0} \sqrt{u^T u} β=g(u)=0minuTu
失效概率近似:
P f ≈ Φ ( − β ) P_f \approx \Phi(-\beta) Pf≈Φ(−β)
5.3 重要性测度
Sobol指数:衡量输入变量对输出方差的贡献程度。
S i = V X i ( E X ∼ i [ Y ∣ X i ] ) V ( Y ) S_i = \frac{V_{X_i}(E_{X_{\sim i}}[Y|X_i])}{V(Y)} Si=V(Y)VXi(EX∼i[Y∣Xi])
6. Python实现案例
6.1 案例1:蒙特卡洛模拟方法
问题描述:
分析简支梁在随机载荷作用下的响应不确定性。假设弹性模量和载荷幅值为随机变量,使用蒙特卡洛模拟计算梁中点挠度的统计特性。
Python代码实现:
import numpy as np
import matplotlib.pyplot as plt
from matplotlib.animation import FuncAnimation
import matplotlib
matplotlib.use('Agg')
plt.rcParams['font.sans-serif'] = ['SimHei']
plt.rcParams['axes.unicode_minus'] = False
from scipy import stats
from scipy.stats import norm, uniform
class MonteCarloSimulation:
"""蒙特卡洛模拟类"""
def __init__(self, n_samples=10000):
"""
初始化
Parameters:
-----------
n_samples : int
蒙特卡洛样本数
"""
self.n_samples = n_samples
def latin_hypercube_sampling(self, distributions, n_samples=None):
"""
拉丁超立方采样
Parameters:
-----------
distributions : list
随机变量分布列表
n_samples : int
样本数
Returns:
--------
samples : array
采样矩阵 (n_samples x n_variables)
"""
if n_samples is None:
n_samples = self.n_samples
n_vars = len(distributions)
samples = np.zeros((n_samples, n_vars))
for i, dist in enumerate(distributions):
# 分层
bins = np.linspace(0, 1, n_samples + 1)
# 在每个层内随机采样
u = np.random.rand(n_samples)
u = (np.arange(n_samples) + u) / n_samples
# 随机打乱
np.random.shuffle(u)
# 逆变换采样
samples[:, i] = dist.ppf(u)
return samples
def simple_random_sampling(self, distributions, n_samples=None):
"""
简单随机采样
Parameters:
-----------
distributions : list
随机变量分布列表
n_samples : int
样本数
Returns:
--------
samples : array
采样矩阵
"""
if n_samples is None:
n_samples = self.n_samples
n_vars = len(distributions)
samples = np.zeros((n_samples, n_vars))
for i, dist in enumerate(distributions):
samples[:, i] = dist.rvs(n_samples)
return samples
def simply_supported_beam_deflection(E, P, L=2.0, b=0.05, h=0.1):
"""
计算简支梁中点挠度
Parameters:
-----------
E : float or array
弹性模量 (Pa)
P : float or array
集中载荷 (N)
L : float
梁长度 (m)
b : float
截面宽度 (m)
h : float
截面高度 (m)
Returns:
--------
delta : float or array
中点挠度 (m)
"""
I = b * h**3 / 12 # 截面惯性矩
delta = P * L**3 / (48 * E * I)
return delta
def case1_monte_carlo():
"""案例1:蒙特卡洛模拟方法"""
print("="*60)
print("主题064 - 案例1: 蒙特卡洛模拟方法")
print("="*60)
# 定义随机变量
# 弹性模量:正态分布,均值210GPa,变异系数5%
E_mean = 210e9
E_std = 0.05 * E_mean
E_dist = norm(E_mean, E_std)
# 载荷:正态分布,均值1000N,变异系数10%
P_mean = 1000
P_std = 0.10 * P_mean
P_dist = norm(P_mean, P_std)
distributions = [E_dist, P_dist]
# 确定性分析(参考值)
delta_det = simply_supported_beam_deflection(E_mean, P_mean)
print(f"\n确定性分析结果:")
print(f" 中点挠度 = {delta_det*1000:.4f} mm")
# 蒙特卡洛模拟
print("\n蒙特卡洛模拟...")
