【Trans论文复现】基于Agent的电力市场深度决策梯度(深度强化学习)算法建模研究附Python代码
电力市场的有效运行对于能源资源的合理配置至关重要。随着电力市场的复杂性不断增加,传统的决策方法难以应对其中的各种不确定性和动态变化。基于 Agent 的深度强化学习(DRL)方法为电力市场决策提供了一种强大的解决方案。本次对相关 Trans 论文进行复现,旨在深入理解并验证基于 Agent 的电力市场深度决策梯度算法的建模过程与有效性。根据电力市场的关键因素,定义状态空间。以发电企业 Agent
✅作者简介:热爱科研的Matlab仿真开发者,擅长毕业设计辅导、数学建模、数据处理、建模仿真、程序设计、完整代码获取、论文复现及科研仿真。
🍎 往期回顾关注个人主页:Matlab科研工作室
👇 关注我领取海量matlab电子书和数学建模资料
🍊个人信条:格物致知,完整Matlab代码获取及仿真咨询内容私信。
🔥 内容介绍
一、引言
电力市场的有效运行对于能源资源的合理配置至关重要。随着电力市场的复杂性不断增加,传统的决策方法难以应对其中的各种不确定性和动态变化。基于 Agent 的深度强化学习(DRL)方法为电力市场决策提供了一种强大的解决方案。本次对相关 Trans 论文进行复现,旨在深入理解并验证基于 Agent 的电力市场深度决策梯度算法的建模过程与有效性。
二、电力市场背景与挑战
(一)电力市场结构与运行机制
现代电力市场通常由发电侧、输电网络、配电网络以及用户侧构成。发电企业在市场中竞价出售电力,输电和配电网络负责电力的传输与分配,用户则根据自身需求购买电力。市场运行机制包括电能交易、辅助服务市场等,通过价格信号来调节电力的供需平衡。例如,在电能交易市场中,发电企业根据自身成本和市场预期报出电价,需求方则根据用电需求和价格选择购买对象。
(二)面临的挑战
-
不确定性因素众多:电力市场受到多种不确定性因素影响,如可再生能源发电的间歇性(太阳能、风能发电受天气影响)、负荷需求的波动(随时间、季节、天气变化)以及市场价格的动态变化等。这些不确定性使得准确预测电力供需和价格变得极为困难。
-
系统复杂性高:电力系统本身是一个复杂的网络,各部分之间相互关联、相互影响。发电、输电、配电和用电环节紧密耦合,一个环节的变化可能引发连锁反应,影响整个系统的稳定性和经济性。例如,某地区发电设备故障可能导致电力供应短缺,进而影响该地区及周边地区的电价和用户用电。
三、基于 Agent 的深度强化学习原理
(一)Agent 概念与特性
在基于 Agent 的电力市场建模中,Agent 是具有自主性、感知能力、决策能力和学习能力的实体。每个 Agent 代表电力市场中的一个参与者,如发电企业、电网运营商或大用户。它们能够感知市场环境信息(如电价、负荷需求、发电功率等),根据自身目标(如利润最大化、成本最小化等)做出决策,并通过学习不断优化决策策略。例如,发电企业 Agent 根据市场电价和自身发电成本决定发电功率,电网运营商 Agent 根据电网负荷情况调整输电策略。
(二)深度强化学习框架
-
状态、动作与奖励:
-
状态:Agent 的状态是对市场环境的一种量化描述,包含与决策相关的各种信息。在电力市场中,状态可能包括当前电价、各时段负荷预测值、发电设备状态、电网传输容量等。
-
动作:Agent 可采取的行动。对于发电企业 Agent,动作可能是调整发电功率;对于电网运营商 Agent,动作可能是改变输电线路的潮流分布或投入 / 退出某些输电设备。
-
奖励:用于反馈 Agent 决策的好坏。例如,发电企业 Agent 提高发电功率后,若市场电价升高且利润增加,则给予正奖励;若因过度发电导致电价下跌且利润受损,则给予负奖励。通过奖励信号,Agent 学习如何做出最优决策以最大化长期累积奖励。
-
-
深度神经网络与策略学习:深度强化学习利用深度神经网络来逼近 Agent 的策略函数(即从状态到动作的映射)。通过不断与环境交互,Agent 收集状态、动作和奖励数据,使用这些数据训练深度神经网络。常见的算法如深度 Q 网络(DQN)及其变体,通过优化 Q 值函数来学习最优策略。在电力市场中,深度神经网络根据输入的市场状态信息预测每个动作对应的 Q 值,Agent 选择 Q 值最大的动作执行,随着学习的进行,策略不断优化。
