大模型笔记:系统理解深度学习
深度学习是一门以神经网络为核心,融合数学原理、工程优化与场景落地的交叉学科,其核心逻辑围绕“用参数化模型逼近真实数据规律”展开,形成了从理论到实践的完整体系。从理论基石来看,万能近似定理奠定了神经网络的函数逼近能力,而真实函数与近似函数的估计关系,构成了深度学习的核心矛盾。泛化误差的偏差-方差-噪声分解,明确了模型优化的目标——在拟合能力与稳定性之间找到平衡,最终让泛化误差逼近噪声下限。训练过程的
深度学习以神经网络为核心,通过多层非线性变换逼近真实数据规律。万能近似定理奠定其理论基础,泛化误差的偏差-方差-噪声分解明确优化目标。梯度下降是最小化损失函数的核心方法,但面临梯度消失/爆炸问题,需通过激活函数、优化器、网络结构等组件协同解决。不同任务场景需匹配相应损失函数与评估指标,CNN、RNN、GAN、Transformer等架构的差异化搭配提升了模型在特定场景的性能上限。
深度学习的理论基石
深度学习本质
深度学习以神经网络为核心,通过多层非线性变换实现对复杂数据的自动学习。从数学角度看,它是高维函数逼近问题;从工程角度看,它是大规模矩阵运算与优化算法的结合。

万能近似定理
万能近似定理是神经网络理论的核心基石,它揭示了神经网络作为通用函数逼近器的本质能力:
一个具有单隐藏层的前馈神经网络,只要隐藏层包含足够多的神经元,并使用非线性激活函数,就能以任意精度逼近定义在紧集(有界闭集) 上的任意连续函数。

理论上只要单隐藏层足够宽即可,在实践中,深度网络更加高效,能通过层次化特征提取降低参数复杂度,这是深度学习的工程化基础。
深度学习的函数关系
真实函数与近似函数
深度学习中,近似函数(模型学到的函数)与真实函数(数据背后的底层规律)是估计与被估计的核心关系,前者的目标是通过数据驱动的优化,无限逼近后者的输入输出映射规律。
| 函数类型 | 数学表达 | 本质 | 特点 |
|---|---|---|---|
| 真实函数 | 生成数据的未知底层规律 | 1. 客观存在但无法直接观测; 2. 决定输入到真实输出的映射; 3. 是数据噪声(测量误差、随机扰动等,不可消除)。 | |
| 近似函数 | 模型学到的参数化映射 | 1. 由模型结构(如神经网络层数、神经元数)和参数(权重、偏置)决定; 2. 可通过训练数据优化参数; 3. 是对真实函数的显性估计。 |
函数逼近的测量要求
由于真实函数不可直接观测,只能通过带噪声的样本(满足,为噪声)间接推断,这一前提决定了:
-
- 无法直接计算与的差距;
-
- 必须通过预测值与真实标签的误差,间接衡量近似函数与真实函数的匹配程度;
-
- 近似函数要在未知数据上的预测误差足够小(即泛化能力强),而非仅在训练数据上表现好。
函数逼近的泛化误差
近似函数与真实函数的本质差距由泛化误差定义,它是近似函数在全体真实数据分布上的期望误差,公式为:
泛化误差
泛化误差可分解为偏差、方差、噪声三部分,这一分解是判断匹配状态的核心依据:
泛化误差偏差方差噪声
| 组成部分 | 核心含义 | 匹配状态解读 |
|---|---|---|
| 偏差 | 近似函数的期望输出与真实函数输出的差距,反映模型的拟合能力 | 偏差大 → 模型结构简单(如线性模型拟合非线性真实函数),欠拟合,无法捕捉真实函数的规律; 偏差小 → 模型能拟合真实函数的核心趋势。 |
| 方差 | 不同训练集训练出的近似函数之间的波动程度,反映模型的稳定性 | 方差大 → 模型结构复杂(如百万参数模型拟合少量样本),过拟合,学到了训练数据的噪声,偏离真实函数本质; 方差小 → 模型稳定,对真实函数的估计匹配良好。 |
| 噪声 | 数据本身的固有误差(如测量误差、随机扰动),不可通过模型优化消除 | 噪声是泛化误差的理论下限; 若泛化误差接近噪声水平 → 近似函数已达到最优匹配状态,再优化模型也无法缩小差距。 |
最优匹配的核心条件:偏差和方差同时处于较低水平,且泛化误差逼近噪声下限。