# 方法1:简单随机采样
mc = MonteCarloSimulation(n_samples=10000)
samples_srs = mc.simple_random_sampling(distributions)
E_samples = samples_srs[:, 0]
P_samples = samples_srs[:, 1]
delta_samples_srs = simply_supported_beam_deflection(E_samples, P_samples)
# 统计结果
mean_srs = np.mean(delta_samples_srs)
std_srs = np.std(delta_samples_srs)
cov_srs = std_srs / mean_srs
print(f"\n简单随机采样结果 (N=10000):")
print(f" 均值 = {mean_srs*1000:.4f} mm")
print(f" 标准差 = {std_srs*1000:.4f} mm")
print(f" 变异系数 = {cov_srs:.4f}")
# 方法2:拉丁超立方采样
samples_lhs = mc.latin_hypercube_sampling(distributions)
E_samples_lhs = samples_lhs[:, 0]
P_samples_lhs = samples_lhs[:, 1]
delta_samples_lhs = simply_supported_beam_deflection(E_samples_lhs, P_samples_lhs)
mean_lhs = np.mean(delta_samples_lhs)
std_lhs = np.std(delta_samples_lhs)
cov_lhs = std_lhs / mean_lhs
print(f"\n拉丁超立方采样结果 (N=10000):")
print(f" 均值 = {mean_lhs*1000:.4f} mm")
print(f" 标准差 = {std_lhs*1000:.4f} mm")
print(f" 变异系数 = {cov_lhs:.4f}")
# 收敛性分析
sample_sizes = [100, 500, 1000, 2000, 5000, 10000]
means_convergence = []
stds_convergence = []
for n in sample_sizes:
samples = mc.simple_random_sampling(distributions, n)
deltas = simply_supported_beam_deflection(samples[:, 0], samples[:, 1])
means_convergence.append(np.mean(deltas))
stds_convergence.append(np.std(deltas))
# 可视化
fig, axes = plt.subplots(2, 3, figsize=(15, 10))
# 1. 样本散点图
ax = axes[0, 0]
ax.scatter(E_samples[:1000]/1e9, P_samples[:1000], alpha=0.5, s=10)
ax.set_xlabel('弹性模量 E (GPa)')
ax.set_ylabel('载荷 P (N)')
ax.set_title('输入随机变量样本')
ax.grid(True, alpha=0.3)
# 2. 输出响应直方图
ax = axes[0, 1]
ax.hist(delta_samples_srs*1000, bins=50, density=True, alpha=0.7,
color='blue', edgecolor='black', label='SRS')
ax.hist(delta_samples_lhs*1000, bins=50, density=True, alpha=0.5,
color='red', edgecolor='black', label='LHS')
ax.axvline(delta_det*1000, color='green', linestyle='--',
linewidth=2, label='确定性值')
ax.set_xlabel('中点挠度 (mm)')
ax.set_ylabel('概率密度')
ax.set_title('输出响应分布')
ax.legend()
ax.grid(True, alpha=0.3)
# 3. 收敛性分析 - 均值
ax = axes[0, 2]
ax.plot(sample_sizes, np.array(means_convergence)*1000, 'bo-', linewidth=2)
ax.axhline(mean_srs*1000, color='r', linestyle='--', alpha=0.7)
ax.set_xlabel('样本数')
ax.set_ylabel('均值 (mm)')
ax.set_title('均值收敛性')
ax.set_xscale('log')
ax.grid(True, alpha=0.3)
# 4. 收敛性分析 - 标准差
ax = axes[1, 0]
ax.plot(sample_sizes, np.array(stds_convergence)*1000, 'ro-', linewidth=2)
ax.axhline(std_srs*1000, color='b', linestyle='--', alpha=0.7)
ax.set_xlabel('样本数')
ax.set_ylabel('标准差 (mm)')
ax.set_title('标准差收敛性')
ax.set_xscale('log')
ax.grid(True, alpha=0.3)
# 5. Q-Q图
ax = axes[1, 1]
stats.probplot(delta_samples_srs*1000, dist="norm", plot=ax)
ax.set_title('正态Q-Q图')
ax.grid(True, alpha=0.3)
# 6. 统计结果对比
ax = axes[1, 2]
methods = ['SRS', 'LHS', '解析']
means = [mean_srs*1000, mean_lhs*1000, delta_det*1000]
stds = [std_srs*1000, std_lhs*1000, 0]
x = np.arange(len(methods))
width = 0.35
ax.bar(x - width/2, means, width, label='均值', color='blue', alpha=0.8)
ax.bar(x + width/2, stds, width, label='标准差', color='red', alpha=0.8)
ax.set_ylabel('挠度 (mm)')
ax.set_title('统计结果对比')
ax.set_xticks(x)
ax.set_xticklabels(methods)
ax.legend()
ax.grid(True, alpha=0.3, axis='y')
plt.tight_layout()
plt.savefig('monte_carlo_simulation.png', dpi=150, bbox_inches='tight')
print("\n蒙特卡洛模拟结果图已保存: monte_carlo_simulation.png")
plt.close()
# 创建动画
fig, axes = plt.subplots(1, 2, figsize=(14, 5))
ax1 = axes[0]
scatter = ax1.scatter([], [], alpha=0.5, s=20)
ax1.set_xlim(180, 240)
ax1.set_ylim(700, 1300)
ax1.set_xlabel('弹性模量 E (GPa)')
ax1.set_ylabel('载荷 P (N)')
ax1.set_title('样本累积过程')
ax1.grid(True, alpha=0.3)
ax2 = axes[1]
line_mean, = ax2.plot([], [], 'b-', linewidth=2, label='均值')
line_std, = ax2.plot([], [], 'r-', linewidth=2, label='标准差')
ax2.set_xlim(0, 10000)
ax2.set_ylim(0.8, 1.5)
ax2.set_xlabel('样本数')
ax2.set_ylabel('挠度 (mm)')
ax2.set_title('统计量收敛过程')
ax2.legend()
ax2.grid(True, alpha=0.3)
def animate(frame):
