【本源量子】成果解读|QNN赋能AI生成图像检测:小样本泛化增强,“本源悟空72”实测
写在前面
本源量子云平台基于“本源悟空”系列超导量子计算机、丰富的量子编程工具,为量子计算爱好者提供算力云服务和量子应用开发,满足学习、训练、科研和商业应用等具体需求。
自平台上线运行以来,“本源悟空”和系列工具已支撑产出多篇科研论文和应用成果,我们将通过系列专题的形式,为你一一解读。首篇聚焦经典-量子混合神经网络方案的研究成果。
成果介绍
本源量子与安徽大学研究团队展开合作,开创性地将量子神经网络引入AI生成图像检测领域,提出经典-量子混合神经网络方案,为人工智能图像检测领域装备了“量子检测仪”,整体检测准确率比传统方案高出2%左右。目前,该算法已成功在本源量子自主研发的“本源悟空”超导量子计算机上完成验证。

-
论文标题:
AI-generated image detection algorithm based on classical-quantum hybrid neural network
-
引用方式:
Xu J C, Fang H, Yang Y, et al. AI-generated image detection algorithm based on classical-quantum hybrid neural network. Sci China Inf Sci, 2026, 69(1): 112501, https://doi.org/10.1007/s11432-024-4475-4
内容简介
此研究首次将量子神经网络(QNN)引入AI生成图像检测领域,利用量子神经网络的高维表达空间,以及在小样本下的泛化特性,构建了经典Swin Transformer V2与QNN结合的经典-量子混合神经网络,为AI生成图像检测领域提供了全新技术思路。该结构成功实现了高可训练性与丰富的表达能力。在多种生成模型数据集上进行的大量实验表明,即使训练样本数量较少,该混合神经网络仍能实现强大的泛化能力,整体检测准确率比经典神经网络高出2%。
此外,研究团队在本源量子提供的“本源悟空”72比特超导量子计算机上验证了该混合神经网络的可行性,其实测精度与经典计算机仿真结果相当,证明了所提模型在实际量子计算系统中的可行性和有效性。
研究背景与意义
AI 生成图像越来越逼真,从艺术创作到内容生产带来无限可能,但也暗藏虚假信息传播的风险 —— 如何精准识别不同模型生成的 “AI 赝品”,成为当下技术痛点。传统检测方法面对层出不穷的生成模型,常常陷入 “泛化能力不足” 的困境,尤其是小样本训练场景下,检测准确率大打折扣。
长期以来,AI 生成图像检测主要依赖两类方法:一类是频率域特征提取,通过分析图像频谱中的独特伪影来识别;另一类是空间域特征提取,依靠人工设计的颜色、饱和度差异或深度学习模型提取局部特征。但这些方法都存在明显局限,而量子神经网络的出现在一定程度上弥补了这些短板。
QNN 借助量子叠加、纠缠特性,单个神经元可同时处于多种状态,拥有指数级增长的表征空间和天然并行性,能在少量数据中挖掘更本质的鉴别特征。加之当前量子计算处于NISQ时代,纯量子模型难以大规模落地,因此研究团队提出一个新的 “经典 - 量子混合架构”,既发挥经典模型的特征提取优势,又解锁量子计算的独特潜力。
研究创新点
创新思路一:
基于量子神经网络的三大特征:1、使用量子态在希尔伯特空间中表示信息,而不是经典二进制数据。2、QNN 中的可训练参数是量子线路中的旋转门角度,而不是经典浮点数权重。3、QNN 中的输出值是量子比特的测量信息,而不是经典神经元的输出值。研究团队首次在AI生成图像检测领域引入了QNN,将经典神经网络用于特征提取和降低维度,将量子神经网络用于分类。
通过针对性地设计基于交替分层式量子线路的QNN并将其与经典神经网络相结合,有效地探索了QNN在该领域的优势。
图1 基于经典-量子混合神经网络的AI生成图像检测算法整体框图
创新思路二:
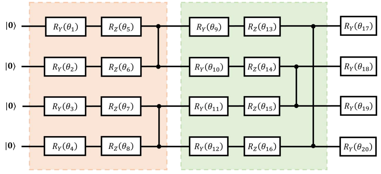
基于交替分层式量子线路(ALT)设计了一种兼具高表达能力和可训练性的参数化量子线路,采用两种类型的量子旋转门作为量子参数的载体。这种QNN以分层交替的方式纠缠所有量子比特,允许每个量子比特充分探索其表示空间,有效地将真实图像和 AI 生成图像的特征映射到不同的区域,从而实现更好的泛化,以相对较浅的线路深度实现强大的表达能力,具有很高的可训练性。