四、基于 Agent 的电力市场深度决策梯度算法建模过程
(一)模型假设与简化
-
市场参与者假设:假设电力市场中有多个发电企业 Agent、电网运营商 Agent 和用户 Agent。每个发电企业 Agent 具有不同的发电成本和发电容量;电网运营商 Agent 负责维护电网的安全稳定运行并管理输电资源;用户 Agent 根据自身需求和电价调整用电行为。
-
市场环境简化:为便于建模,对电力市场的一些复杂细节进行简化。例如,忽略电力传输过程中的微小损耗,假设电网拓扑结构相对稳定,不考虑短期的电网升级改造等因素。
(二)状态空间定义
根据电力市场的关键因素,定义状态空间。以发电企业 Agent 为例,状态空间可能包括:
-
市场信息:当前实时电价、近期电价波动趋势、各时段市场负荷需求。
-
自身信息:发电企业的发电成本、发电设备的运行状态(正常 / 故障)、当前发电功率、剩余发电容量。
-
电网信息:与该发电企业连接的输电线路的传输容量、当前潮流分布。
(三)动作空间定义
发电企业 Agent 的动作空间主要围绕发电功率的调整。例如,可定义动作集合为 {−ΔP,0,+ΔP},其中 ΔP 表示发电功率的调整步长。负号表示减少发电功率,正号表示增加发电功率,0 表示保持当前发电功率不变。电网运营商 Agent 的动作空间则可能包括调整某些输电线路的功率分配、投入或退出无功补偿设备等。
(四)奖励函数设计
奖励函数的设计要紧密结合 Agent 的目标。对于发电企业 Agent,以利润最大化为目标,奖励函数可定义为:R=Revenue−Cost其中,Revenue 是发电企业的销售收入,等于当前电价乘以发电功率;Cost 包括发电成本(与发电功率相关)以及可能的惩罚成本(如因发电功率变化过快导致设备损耗增加而产生的成本)。电网运营商 Agent 的奖励函数可能基于电网的安全稳定运行指标,如电网潮流是否在允许范围内、电压是否稳定等,当电网运行指标满足要求时给予正奖励,不满足时给予负奖励。
(五)深度神经网络架构选择
选择合适的深度神经网络架构来逼近策略函数。常见的架构如多层感知机(MLP),对于电力市场这种多因素输入的场景较为适用。MLP 由输入层、多个隐藏层和输出层组成。输入层节点数与状态空间维度相同,输出层节点数与动作空间维度相同。隐藏层的数量和节点数可通过实验进行调整优化,以平衡模型的拟合能力和计算复杂度。例如,可先尝试一个具有两个隐藏层,每个隐藏层包含 64 个节点的 MLP 架构,观察模型的学习效果和性能表现,再根据结果进行调整。
(六)算法训练与优化
-
训练过程:使用深度强化学习算法(如 DQN)对模型进行训练。Agent 在模拟的电力市场环境中不断进行试验,执行动作并观察环境反馈的奖励。将每次试验的状态、动作、奖励和下一个状态记录下来,形成经验数据。定期从经验数据中随机采样一批数据,用于训练深度神经网络。在训练过程中,通过反向传播算法更新神经网络的权重,使得预测的 Q 值与目标 Q 值之间的误差逐渐减小。
-
优化策略:为提高训练效率和模型性能,采用一些优化策略。例如,使用经验回放机制,将经验数据存储在经验池中,随机采样数据进行训练,打破数据之间的相关性,提高训练的稳定性;引入目标网络,定期更新目标网络的权重,使其与当前策略网络的权重保持一定的差异,以避免 Q 值估计的偏差。同时,调整学习率、折扣因子等超参数,以找到最优的训练配置。
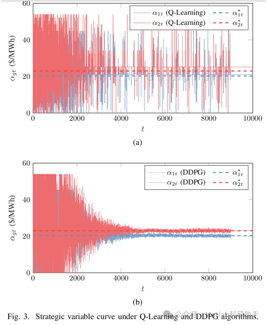
⛳️ 运行结果





🔗 参考文献
[1] 高玉钊.基于值函数分解的多智能体深度强化学习围捕算法研究[D].军事科学院,2023.
[2] 李爱宁,赵泽茂.基于RBAC的多等级移动Agent系统访问控制机制[J].计算机系统应用, 2009, 18(7):5.DOI:10.3969/j.issn.1003-3254.2009.07.006.
[3] 冒建亮,王 展,周 昕,et al.基于深度强化学习的机械臂动态 避障算法设计与实验验证[J].Experimental Technology & Management, 2025, 42(4).DOI:10.16791/j.cnki.sjg.2025.04.010.