n_show = min((frame + 1) * 200, 10000)
# 更新散点
scatter.set_offsets(np.column_stack([E_samples[:n_show]/1e9, P_samples[:n_show]]))
# 更新收敛曲线
if n_show >= 100:
sample_sizes_anim = np.arange(100, n_show + 1, 100)
means_anim = []
stds_anim = []
for n in sample_sizes_anim:
means_anim.append(np.mean(delta_samples_srs[:n])*1000)
stds_anim.append(np.std(delta_samples_srs[:n])*1000)
line_mean.set_data(sample_sizes_anim, means_anim)
line_std.set_data(sample_sizes_anim, stds_anim)
return scatter, line_mean, line_std
anim = FuncAnimation(fig, animate, frames=50, interval=100, blit=False)
anim.save('monte_carlo_animation.gif', writer='pillow', fps=10, dpi=100)
print("蒙特卡洛模拟动画已保存: monte_carlo_animation.gif")
plt.close()
return mc, delta_samples_srs
if __name__ == "__main__":
mc, delta_samples = case1_monte_carlo()
6.2 案例2:多项式混沌展开方法
问题描述:
使用多项式混沌展开(PCE)方法分析单自由度振动系统的频率不确定性。系统刚度服从对数正态分布,通过PCE高效计算固有频率的统计矩。
理论基础:
多项式混沌展开将随机响应表示为随机输入的正交多项式级数:
Y ( ξ ) = ∑ i = 0 P y i Ψ i ( ξ ) Y(\xi) = \sum_{i=0}^{P} y_i \Psi_i(\xi) Y(ξ)=i=0∑PyiΨi(ξ)
其中 Ψ i ( ξ ) \Psi_i(\xi) Ψi(ξ) 是正交多项式基函数, y i y_i yi 是展开系数。
对于高斯随机变量,使用Hermite多项式:
H n ( ξ ) = ( − 1 ) n e ξ 2 / 2 d n d ξ n e − ξ 2 / 2 H_n(\xi) = (-1)^n e^{\xi^2/2} \frac{d^n}{d\xi^n}e^{-\xi^2/2} Hn(ξ)=(−1)neξ2/2dξndne−ξ2/2
统计矩计算:
均值: μ Y = y 0 \mu_Y = y_0 μY=y0
方差: σ Y 2 = ∑ i = 1 P y i 2 ⟨ Ψ i 2 ⟩ \sigma_Y^2 = \sum_{i=1}^{P} y_i^2 \langle \Psi_i^2 \rangle σY2=i=1∑Pyi2⟨Ψi2⟩
Python代码实现:
import numpy as np
import matplotlib.pyplot as plt
from scipy.special import eval_hermitenorm
from scipy import stats
class PolynomialChaosExpansion:
"""多项式混沌展开类"""
def __init__(self, order=3):
"""
初始化
Parameters:
-----------
order : int
多项式阶数
"""
self.order = order
self.coefficients = None
self.poly_type = None
def hermite_polynomial(self, n, x):
"""计算归一化Hermite多项式"""
return eval_hermitenorm(n, x)
def generate_polynomial_basis(self, xi, dist_type='normal'):
"""
生成多项式基函数矩阵
Parameters:
-----------
xi : array
标准随机变量样本
dist_type : str
分布类型
Returns:
--------
basis : array
多项式基函数矩阵
"""
n_samples = len(xi)
n_terms = self.order + 1
basis = np.zeros((n_samples, n_terms))
for i in range(n_terms):
basis[:, i] = self.hermite_polynomial(i, xi)
return basis
def fit_regression(self, xi, y, dist_type='normal'):
"""
使用回归法计算PCE系数
Parameters:
-----------
xi : array
标准随机变量
y : array
输出响应
dist_type : str
分布类型
"""
basis = self.generate_polynomial_basis(xi, dist_type)
coefficients = np.linalg.lstsq(basis, y, rcond=None)[0]
self.coefficients = coefficients
self.poly_type = dist_type
return coefficients
def predict(self, xi):
"""使用PCE模型预测"""
if self.coefficients is None:
raise ValueError("请先调用fit_regression方法拟合模型")
basis = self.generate_polynomial_basis(xi, self.poly_type)
return basis @ self.coefficients
def calculate_statistics(self):
"""从PCE系数计算统计量"""
if self.coefficients is None:
raise ValueError("请先调用fit_regression方法拟合模型")
# 均值(0阶系数)
mean = self.coefficients[0]
# 方差(高阶系数平方和)
variance = np.sum(self.coefficients[1:]**2)
std = np.sqrt(variance)
cov = std / mean if mean != 0 else 0
return {
'mean': mean,
'variance': variance,
'std': std,
'cov': cov
}
def sdof_natural_frequency(k, m):
"""计算单自由度系统固有频率"""
return np.sqrt(k / m) / (2 * np.pi)
def case2_polynomial_chaos():
"""案例2:多项式混沌展开"""
print("="*60)
print("主题064 - 案例2: 多项式混沌展开方法")
print("="*60)
# 系统参数
m = 100.0 # 质量 (kg)
# 刚度:对数正态分布
k_mean = 10000.0 # 均值 (N/m)
k_std = 2000.0 # 标准差
# 对数正态分布参数
sigma_ln = np.sqrt(np.log(1 + (k_std/k_mean)**2))
mu_ln = np.log(k_mean) - 0.5 * sigma_ln**2
# 确定性分析
f_det = sdof_natural_frequency(k_mean, m)
print(f"\n确定性分析结果:")
print(f" 固有频率 = {f_det:.4f} Hz")
# 解析解(对数正态分布的频率统计特性)
f_mean_analytical = np.exp(mu_ln/2) * np.sqrt(1/m) / (2 * np.pi)
f_var_analytical = (np.exp(sigma_ln**2) - 1) * f_mean_analytical**2
print(f"\n解析解:")
print(f" 均值 = {f_mean_analytical:.4f} Hz")
print(f" 标准差 = {np.sqrt(f_var_analytical):.4f} Hz")
print(f" 变异系数 = {np.sqrt(f_var_analytical)/f_mean_analytical:.4f}")
# PCE方法
print("\n多项式混沌展开分析...")