损失函数与风险指标
泛化误差是理论指标,工程中通过训练集和测试集的误差来近似衡量。为了使误差可量化、可计算、可观测,必须将其转化为可优化的数学目标,所以需要一个统一的数学公式来定义“近似函数预测值与真实标签的差距”,这个公式就是损失函数。

损失函数的本质是单个样本的误差量化,记为,其中:
- • :近似函数的预测值;
- • :带噪声的真实标签,是真实函数的间接体现。
单个样本的损失无法反映模型的整体性能,因此需要将损失函数扩展到数据集层面,形成两个关键指标:
- • 经验风险:训练集上所有样本的损失平均值,是模型训练的直接优化目标。
经验风险越小,近似函数在训练集上的匹配度越高,表示泛化误差的偏差部分较小,模型拟合能力强。
- • 期望风险:损失函数在全体真实数据分布上的数学期望,是衡量匹配程度的终极理论目标。
期望风险越小,近似函数在未知数据上的匹配度越高。在工程上通过测试集来代替,在经验风险较小的前提下,测试集样本的损失均值低意味着泛化误差的方差部分较小,模型表现稳定。
损失函数最小化原理
通过训练降低经验风险,近似于使损失函数最小化。损失函数的最小化在数学上的本质,就是求解以模型参数为自变量的损失函数的极小值。

深度学习的损失函数 有一个明确的自变量——模型的所有参数(权重 、偏置 等,统一记为 ),而输入数据 和真实标签 都是已知量(训练集数据)。
- • :模型的预测输出,由参数 决定;
- • :损失计算规则(如交叉熵、MSE)。
损失函数最小化的数学目标,就是找到一组参数 ,使得 达到极小值:
极小值 vs 最小值
- • 深度学习的损失函数是高维非凸函数(参数维度可能达到百万甚至上亿),这类函数没有唯一的最小值,只有无数个局部极小值。
- • 工程上我们不需要找到全局最小值,因为局部极小值往往已经能让模型的预测精度满足任务需求。
深度学习的训练收敛
梯度下降的数学原理
解析解 vs 数值解
- • 对于简单的线性模型(如线性回归),损失函数是凸函数,可以通过求导令梯度为0直接得到解析解;
- • 对于深度学习的多层非线性模型,损失函数的梯度表达式极其复杂,无法通过求导得到解析解,只能用数值优化方法一步步逼近极小值。
在深度学习中,逐步逼近极小值的数值优化方法是梯度下降。梯度下降的数学原理,就是沿着损失函数梯度的反方向,迭代更新参数,逐步靠近极小值点。
函数梯度是由多元函数对各自变量的偏导数构成的向量,其方向为函数在该点增长最快的方向,模长则是这个最快增长方向上的变化率。 因此,沿着梯度的反方向更新参数,损失函数会以最快的速度下降。

梯度下降的更新规则
梯度下降的参数更新规则为:
- • :学习率,控制每一步的更新步长;
- • :损失函数在 处的梯度,反映了参数变化对损失的影响方向和幅度。
梯度计算的核心工具
深度学习框架(如 PyTorch、TensorFlow)的自动微分功能,是高效计算高维模型参数梯度的核心工具。它通过 计算图记录参数的完整运算路径,再借助链式法则沿计算图反向传播,精准计算出每个参数的梯度,这一机制让通过梯度下降求解损失函数极小值的过程在工程实践中得以落地。

计算图:计算图是将参数的数值运算过程抽象为 “节点(代表变量 / 运算操作)+ 边(代表数据流向)” 的有向图,能结构化追踪参数从输入到输出的所有运算轨迹。
链式法则:链式法则是微积分中求解复合函数导数的核心规则,将复杂复合函数的求导拆解为多个简单函数导数的乘积,是反向传播计算梯度的数学基础。
梯度计算的传播问题
深度学习的近似函数包含多层线性变换与非线性变换,两类变换对梯度的传播和调控各有不同的影响。
线性变换及其影响

深度学习中的线性变换是 ,它是特征空间的缩放与平移,也是梯度传播的核心载体。梯度在多层线性变换中传播时,会呈现出指数级的放大或衰减,这是梯度问题的根本诱因。
假设一个 层的纯线性网络(无激活函数),输出对输入的梯度为:
梯度的传播效果完全由权重矩阵 的特征值决定:
-
- 梯度爆炸:若每层 的特征值 ,多层乘积后梯度会呈 指数级放大(),导致参数更新幅度过大,模型权重震荡甚至发散。
-
- 梯度消失:若每层 的特征值 ,多层乘积后梯度会呈 指数级衰减(),底层参数的梯度趋近于0,几乎无法更新,网络无法学到底层特征。
非线性变换及其特点
深度学习中的非线性变换是激活函数(如 ReLU、Sigmoid、Tanh等),它的核心作用除了打破线性叠加的局限外(万能近似定理的基础),更重要的是为梯度传播提供非线性调控,避免梯度的指数级失控。

“激活函数”这个名字,核心来源于它在神经元中的“开关”作用——模仿生物神经元的“激活”机制。
从生物神经网络的角度来看,神经元会接收多个输入信号,当信号的总和超过某个阈值时,神经元才会被“激活”,并向其他神经元传递信号;如果没达到阈值,就保持“静默”。
不同激活函数的梯度特性,直接决定了梯度传播的稳定性,如:
| 激活函数 | 导数范围 | 梯度传播影响 | 梯度问题表现 |
|---|---|---|---|
| Sigmoid | 导数最大值仅0.25,多层传播后梯度指数级衰减 | 深层网络(如10层以上)极易出现梯度消失,底层参数无法更新 | |
| Tanh | 导数最大值为1,梯度衰减速度比 Sigmoid 慢,但依然存在 | 深层网络仍会出现梯度消失 | |
| ReLU | 正区间导数恒为1,梯度无衰减;负区间导数为0(神经元死亡) | 解决了梯度消失,但可能出现神经元死亡问题;无梯度爆炸风险(导数不放大) | |
| Leaky ReLU | 为小正数 | 正区间导数1,负区间导数 ,避免神经元死亡 | 兼顾梯度稳定传播和神经元活性,是深层网络的常用选择 |
梯度问题的优化组件
梯度问题(梯度消失、梯度爆炸)的核心诱因是层间变换函数的设计(线性 + 非线性的组合方式),而在工程实践中,通过引入深度学习优化器(Optimizer)组件,能够基于梯度信息进行针对性加工、调整参数更新的步长与节奏,维持梯度传播稳定性,最终引导模型快速收敛至最优解。
从底层逻辑来看,优化器的本质是梯度下降的改进变体,核心目标是解决基础梯度下降存在的收敛慢、易陷入局部最优、对学习率敏感等问题。
基础梯度下降优化器
(1)批量梯度下降(Batch Gradient Descent, BGD)
原理:每次迭代使用全部训练数据计算损失的梯度,再更新参数。
优点:梯度计算准确,收敛时能达到全局最优。
缺点:计算成本极高,无法处理大规模数据集(如百万级样本);无法在线学习(实时更新)。
适用场景:小规模数据集、凸优化问题。
(2)随机梯度下降(Stochastic Gradient Descent, SGD)
原理:每次迭代使用单个样本计算梯度并更新参数。
优点:计算速度快,适合大规模数据集和在线学习;梯度的随机性有助于跳出局部最优。
缺点:梯度波动大,收敛过程不稳定(震荡);对学习率敏感,需要手动调整。
(3)小批量梯度下降(Mini-Batch Gradient Descent, MBGD)
原理:每次迭代使用一小批样本(batch size,如 32、64、128)计算梯度。
优点:平衡了 BGD 的稳定性和 SGD 的高效性;可利用 GPU 并行计算,是深度学习的默认选择。
缺点:batch size 需调参(过大易过拟合,过小梯度波动大);仍存在学习率敏感、收敛慢的问题。
基于动量的改进优化器
基础 SGD 的核心问题是梯度方向频繁变化,导致收敛慢。动量(Momentum)借鉴物理中惯性的概念,让参数更新保留历史梯度的方向,减少震荡。
(1)SGD + Momentum
原理:引入动量项 ,累积历史梯度的指数移动平均。
- • 其中 是动量系数(通常取 0.9), 是当前速度。
优点:
- • 加速收敛:在梯度方向一致时(如鞍点或平缓区域),动量会累积,加快更新;
- • 减少震荡:在梯度方向变化时,动量会平滑波动。
