AI解锁中子星核心奥秘:VAE模型精准生成状态方程
研究提出结构化 VAE 框架生成中子星状态方程(EOS),将传统 10 参数 Skyrme 模型压缩为 3 个参数Mmax、R1.4与 1 个潜在变量,生成的 EOS 与 SLy4 模型高度吻合,Mmax和R1.4的平均绝对百分比误差均仅 0.15%。
本文为《 Data-Driven Generation of Neutron Star Equations of State Using Variational Autoencoders 》的阅读笔记,原文链接:https://arxiv.org/abs/2601.21231。
华盛顿大学团队在预印本发表该研究,提出结构化 VAE 框架生成中子星状态方程(EOS)。模型将传统 10 参数 Skyrme 模型压缩为 3 个参数Mmax、R1.4与 1 个潜在变量,生成的 EOS 与 SLy4 模型高度吻合,Mmax和R1.4的平均绝对百分比误差均仅 0.15%。该框架可快速生成物理合理的 EOS,为引力波解读、中子星属性分析提供高效工具,显著降低 EOS 的不确定性。

中子星是宇宙中密度极致的天体,其核心物质状态( EOS,状态方程)直接决定了星体质量、半径等关键属性,是天体物理领域的研究核心。但中子星核心密度远超实验室可达范围,传统理论模型难以精准描述,且存在大量不确定性。华盛顿大学团队提出基于结构化变分自编码器(VAE)的 AI 框架,成功破解这一难题 —— 仅用 3 个参数就能生成物理上合理的中子星状态方程,为解析中子星本质、解读引力波数据提供了革命性工具。
一、中子星状态方程的 “探测困境”
中子星核心密度可达原子核密度的 2 倍以上,其内部物质可能呈现夸克解禁、超子等 exotic 形态,状态方程(描述压力与能量密度的关系)的精准构建面临多重挑战:
实验无法复现:极端密度环境无法在实验室模拟,只能依赖理论推导与天文观测间接约束;
理论模型复杂:传统 Skyrme 核模型需 10 个参数,且不同理论框架预测的 EOS 差异巨大,导致中子星质量、半径等属性的预测存在大幅偏差;
观测约束有限:现有天文观测难以全面限定 EOS 的参数空间,不确定性显著。
二、VAE 模型的 “降维魔法”:从 10 维到 3 维的精准压缩

图一 中子星 EOS 生成的 VAE 框架
研究团队采用结构化 VAE 框架,将高维 EOS 数据转化为低维可解释的潜在空间,核心原理如下:
2.1 核心公式与模型架构
VAE 通过 “编码器 - 解码器” 架构实现 EOS 的重构与生成,核心依赖证据下界(ELBO)损失函数:
![]()
其中q(z∣x)为编码器的变分分布,p(x∣z)为解码器的生成分布,DKL为 KL 散度,确保生成数据贴合物理规律。
模型创新引入 “监督型潜在变量”:将中子星最大质量(Mmax)和 1.4 倍太阳质量中子星半径(R1.4)作为监督变量,结合 1 个无监督潜在变量(z0),仅用 3 个参数就替代了传统 Skyrme 模型的 10 个参数,实现维度大幅压缩。
2.2 数据与训练流程
训练数据:基于 Skyrme 核模型生成的 EOS 数据集,包含 101 个声速数据点和 6 个关键边界条件(如壳核过渡区密度、最大密度对应的压力等);
训练目标:通过总损失函数平衡重构精度、监督变量拟合度与潜在空间平滑性:
![]()
核心输出:解码器生成声速分布,再通过积分与 TOV 方程(托尔曼 - 奥本海默 - 沃尔科夫方程)推导完整 EOS 及中子星质量 - 半径关系。
三、突破性结果:精准生成 + 物理可解释
3.1 超高精度重构