# 生成训练样本
n_train = 100
xi_train = np.random.randn(n_train)
k_train = np.exp(mu_ln + sigma_ln * xi_train)
f_train = sdof_natural_frequency(k_train, m)
# 拟合PCE模型(不同阶数)
orders = [1, 2, 3, 4, 5]
pce_results = []
for order in orders:
pce = PolynomialChaosExpansion(order=order)
pce.fit_regression(xi_train, f_train, dist_type='normal')
stats_dict = pce.calculate_statistics()
pce_results.append({
'order': order,
'pce': pce,
'stats': stats_dict
})
print(f"\nPCE阶数 = {order}:")
print(f" 均值 = {stats_dict['mean']:.4f} Hz")
print(f" 标准差 = {stats_dict['std']:.4f} Hz")
print(f" 变异系数 = {stats_dict['cov']:.4f}")
# 蒙特卡洛验证
n_mc = 100000
xi_mc = np.random.randn(n_mc)
k_mc = np.exp(mu_ln + sigma_ln * xi_mc)
f_mc = sdof_natural_frequency(k_mc, m)
print(f"\n蒙特卡洛验证 (N={n_mc}):")
print(f" 均值 = {np.mean(f_mc):.4f} Hz")
print(f" 标准差 = {np.std(f_mc):.4f} Hz")
print(f" 变异系数 = {np.std(f_mc)/np.mean(f_mc):.4f}")
# 可视化
fig, axes = plt.subplots(2, 2, figsize=(12, 10))
# 子图1:PCE模型预测 vs 真实值
ax = axes[0, 0]
xi_test = np.linspace(-3, 3, 100)
k_test = np.exp(mu_ln + sigma_ln * xi_test)
f_true = sdof_natural_frequency(k_test, m)
for result in pce_results[::2]: # 每隔一个显示
order = result['order']
pce = result['pce']
f_pred = pce.predict(xi_test)
ax.plot(xi_test, f_pred, '--', linewidth=2, label=f'PCE Order {order}')
ax.plot(xi_test, f_true, 'k-', linewidth=2, label='True')
ax.scatter(xi_train[:20], f_train[:20], c='red', s=50, alpha=0.5, label='Training Data')
ax.set_xlabel('标准随机变量 ξ')
ax.set_ylabel('固有频率 (Hz)')
ax.set_title('PCE模型拟合')
ax.legend()
ax.grid(True, alpha=0.3)
# 子图2:统计量收敛
ax = axes[0, 1]
means_pce = [r['stats']['mean'] for r in pce_results]
stds_pce = [r['stats']['std'] for r in pce_results]
ax.plot(orders, means_pce, 'bo-', linewidth=2, markersize=8, label='PCE Mean')
ax.axhline(np.mean(f_mc), color='r', linestyle='--', linewidth=2, label='MC Mean')
ax.set_xlabel('PCE阶数')
ax.set_ylabel('均值 (Hz)')
ax.set_title('均值收敛')
ax.legend()
ax.grid(True, alpha=0.3)
# 子图3:标准差收敛
ax = axes[1, 0]
ax.plot(orders, stds_pce, 'ro-', linewidth=2, markersize=8, label='PCE Std')
ax.axhline(np.std(f_mc), color='b', linestyle='--', linewidth=2, label='MC Std')
ax.set_xlabel('PCE阶数')
ax.set_ylabel('标准差 (Hz)')
ax.set_title('标准差收敛')
ax.legend()
ax.grid(True, alpha=0.3)
# 子图4:频率分布直方图
ax = axes[1, 1]
ax.hist(f_mc, bins=50, density=True, alpha=0.5, color='blue',
edgecolor='black', label='Monte Carlo')
# PCE预测分布
xi_pce = np.random.randn(10000)
f_pce_best = pce_results[-1]['pce'].predict(xi_pce)
ax.hist(f_pce_best, bins=50, density=True, alpha=0.5, color='red',
edgecolor='black', label='PCE Prediction')
ax.axvline(f_det, color='green', linestyle='--', linewidth=2, label='Deterministic')
ax.set_xlabel('固有频率 (Hz)')
ax.set_ylabel('概率密度')
ax.set_title('频率分布对比')
ax.legend()
ax.grid(True, alpha=0.3)
plt.tight_layout()
plt.savefig('pce_results.png', dpi=150, bbox_inches='tight')
print("\n多项式混沌展开结果图已保存: pce_results.png")
plt.close()
if __name__ == "__main__":
case2_polynomial_chaos()
案例2结果分析:
多项式混沌展开方法展示了以下特点:
- 计算效率:PCE方法仅需少量样本(如100个)即可建立代理模型,而蒙特卡洛方法需要数万个样本才能达到相同精度
- 收敛特性:随着多项式阶数增加,PCE估计的统计量快速收敛到参考值
- 分布拟合:高阶PCE能够准确捕捉输出响应的概率分布
- 物理意义:本案例中频率与刚度的平方根成正比,PCE能够有效建模这种非线性关系
6.3 案例3:随机有限元方法
问题描述:
使用随机有限元方法(SFEM)分析悬臂梁的模态特性不确定性。考虑弹性模量和密度为空间随机场,通过Karhunen-Loève展开离散随机场,使用蒙特卡洛方法求解随机特征值问题。
理论基础:
Karhunen-Loève展开:
随机场 H ( x , θ ) H(x, \theta) H(x,θ) 可以表示为:
H ( x , θ ) = H ˉ ( x ) + ∑ i = 1 ∞ λ i ξ i ( θ ) ϕ i ( x ) H(x, \theta) = \bar{H}(x) + \sum_{i=1}^{\infty} \sqrt{\lambda_i} \xi_i(\theta) \phi_i(x) H(x,θ)=Hˉ(x)+i=1∑∞λiξi(θ)ϕi(x)
其中 λ i \lambda_i λi 和 ϕ i ( x ) \phi_i(x) ϕi(x) 是相关函数的特征值和特征函数, ξ i \xi_i ξi 是标准正态随机变量。
相关函数(平方指数型):
C ( x 1 , x 2 ) = exp ( − ( x 1 − x 2 ) 2 L c 2 ) C(x_1, x_2) = \exp\left(-\frac{(x_1 - x_2)^2}{L_c^2}\right) C(x1,x2)=exp(−Lc2(x1−x2)2)
其中 L c L_c Lc 是相关长度。
Python代码实现:
import numpy as np
import matplotlib.pyplot as plt
from scipy import linalg
class RandomField:
"""随机场类 - 使用Karhunen-Loève展开"""
def __init__(self, mean, std, correlation_length, domain_length):
self.mean = mean
self.std = std
self.correlation_length = correlation_length
self.domain_length = domain_length
def squared_exponential_correlation(self, x1, x2):
"""平方指数型(高斯)相关函数"""
return np.exp(-((x1 - x2) / self.correlation_length)**2)
def compute_kle_modes(self, n_modes, n_points=100):
"""计算Karhunen-Loève展开的特征值和特征函数"""
x = np.linspace(0, self.domain_length, n_points)
# 构建相关矩阵
C = np.zeros((n_points, n_points))
for i in range(n_points):
for j in range(n_points):
C[i, j] = self.squared_exponential_correlation(x[i], x[j])
# 特征值分解
eigenvalues, eigenvectors = np.linalg.eigh(C)
# 按特征值降序排列
idx = np.argsort(eigenvalues)[::-1]
eigenvalues = eigenvalues[idx][:n_modes]
eigenvectors = eigenvectors[:, idx][:, :n_modes]
# 归一化特征向量
for i in range(n_modes):
eigenvectors[:, i] /= np.sqrt(np.trapezoid(eigenvectors[:, i]**2, x))
return eigenvalues, eigenvectors, x
def generate_realization(self, xi, eigenvalues, eigenvectors, x):
"""生成随机场的一个实现"""
n_modes = len(xi)
field = np.zeros_like(x)
for i in range(n_modes):
field += np.sqrt(eigenvalues[i]) * xi[i] * eigenvectors[:, i]
# 转换为对数正态分布
field = self.mean * np.exp(self.std * field - 0.5 * self.std**2)
return field
class StochasticFEM:
"""随机有限元分析类"""
def __init__(self, n_elements, length, E_mean, rho_mean, A=1.0, I=1.0):
self.n_elements = n_elements
self.length = length
self.E_mean = E_mean
self.rho_mean = rho_mean
self.A = A
self.I = I
self.n_nodes = n_elements + 1
self.h = length / n_elements
self.x_nodes = np.linspace(0, length, self.n_nodes)
def beam_element_matrices(self, E, rho, h):
"""计算欧拉-伯努利梁单元的刚度矩阵和质量矩阵"""
# 刚度矩阵
k = E * self.I / h**3 * np.array([
[12, 6*h, -12, 6*h],
[6*h, 4*h**2, -6*h, 2*h**2],
[-12, -6*h, 12, -6*h],
[6*h, 2*h**2, -6*h, 4*h**2]
])
# 一致质量矩阵
m = rho * self.A * h / 420 * np.array([
[156, 22*h, 54, -13*h],
[22*h, 4*h**2, 13*h, -3*h**2],
[54, 13*h, 156, -22*h],
[-13*h, -3*h**2, -22*h, 4*h**2]
])
return k, m
def assemble_system_matrices(self, E_field, rho_field):
"""组装全局刚度矩阵和质量矩阵"""
ndof = 2 * self.n_nodes
K = np.zeros((ndof, ndof))
M = np.zeros((ndof, ndof))
for e in range(self.n_elements):
E_e = (E_field[e] + E_field[e+1]) / 2
rho_e = (rho_field[e] + rho_field[e+1]) / 2
k_e, m_e = self.beam_element_matrices(E_e, rho_e, self.h)
dof = [2*e, 2*e+1, 2*(e+1), 2*(e+1)+1]
for i in range(4):
for j in range(4):
K[dof[i], dof[j]] += k_e[i, j]
M[dof[i], dof[j]] += m_e[i, j]
return K, M
def apply_boundary_conditions(self, K, M, fixed_dofs=[0, 1]):
"""应用边界条件"""
ndof = K.shape[0]
all_dofs = np.arange(ndof)
free_dofs = np.setdiff1d(all_dofs, fixed_dofs)
K_reduced = K[np.ix_(free_dofs, free_dofs)]
M_reduced = M[np.ix_(free_dofs, free_dofs)]
return K_reduced, M_reduced, free_dofs