(2)Nesterov 加速梯度(Nesterov Accelerated Gradient, NAG)
原理:对 Momentum 的改进,先根据动量更新参数,再计算梯度,提前预判最优解方向。
优点:比普通 Momentum 收敛更快,在 RNN 等序列模型中表现更优,适用于需要快速收敛的复杂模型(如 LSTM、Transformer)。
自适应学习率优化器
这类优化器的核心是为每个参数自适应调整学习率,解决手动调参的痛点,是目前深度学习中最常用的优化器。
(1)AdaGrad
累积每个参数的梯度平方和,学习率与梯度平方和的平方根成反比。
- • 其中 是防止分母为 0 的小值(如 )。
优点:自动为稀疏特征分配更大学习率,适用于稀疏数据、特征维度差异大的任务。
缺点:学习率单调递减,训练后期可能趋近于 0,导致模型停止收敛。
(2)RMSprop
原理:对 AdaGrad 的改进,使用指数移动平均代替梯度平方的累积,避免学习率过早衰减。
- • 其中 通常取 0.9。
优点:解决了 AdaGrad 的学习率衰减问题,收敛稳定;适用于非凸优化问题、深度学习通用场景。
(3)Adam(Adaptive Moment Estimation)
原理:结合了 Momentum 的梯度均值 和 RMSprop 的梯度方差,是目前最流行的优化器。
(梯度均值,动量项)
(梯度方差)
(偏差修正)
(偏差修正)
- • 超参数默认值:。
优点:自适应学习率,无需手动调参;收敛速度快,稳定性高;适合绝大多数深度学习任务(CV、NLP、推荐系统)。
缺点:在某些任务(如生成对抗网络 GAN)中,稳定性不如 RMSprop。
(4)AdamW
原理:对 Adam 的改进,将权重衰减(Weight Decay)与梯度更新解耦,解决 Adam 中权重衰减效果被自适应学习率稀释的问题。
| 优化器 | 最终参数更新公式 | 权重衰减的作用方式 |
|---|---|---|
| Adam | 权重衰减项 融入梯度更新项,和自适应学习率相乘 | |
| AdamW | 权重衰减项 独立于梯度更新项,直接对参数进行 L2 惩罚 |
优点:在大规模预训练模型(如 BERT、GPT)中表现优于 Adam,能有效防止过拟合。
梯度优化的综合手段
除了优化器对梯度更新策略的改进外,梯度传播问题的解决还需要从网络结构设计、参数初始化、梯度过程干预、数据分布归一化等维度入手,这些方法与优化器形成“源头控制-过程调控-末端优化”的协同体系,从根本上提升梯度传播的稳定性。
网络结构优化
深层网络梯度消失/爆炸的核心痛点是梯度在长距离层级间的指数级衰减/放大,通过设计跨层连接结构,可直接缩短梯度传播路径,避免梯度在多层线性变换中失控。
(1)残差连接(Residual Connection)
原理:在传统网络层级的基础上,增加短路连接(Skip Connection),让浅层特征直接传递到深层,网络学习的目标从“完整映射”变为“残差映射”。
公式:(维度匹配)或 (维度不匹配, 为维度适配矩阵)。
梯度传播:深层梯度可通过短路连接直接传递到浅层,即 。即使 趋近于0,梯度 也不会消失,解决了深层网络的梯度传递问题。
典型应用:ResNet,让千层级的卷积网络训练成为可能。
(2)稠密连接(Dense Connection)
原理:比残差连接更激进的跨层连接,每一层的输入都包含前面所有层的输出,形成“稠密块”。
公式:,其中 是前面所有层输出的拼接。
梯度传播:梯度传递路径更丰富,每一层都能直接接收来自损失函数的梯度,进一步降低梯度消失的风险。
典型应用:DenseNet,适用于需要充分利用浅层特征的图像分类任务。
(3)跨层注意力机制(Attention)
原理:在 Transformer 等模型中,通过自注意力机制直接建立不同层级、不同位置特征的关联,让梯度可以在任意位置间传递,突破了层级顺序传播的限制。