图2 QNN量子线路图
创新思路三:
模拟实验结果表明,本研究提出的的经典-量子混合神经网络可以在少量训练样本下实现强大的泛化能力。进一步地,在“本源悟空”超导量子真机的实验中,验证了经典-量子混合神经网络在超导量子计算硬件上的检测精度与模拟实验结果相匹配,从而证实了本研究方法在现有真实量子计算系统中的实用性和有效性。
图3 论文所用的“本源悟空”量子计算机拓扑结构图
核心成果
1、混合网络精度领先
实验结果表明,论文方法可以有效提升AI生成图像检测的泛化性,如表1所示。本文使用了7种不同图像生成模型的测试集进行实验对比,经典-量子混合神经网络在所有测试集中的平均分类准确率达到了93.47%,与对比方法中表现最好的UniFD相比,提高了1.59%。另外,混合神经网络与使用经典神经网络替换QNN的全经典神经网络进行对比,提升了2.69%,验证了引入QNN的有效性。
表1 经典-量子混合神经网络与其他检测方法的对比实验
2、小样本下泛化更强
论文还探索了在不同的训练样本量下,经典-量子混合神经网络的检测性能表现。如表2所示,混合神经网络的平均分类准确率均高于全经典神经网络,这种优势在样本量较小的情况下更加明显。例如,当样本量为20k时,二者的差距为0.43%,而当训练样本量为2k时,混合神经网络相比全经典神经网络提升了2.69%。因此,该实验也验证了QNN具有从少量训练样本中实现良好泛化的特性。
表2 经典-量子混合神经网络在不同训练样本量下的对比实验结果
3、量子真机验证可行
论文进一步使用了本源量子的“悟空”72比特超导量子计算机进行了推理实验,结果如表3和图4所示。可以看到,经典-量子混合神经网络在量子真机中实现了与模拟器中相似的分类准确率,证明了经典-量子混合神经网络在超导量子计算机中的可行性和有效性。
表3展示了该经典-量子混合神经网络在模拟器和真实量子计算机上的推理精度和损失。由表可观察到,混合神经网络在模拟器和真实量子计算机上的推理精度相近,在七个测试集中的六个上,精度差异不到1%。这表明研究团队提出的混合神经网络在真实量子计算机上同样表现出色,验证了该网络在近期量子设备上的可行性。
表3 经典-量子混合神经网络在超导量子计算机中的检测准确率与损失值
在真实的量子计算机上,量子噪声的存在限制了量子比特测量值的范围,导致对数几率分布向中心偏移。尽管如此,仍然能观察到分别对应真实图像和人工智能生成图像预测结果的两种不同分布,结果如图4展示。这表明即使在真实的量子计算机上,文章的方法也能有效区分真实图像和人工智能生成图像。这些结果表明,经典-量子混合神经网络在当今真实的量子计算系统中是可行且有效的。
图4 经典-量子混合神经网络在超导量子计算机中的输出logit分布图
“本源悟空”的三大关键助力
该项成果的落地离不开“本源悟空” 72 比特超导量子计算机 ,这也是本论文最具实践意义的验证环节。
1、提供真实量子计算环境
“本源悟空” 拥有 72 个可调谐超导量子比特、126 个可调谐耦合器,单比特门保真度 99.7%、两比特门保真度 97.2%,为模型验证提供了高可靠性的硬件支撑。
2、支持量子并行计算
研究采用量子并行策略,选取 “本源悟空” 芯片上 4 个区域的 16 个量子比特,实现 4 路并行计算。如,将 56600 个测试样本的电路执行量减少 75%(仅需 14150 次),大幅提升实验效率。
3、验证模型实际可行性
在 “本源悟空” 上的实验结果与经典模拟器相差仅 0.58%,即使受量子噪声影响,仍能清晰区分真实图像与 AI 生成图像,证明该混合模型在真实量子系统中完全可用。
该项研究是量子神经网络(QNN)首次在该领域“披挂上阵”。通过引入量子叠加、纠缠以及更高维度的表征空间等独特属性,该模型弥补了经典神经网络的先天不足。实验数据表明,这种混合架构在面对训练样本有限的挑战时,展现出了尤为强劲的泛化能力,明显优于许多现有的前沿方法。作为首个利用QNN泛化能力和表达能力来解决AI生成图像检测问题的模型,它不仅验证了量子计算在这一领域的潜力,更已在真实量子计算机上完成了验证,为未来构建更通用的AI检测工具提供了宝贵的实践范例。
更多推荐


所有评论(0)