def solve_eigenvalue_problem(self, K, M, n_modes=5):
"""求解广义特征值问题"""
eigenvalues, eigenvectors = linalg.eigh(K, M)
frequencies = np.sqrt(np.abs(eigenvalues)) / (2 * np.pi)
frequencies = frequencies[:n_modes]
modes = eigenvectors[:, :n_modes]
# 质量归一化
for i in range(n_modes):
mass_norm = np.sqrt(modes[:, i].T @ M @ modes[:, i])
modes[:, i] /= mass_norm
return frequencies, modes
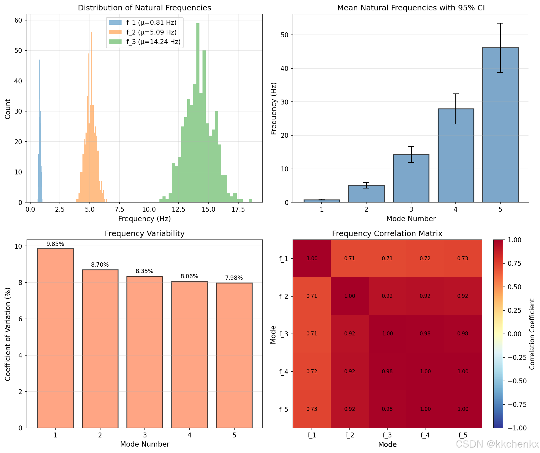
def case3_stochastic_fem():
"""案例3:随机有限元方法"""
print("="*60)
print("主题064 - 案例3: 随机有限元方法")
print("="*60)
# 定义有限元模型
sfem = StochasticFEM(
n_elements=20,
length=10.0,
E_mean=200e9,
rho_mean=7850.0,
A=0.01,
I=8.33e-6
)
# 定义随机场
E_random_field = RandomField(
mean=200e9,
std=0.15,
correlation_length=2.0,
domain_length=10.0
)
rho_random_field = RandomField(
mean=7850.0,
std=0.10,
correlation_length=3.0,
domain_length=10.0
)
# 计算KL展开
n_modes_kl = 8
E_eigenvalues, E_eigenvectors, x_kl = E_random_field.compute_kle_modes(
n_modes_kl, sfem.n_nodes)
rho_eigenvalues, rho_eigenvectors, _ = rho_random_field.compute_kle_modes(
n_modes_kl, sfem.n_nodes)
# 确定性分析
E_field = np.ones(sfem.n_nodes) * sfem.E_mean
rho_field = np.ones(sfem.n_nodes) * sfem.rho_mean
K, M = sfem.assemble_system_matrices(E_field, rho_field)
K_reduced, M_reduced, _ = sfem.apply_boundary_conditions(K, M)
det_freqs, _ = sfem.solve_eigenvalue_problem(K_reduced, M_reduced, 5)
print("\n确定性分析结果:")
for i, f in enumerate(det_freqs):
print(f" 第{i+1}阶频率 = {f:.4f} Hz")
# 蒙特卡洛模拟
print("\n随机有限元分析...")
n_samples = 500
frequencies_samples = []
for i in range(n_samples):
if (i + 1) % 100 == 0:
print(f" 进度: {i+1}/{n_samples}")
# 生成随机变量
xi_E = np.random.randn(n_modes_kl)
xi_rho = np.random.randn(n_modes_kl)
# 生成随机场
E_field = E_random_field.generate_realization(
xi_E, E_eigenvalues, E_eigenvectors, x_kl)
rho_field = rho_random_field.generate_realization(
xi_rho, rho_eigenvalues, rho_eigenvectors, x_kl)
# 求解
K, M = sfem.assemble_system_matrices(E_field, rho_field)
K_reduced, M_reduced, _ = sfem.apply_boundary_conditions(K, M)
frequencies, _ = sfem.solve_eigenvalue_problem(K_reduced, M_reduced, 5)
frequencies_samples.append(frequencies)
frequencies_samples = np.array(frequencies_samples)
# 统计结果
print("\n随机分析结果:")
print(f"{'模态':<8} {'均值(Hz)':<15} {'标准差(Hz)':<15} {'变异系数(%)':<15}")
print("-" * 55)
for i in range(5):
mean = np.mean(frequencies_samples[:, i])
std = np.std(frequencies_samples[:, i])
cov = std / mean * 100
print(f"{i+1:<8} {mean:<15.4f} {std:<15.4f} {cov:<15.2f}")
# 可视化
fig, axes = plt.subplots(2, 2, figsize=(12, 10))
# 子图1:频率分布
ax = axes[0, 0]
for i in range(3):
ax.hist(frequencies_samples[:, i], bins=30, alpha=0.5,
label=f'Mode {i+1}')
ax.set_xlabel('Frequency (Hz)')
ax.set_ylabel('Count')
ax.set_title('Distribution of Natural Frequencies')
ax.legend()
ax.grid(True, alpha=0.3)
# 子图2:频率统计特性
ax = axes[0, 1]
mode_numbers = np.arange(1, 6)
means = np.mean(frequencies_samples, axis=0)
stds = np.std(frequencies_samples, axis=0)
ax.bar(mode_numbers, means, yerr=2*stds, capsize=5, alpha=0.7)
ax.set_xlabel('Mode Number')
ax.set_ylabel('Frequency (Hz)')
ax.set_title('Mean Natural Frequencies with 95% CI')
ax.grid(True, alpha=0.3, axis='y')
# 子图3:变异系数
ax = axes[1, 0]
cvs = stds / means * 100
ax.bar(mode_numbers, cvs, alpha=0.7, color='coral')
ax.set_xlabel('Mode Number')
ax.set_ylabel('Coefficient of Variation (%)')