梯度传播:避免了 RNN 等序列模型中梯度随序列长度指数衰减的问题,是 Transformer 能够处理长序列的核心原因之一。
参数初始化策略
线性变换的权重矩阵 的特征值分布,是导致梯度在深层网络中指数级放大或衰减的核心根源。参数初始化的核心目标是让每层网络的输入与输出方差保持一致,从而维持梯度传播的稳定性,避免出现梯度爆炸或梯度消失问题。
(1)Xavier 初始化
针对 Sigmoid、Tanh 等对称激活函数设计,其核心是让权重矩阵的初始化值服从特定区间的均匀分布,以匹配对称激活函数在 0 附近近似线性的特性。
权重初始化公式:
参数说明:
- • :待初始化的权重矩阵(如全连接层的权重参数);
- • :均匀分布,权重值随机采样自该区间;
- • :当前层的输入神经元数量(或输入特征维度);
- • :当前层的输出神经元数量(或输出特征维度)。
设计逻辑:通过约束权重的方差为 ,确保每层输入与输出的方差一致,避免梯度在传播过程中出现指数级变化。
(2)He 初始化
针对 ReLU、Leaky ReLU 等非对称激活函数 定制优化。由于 ReLU 负区间输出恒为 0,相当于仅有约 50% 的神经元参与梯度传播,因此需要对权重方差进行针对性调整。
权重初始化公式:
参数说明:
- • :待初始化的权重矩阵(适用于全连接层、卷积层等);
- • :均匀分布,权重值随机采样自该区间;
- • :当前层的输入神经元数量(或输入特征维度;卷积层需将卷积核尺寸纳入 计算)。
核心差异:与 Xavier 初始化相比,He 初始化去掉了输出维度 项,仅保留输入维度 。这一调整是为了抵消 ReLU 负区间神经元失活导致的梯度衰减,确保激活后的输出方差稳定。
(3)正交初始化
将权重矩阵初始化为正交矩阵。正交矩阵的特征值的模为 1,多层正交矩阵相乘的结果仍为正交矩阵,其特征值也保持为 1。这一数学特性从根源上保证了梯度在多层传播时,既不会被指数级放大(梯度爆炸),也不会被指数级衰减(梯度消失)。
典型应用:
- • 循环神经网络(RNN/LSTM):解决梯度随时间步长指数级衰减的长程依赖问题;
- • Transformer 模型:适配自注意力机制的长序列特征交互需求,维持跨层梯度传播的稳定性。
工程实现:实际应用中,通常先随机生成矩阵,再通过QR分解提取正交矩阵部分,并结合缩放因子(如适配 ReLU 的 )优化,以进一步提升初始化效果。
梯度裁剪
梯度裁剪是针对梯度爆炸的直接补救措施,通过强制限制梯度的最大范数,避免参数更新时的幅度过大导致模型发散。
核心原理:设定一个梯度范数阈值 ,计算当前梯度的 L2 范数 :
- • 若 :保持梯度不变,正常更新参数;
- • 若 :对梯度进行缩放,使梯度范数等于阈值:
常用方式:
- • 全局梯度裁剪:计算所有参数梯度的整体范数,统一进行缩放。优点是简单高效,缺点是可能抑制部分有用的梯度。
- • 逐参数梯度裁剪:对每个参数的梯度单独进行范数限制。优点是更精细,缺点是计算成本较高。
典型应用:常用于循环神经网络(RNN、LSTM)和 Transformer 模型的训练,这些模型在处理长序列时极易出现梯度爆炸。
归一化技术
在网络训练过程中,随着参数的迭代更新,每层输入数据的分布会持续发生变化,这种现象被称为内部协变量偏移(Internal Covariate Shift)。分布的不稳定会导致激活函数输入易落入梯度饱和区,进而引发梯度消失、训练震荡等问题,降低模型收敛效率。归一化技术的核心目标的是强制每层输入分布的均值和方差保持稳定,间接优化梯度传播路径,提升训练稳定性与收敛速度。
(1)批归一化(Batch Normalization, BN)
原理:
针对单个批次内的所有样本,在每个特征维度上独立执行归一化操作,消除批次内特征分布的波动;同时引入可学习参数 (缩放因子)和 (偏移因子),保留特征的原始表达能力,避免归一化导致的信息丢失。
公式:
- • 其中 和 分别为当前批次样本在该特征维度上的均值和方差;
- • (通常取 )用于防止分母为0,保证计算稳定性。
优势:
-
- 稳定每层输入分布,使激活函数输入落在梯度敏感区域(如 Sigmoid 的中间区间、ReLU 的正区间),有效避免梯度饱和引发的梯度消失;
-
- 降低对参数初始化的敏感度,允许使用更大的学习率,显著加速模型收敛;
-
- 具备一定正则化效果,可减少过拟合风险(批次统计的随机性引入轻微噪声)。
局限:
-
- 严重依赖批次大小:小批次下均值和方差估计偏差大,归一化效果失真,极端情况下(批次大小=1)完全失效;
-
- 不适用于在线学习、流式训练及生成模型推理阶段:这类场景无法获取稳定批次统计信息;
-
- 对循环神经网络(RNN)适配性差:序列长度不一时,批次内样本的有效长度不一致,统计结果不可靠。
(2)层归一化(Layer Normalization, LN)
原理:
与 BN 的归一化维度相反,LN 针对单个样本的所有特征维度进行归一化,计算该样本所有特征的均值和方差,再执行标准化与可学习参数调整,公式形式与 BN 一致,但统计范围不涉及批次内其他样本,完全不依赖批次信息。
优势:
-
- 与批次大小无关:无需依赖批次统计,在小批次、单样本训练及在线学习场景中表现稳定;
-
- 适配序列模型:天然适合 Transformer、RNN 等 NLP 模型,可处理变长序列(每个样本独立归一化,不受序列长度差异影响),在文本任务中效果显著优于 BN;
-
- 推理阶段一致性强:训练与推理时的归一化逻辑一致,无需像 BN 那样存储移动均值和方差。
局限:
- • 对计算机视觉(CV)任务的适配性弱于 BN,在 CNN 等网络中,特征维度的分布特性更适合按批次统计归一化,LN 难以发挥优势。
(3)权重归一化(Weight Normalization, WN)
原理:
不同于 BN、LN 对输入数据的归一化,WN 直接对权重矩阵进行分解与归一化:将权重矩阵拆解为“方向向量”和“缩放系数”,固定权重的方向范数,仅保留缩放自由度,通过约束权重尺度稳定梯度传播。
公式:
- • :权重的方向向量,决定特征变换的方向,通过归一化固定其 L2 范数为1;
- • :可学习的缩放系数,控制特征变换的强度,保留权重对模型表达能力的调节作用。
优势:
-
- 脱离批次依赖:无需统计输入数据的均值和方差,适配小批次、在线学习及生成模型等 BN 难以覆盖的场景;
-
- 精准控制梯度传播:分离权重方向与缩放系数对梯度的影响,避免权重尺度过大引发的梯度爆炸,加速模型收敛;
-
- 适配多种网络结构:对 CNN、RNN、Transformer 等均有良好适配性,尤其适合对批次敏感的模型(如 GAN)。
局限:
- • 仅针对权重进行优化,无法缓解输入数据本身分布波动带来的影响,在输入分布差异极大的场景中,效果弱于 BN、LN。
深度学习的任务场景
深度学习解决现实问题的核心逻辑,建立在数学方程对现实规律的可建模性之上。这一逻辑链呈现明确的传导关系:模型的使用预期决定输出形式,输出形式直接约束数学建模的范式,最终形成与任务场景高度适配的解决方案。
按照输出形态分类,梳理如下深度学习的典型任务场景及对应的损失函数。
类别概率输出
核心输出特点
输出值严格限定在 区间,满足概率归一化条件,对应离散的类别标签,适用于“判断样本归属类别”的任务。
典型应用场景
- • 图像/文本分类(如猫狗图像识别、文本情感极性判断)
- • 序列标注(如自然语言命名实体识别、词性标注)
- • 推荐系统(如用户点击行为预测、商品偏好匹配)
损失函数及原理
(1)类别交叉熵损失
适用场景:多分类任务。
通俗原理:衡量模型输出的类别概率分布与真实标签的 one-hot 编码分布之间的差异,差异越小则预测精度越高。
简单公式:
- • 为真实标签的 one-hot 值(K 分类任务中,长度为 K 的向量,仅目标类别为 1,其余为 0);