![]()
🎈 部分理论引用网络文献,若有侵权联系博主删除
🏆团队擅长辅导定制多种毕业课题和科研领域
MATLAB仿真,助力毕业科研梦:
🌈 各类智能优化算法改进及应用
生产调度、经济调度、装配线调度、充电优化、车间调度、发车优化、水库调度、三维装箱、物流选址、货位优化、公交排班优化、充电桩布局优化、车间布局优化、集装箱船配载优化、水泵组合优化、解医疗资源分配优化、设施布局优化、可视域基站和无人机选址优化、背包问题、 风电场布局、时隙分配优化、 最佳分布式发电单元分配、多阶段管道维修、 工厂-中心-需求点三级选址问题、 应急生活物质配送中心选址、 基站选址、 道路灯柱布置、 枢纽节点部署、 输电线路台风监测装置、 集装箱调度、 机组优化、 投资优化组合、云服务器组合优化、 天线线性阵列分布优化、CVRP问题、VRPPD问题、多中心VRP问题、多层网络的VRP问题、多中心多车型的VRP问题、 动态VRP问题、双层车辆路径规划(2E-VRP)、充电车辆路径规划(EVRP)、油电混合车辆路径规划、混合流水车间问题、 订单拆分调度问题、 公交车的调度排班优化问题、航班摆渡车辆调度问题、选址路径规划问题、港口调度、港口岸桥调度、停机位分配、机场航班调度、泄漏源定位
🌈 机器学习和深度学习时序、回归、分类、聚类和降维
2.1 bp时序、回归预测和分类
2.2 ENS声神经网络时序、回归预测和分类
2.3 SVM/CNN-SVM/LSSVM/RVM支持向量机系列时序、回归预测和分类
2.4 CNN|TCN|GCN卷积神经网络系列时序、回归预测和分类
2.5 ELM/KELM/RELM/DELM极限学习机系列时序、回归预测和分类
2.6 GRU/Bi-GRU/CNN-GRU/CNN-BiGRU门控神经网络时序、回归预测和分类
2.7 ELMAN递归神经网络时序、回归\预测和分类
2.8 LSTM/BiLSTM/CNN-LSTM/CNN-BiLSTM/长短记忆神经网络系列时序、回归预测和分类
2.9 RBF径向基神经网络时序、回归预测和分类
2.10 DBN深度置信网络时序、回归预测和分类
2.11 FNN模糊神经网络时序、回归预测
2.12 RF随机森林时序、回归预测和分类
2.13 BLS宽度学习时序、回归预测和分类
2.14 PNN脉冲神经网络分类
2.15 模糊小波神经网络预测和分类
2.16 时序、回归预测和分类
2.17 时序、回归预测预测和分类
2.18 XGBOOST集成学习时序、回归预测预测和分类
2.19 Transform各类组合时序、回归预测预测和分类
方向涵盖风电预测、光伏预测、电池寿命预测、辐射源识别、交通流预测、负荷预测、股价预测、PM2.5浓度预测、电池健康状态预测、用电量预测、水体光学参数反演、NLOS信号识别、地铁停车精准预测、变压器故障诊断
🌈图像处理方面
图像识别、图像分割、图像检测、图像隐藏、图像配准、图像拼接、图像融合、图像增强、图像压缩感知
🌈 路径规划方面
旅行商问题(TSP)、车辆路径问题(VRP、MVRP、CVRP、VRPTW等)、无人机三维路径规划、无人机协同、无人机编队、机器人路径规划、栅格地图路径规划、多式联运运输问题、 充电车辆路径规划(EVRP)、 双层车辆路径规划(2E-VRP)、 油电混合车辆路径规划、 船舶航迹规划、 全路径规划规划、 仓储巡逻
🌈 无人机应用方面
无人机路径规划、无人机控制、无人机编队、无人机协同、无人机任务分配、无人机安全通信轨迹在线优化、车辆协同无人机路径规划
🌈 通信方面
传感器部署优化、通信协议优化、路由优化、目标定位优化、Dv-Hop定位优化、Leach协议优化、WSN覆盖优化、组播优化、RSSI定位优化、水声通信、通信上传下载分配
🌈 信号处理方面
信号识别、信号加密、信号去噪、信号增强、雷达信号处理、信号水印嵌入提取、肌电信号、脑电信号、信号配时优化、心电信号、DOA估计、编码译码、变分模态分解、管道泄漏、滤波器、数字信号处理+传输+分析+去噪、数字信号调制、误码率、信号估计、DTMF、信号检测
🌈电力系统方面
微电网优化、无功优化、配电网重构、储能配置、有序充电、MPPT优化、家庭用电
🌈 元胞自动机方面
交通流 人群疏散 病毒扩散 晶体生长 金属腐蚀
🌈 雷达方面
卡尔曼滤波跟踪、航迹关联、航迹融合、SOC估计、阵列优化、NLOS识别
🌈 车间调度
零等待流水车间调度问题NWFSP 、 置换流水车间调度问题PFSP、 混合流水车间调度问题HFSP 、零空闲流水车间调度问题NIFSP、分布式置换流水车间调度问题 DPFSP、阻塞流水车间调度问题BFSP
更多推荐




所有评论(0)