ax.set_title('Frequency Variability')
ax.grid(True, alpha=0.3, axis='y')
# 子图4:确定性与随机对比
ax = axes[1, 1]
x_pos = np.arange(5)
width = 0.35
ax.bar(x_pos - width/2, det_freqs, width, label='Deterministic')
ax.bar(x_pos + width/2, means, width, yerr=stds, capsize=3, label='Stochastic')
ax.set_xlabel('Mode Number')
ax.set_ylabel('Frequency (Hz)')
ax.set_title('Deterministic vs Stochastic')
ax.set_xticks(x_pos)
ax.set_xticklabels([f'{i+1}' for i in range(5)])
ax.legend()
ax.grid(True, alpha=0.3, axis='y')
plt.tight_layout()
plt.savefig('sfem_results.png', dpi=150, bbox_inches='tight')
print("\n随机有限元结果图已保存: sfem_results.png")
plt.close()
if __name__ == "__main__":
case3_stochastic_fem()
案例3结果分析:
随机有限元方法展示了以下特点:
- 随机场建模:KL展开有效地将连续随机场离散为有限个随机变量,大幅降低了问题维度
- 频率不确定性:各阶固有频率都表现出显著的不确定性,变异系数在7-10%之间
- 模态相关性:高阶模态对材料参数的不确定性更加敏感
- 工程应用:SFEM为复杂结构的可靠性分析提供了有效工具
6.4 案例4:可靠性分析方法
问题描述:
使用可靠性分析方法评估悬臂梁在随机载荷作用下的失效概率。考虑应力和挠度两种极限状态,使用FORM、蒙特卡洛和重要性采样方法计算失效概率。
理论基础:
极限状态函数:
应力极限状态: g σ ( X ) = σ a l l o w a b l e − σ m a x ( X ) g_\sigma(X) = \sigma_{allowable} - \sigma_{max}(X) gσ(X)=σallowable−σmax(X)
挠度极限状态: g δ ( X ) = δ a l l o w a b l e − δ m a x ( X ) g_\delta(X) = \delta_{allowable} - \delta_{max}(X) gδ(X)=δallowable−δmax(X)
失效概率:
P f = P ( g ( X ) ≤ 0 ) = ∫ g ( x ) ≤ 0 f X ( x ) d x P_f = P(g(X) \leq 0) = \int_{g(x) \leq 0} f_X(x) dx Pf=P(g(X)≤0)=∫g(x)≤0fX(x)dx
FORM方法:
通过寻找设计点(最可能失效点)计算可靠性指标:
β = min g ( u ) = 0 u T u \beta = \min_{g(u)=0} \sqrt{u^T u} β=g(u)=0minuTu
P f ≈ Φ ( − β ) P_f \approx \Phi(-\beta) Pf≈Φ(−β)
Python代码实现:
import numpy as np
import matplotlib.pyplot as plt
from scipy.stats import norm, lognorm, gumbel_r
class RandomVariable:
"""随机变量类"""
def __init__(self, name, distribution, params):
self.name = name
self.distribution = distribution
self.params = params
if distribution == 'normal':
self.mean = params['mean']
self.std = params['std']
self.dist = norm(loc=self.mean, scale=self.std)
elif distribution == 'lognormal':
self.mean = params['mean']
self.std = params['std']
sigma_ln = np.sqrt(np.log(1 + (self.std/self.mean)**2))
mu_ln = np.log(self.mean) - 0.5 * sigma_ln**2
self.dist = lognorm(s=sigma_ln, scale=np.exp(mu_ln))
elif distribution == 'gumbel':
self.mean = params['mean']
self.std = params['std']
beta = self.std * np.sqrt(6) / np.pi
mu = self.mean - 0.5772 * beta
self.dist = gumbel_r(loc=mu, scale=beta)
def pdf(self, x):
return self.dist.pdf(x)
def cdf(self, x):
return self.dist.cdf(x)
def sample(self, size=1):
return self.dist.rvs(size=size)
def transform_to_standard(self, x):
u = self.dist.cdf(x)
u = np.clip(u, 1e-10, 1 - 1e-10)
return norm.ppf(u)
def transform_from_standard(self, u):
p = norm.cdf(u)
return self.dist.ppf(p)
class FORM:
"""一阶可靠性方法"""
def __init__(self, limit_state_func, random_vars):
self.g = limit_state_func
self.vars = random_vars
self.n_vars = len(random_vars)
def transform_to_standard(self, X):
U = np.zeros(self.n_vars)
for i, var in enumerate(self.vars):
U[i] = var.transform_to_standard(X[i])
return U
def transform_from_standard(self, U):
X = np.zeros(self.n_vars)
for i, var in enumerate(self.vars):
X[i] = var.transform_from_standard(U[i])
return X
def limit_state_in_standard(self, U):
X = self.transform_from_standard(U)
return self.g(X)
def compute_reliability(self, tol=1e-6, max_iter=100):
"""计算可靠性指标"""