图二 不同参数组合下的 MAPE 误差热力图
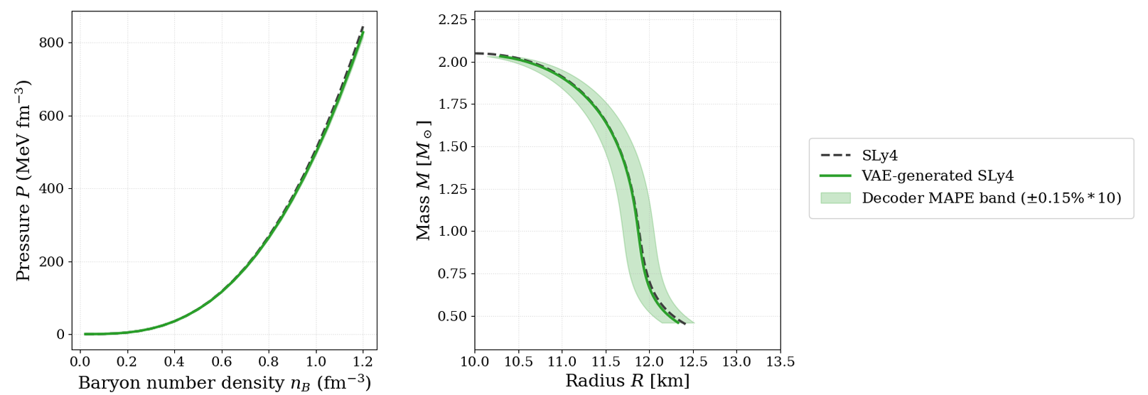
生成的 EOS 与经典 SLy4 模型高度吻合,Mmax的平均绝对百分比误差仅 0.15%,R1.4误差 0.15%;
精准复现 SLy4 模型的关键属性:生成的最大质量为2.043±0.002M⊙,1.4 倍太阳质量中子星半径为11.715±0.0176km,与真实值几乎无差异。

图三 VAE 潜在空间分布

图四 VAE 生成 EOS 与 SLy4 模型对比
3.2 潜在空间的物理意义
三个参数各司其职,实现 EOS 的可控生成:

图五 不同Mmax对应的 EOS(左)与中子星质量 - 半径曲线(右)
Mmax:调控高密区 EOS 刚度,数值越大,高密区压力支撑越强,对应更重的稳定中子星;
R1.4:主要影响核饱和密度附近的 EOS,直接决定中等质量中子星的半径;
z0:控制壳核过渡区(低密度端)的 EOS 形态,影响低质量中子星的半径特性。
3.3 质量 - 半径曲线的精准预测
通过生成的 EOS 求解 TOV 方程,得到的中子星质量 - 半径曲线与观测约束高度一致,且能平滑覆盖不同理论模型的合理范围,为解读引力波事件提供了可靠的 EOS 库。
四、应用价值:天体物理研究的 “AI 工具箱”
该框架的突破为天体物理研究带来多重变革:
加速 EOS 探索:无需复杂核物理计算,可快速生成大量物理上合理的 EOS,高效探索参数空间;
辅助引力波解读:结合 LIGO/Virgo 的引力波数据,可通过贝叶斯推断精准约束 EOS,提升天体参数测量精度;
拓展理论边界:支持整合相对论平均场等多种核模型数据,为研究中子星内部相变(如夸克 - 强子相变)提供新途径。
五、总结:AI 赋能极端天体物理研究
基于 VAE 的 EOS 生成框架,以 “低维参数 + 高精准度 + 物理可解释” 的核心优势,打破了传统理论模型的局限。其 0.15% 的预测误差、3 个参数的简洁架构,不仅为中子星研究提供了强大工具,也为 AI 在极端物理领域的应用树立了典范。未来,随着更多观测数据的融入,该模型有望进一步缩小 EOS 的不确定性,助力人类揭开中子星核心的终极奥秘。
点击更多,学习更多精彩内容。
更多推荐


所有评论(0)