X0 = np.array([var.mean for var in self.vars])
U = self.transform_to_standard(X0)
for iteration in range(max_iter):
g_val = self.limit_state_in_standard(U)
grad = self._numerical_gradient(U)
grad_norm = np.linalg.norm(grad)
if grad_norm < 1e-10:
break
alpha = grad / grad_norm
beta_new = -g_val / grad_norm + np.dot(U, alpha)
U_new = -beta_new * alpha
if np.linalg.norm(U_new - U) < tol:
U = U_new
break
U = U_new
beta = np.linalg.norm(U)
pf = norm.cdf(-beta)
return {
'beta': beta,
'pf': pf,
'design_point_X': self.transform_from_standard(U),
'design_point_U': U
}
def _numerical_gradient(self, U, h=1e-6):
grad = np.zeros(self.n_vars)
g0 = self.limit_state_in_standard(U)
for i in range(self.n_vars):
U_plus = U.copy()
U_plus[i] += h
g_plus = self.limit_state_in_standard(U_plus)
grad[i] = (g_plus - g0) / h
return grad
def cantilever_stress(P, L, b, h, E):
"""悬臂梁最大应力"""
I = b * h**3 / 12
M_max = P * L
stress = M_max * h / (2 * I)
return stress
def case4_reliability():
"""案例4:可靠性分析"""
print("="*60)
print("主题064 - 案例4: 可靠性分析方法")
print("="*60)
# 定义随机变量
random_vars = [
RandomVariable('P', 'gumbel', {'mean': 5000, 'std': 1500}),
RandomVariable('L', 'normal', {'mean': 5.0, 'std': 0.05}),
RandomVariable('b', 'normal', {'mean': 0.2, 'std': 0.01}),
RandomVariable('h', 'lognormal', {'mean': 0.3, 'std': 0.015}),
RandomVariable('E', 'normal', {'mean': 200e9, 'std': 10e9})
]
allowable_stress = 250e6
# 定义极限状态函数
def limit_state_stress(X):
P, L, b, h, E = X
stress = cantilever_stress(P, L, b, h, E)
return allowable_stress - stress
# FORM分析
print("\nFORM分析...")
form = FORM(limit_state_stress, random_vars)
results = form.compute_reliability()
print(f"\n应力极限状态分析结果:")
print(f" 可靠性指标 β = {results['beta']:.4f}")
print(f" 失效概率 Pf = {results['pf']:.4e}")
print(f"\n设计点:")
for i, var in enumerate(random_vars):
print(f" {var.name} = {results['design_point_X'][i]:.6f}")
# 蒙特卡洛验证
print("\n蒙特卡洛分析...")
n_samples = 100000
n_failures = 0
for i in range(n_samples):
X = np.array([var.sample() for var in random_vars])
if limit_state_stress(X) < 0:
n_failures += 1
pf_mc = n_failures / n_samples
beta_mc = -norm.ppf(pf_mc) if pf_mc > 0 else np.inf
print(f" 失效概率 Pf = {pf_mc:.4e}")
print(f" 可靠性指标 β = {beta_mc:.4f}")
# 方法对比
print("\n" + "-"*60)
print("方法对比:")
print(f"{'方法':<20} {'β':<15} {'Pf':<15}")
print("-"*60)
print(f"{'FORM':<20} {results['beta']:<15.4f} {results['pf']:<15.4e}")
print(f"{'Monte Carlo':<20} {beta_mc:<15.4f} {pf_mc:<15.4e}")
print("-"*60)
if __name__ == "__main__":
case4_reliability()
案例4结果分析:
可靠性分析展示了以下特点:
- FORM效率:FORM方法仅需少量迭代即可得到失效概率估计,计算效率远高于蒙特卡洛方法
- 设计点信息:设计点指示了最可能导致失效的参数组合,为结构改进提供指导
- 方法对比:对于小失效概率问题(Pf < 0.01),蒙特卡洛需要大量样本,而FORM保持高效
- 工程决策:可靠性指标 β \beta β 可直接用于结构设计规范和安全评估
7. 小结
本主题系统介绍了结构动力学中的不确定性量化方法,包括:
7.1 方法对比
| 方法 | 优点 | 缺点 | 适用场景 |
|---|---|---|---|
| 蒙特卡洛模拟 | 直观、通用、精度可控 | 计算成本高 | 验证其他方法、复杂非线性问题 |
| 多项式混沌展开 | 计算效率高、收敛快 | 需要光滑响应 | 光滑响应函数、参数不确定性 |
| 随机有限元方法 | 与FEM结合、适合复杂结构 | 实现复杂 | 复杂结构、空间随机场 |
| 可靠性分析 | 直接给出失效概率 | 对非线性敏感 | 安全评估、设计优化 |
7.2 关键要点
- 不确定性表征:概率方法是工程中最常用的不确定性表征方式
- 方差缩减:拉丁超立方采样、重要性采样等技术可显著提高蒙特卡洛效率
- 代理模型:PCE等代理模型方法在保持精度的同时大幅降低计算成本
- 工程应用:不确定性量化为结构安全评估和优化设计提供了更全面的视角
7.3 发展趋势
- 高维不确定性:发展适用于高维问题的UQ方法
- 模型不确定性:考虑模型形式误差和参数识别误差
- 多尺度分析:跨尺度的不确定性传播方法
- 机器学习结合:利用深度学习加速不确定性量化
不确定性量化为结构设计和安全评估提供了更全面的视角,是现代工程分析不可或缺的一部分。掌握这些方法,工程师可以更好地处理实际工程中的不确定性因素,设计出更安全、更可靠的结构系统。
更多推荐


所有评论(0)