- • 为对应类别的预测概率。
优劣特点:优点是梯度计算简洁、训练收敛高效;缺点是对样本不均衡敏感,易偏向多数类预测。
(2)二元交叉熵损失
适用场景:二分类任务。
通俗原理:类别交叉熵的特例,当分类数 时,one-hot 标签可简化为 ,代入多分类公式直接推导得出,专用于“是/否”“正/负”的二值判断。
简单公式:
- • 为真实标签(0或1);
- • 为样本属于正类的预测概率。
优劣特点:优点是适配二分类场景、计算量小;缺点同样对样本不均衡敏感,需配合采样或权重调整优化。
(3)CRF负对数似然损失
适用场景:序列标注任务。
通俗原理:基础交叉熵仅关注单个位置的标签预测准确性,而条件随机场(Conditional Random Field, CRF)额外引入标签间的转移逻辑约束,通过优化整个序列的标签路径概率,让标注结果更符合现实逻辑(如词性标注中“形容词后接名词”的语法规则)。
核心机制:结合前层模型输出的发射概率(位置特征与标签的匹配度)和自身学习的转移概率(标签间的逻辑合理性),筛选最优标签序列,直接替代逐位置交叉熵完成训练优化。
优劣特点:优点是提升序列标注的逻辑一致性;缺点是计算复杂度高,训练速度慢于基础交叉熵。
连续数值输出
核心输出特点
输出为无概率约束的连续数值,可表现为标量(如房价、温度)或向量(如目标框坐标、图像像素值),适用于“预测具体数值大小”的任务。
典型应用场景
- • 标量回归(如房价预测、销量预测、环境温度预测)
- • 目标检测(如预测目标边界框的坐标偏移量)
- • 图像生成与重建(如超分辨率重建中预测高清图像的像素值)
损失函数及原理
(1)均方误差(MSE)
通俗原理:计算预测值与真实值误差的平方均值,对大误差惩罚更显著,训练收敛速度快,但易受异常值干扰。
简单公式:
优劣特点:优点是收敛快、梯度计算简单;缺点是对异常值敏感,易导致模型偏向异常样本。
(2)平均绝对误差(MAE)
通俗原理:计算预测值与真实值误差的绝对值均值,对异常值更鲁棒,惩罚更均匀,但在误差较小时梯度易波动。
简单公式:
优劣特点:优点是抗异常值能力强;缺点是误差较小时梯度平缓,收敛速度慢。
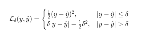
(3)Huber损失
通俗原理:融合 MSE 与 MAE 的优势,实现误差自适应惩罚——误差小于阈值 时用MSE保证梯度稳定;误差大于 时切换为 MAE 避免梯度爆炸。
简单公式:

优劣特点:优点是兼顾梯度稳定性与抗异常值能力;缺点是需手动调整阈值 ,适配性依赖经验。
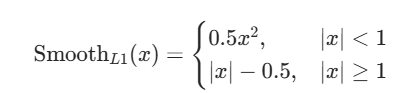
(4)Smooth L1 损失
适用场景:目标检测边界框回归。
通俗原理:Huber 损失的特例(),专门解决 MSE 对极端误差敏感的问题,让边界框坐标预测更稳定,减少异常值对训练的干扰。
简单公式:

- • ,代表边界框单个坐标偏移量的预测误差。
优劣特点:优点是无需调参、适配边界框回归场景;缺点是对小误差的惩罚力度弱于 MSE。
(5)MSE + 感知损失
适用场景:图像超分、风格迁移等生成类任务。
通俗原理:MSE 仅关注像素级数值差异,易导致生成图像“像素对齐但视觉失真”(如模糊、纹理错乱);感知损失通过预训练 CNN 提取图像的高层语义特征(轮廓、纹理、结构),衡量特征空间的差异。二者加权结合,可同时兼顾“像素精度”与“视觉合理性”。
简单公式:
- • 和 为权重系数,用于平衡两项损失的贡献度。
优劣特点:优点是生成结果视觉效果优;缺点是计算量较大,依赖预训练 CNN 模型。
新样本生成输出
核心输出特点
输出与输入同类型的新数据(图像、文本、语音等),核心目标是让生成样本匹配真实数据的分布特征,适用于“创造符合规律的新样本”的任务。
典型应用场景
- • 图像生成(如人脸生成、艺术风格创作)
- • 文本/代码生成(如对话机器人、智能代码助手)
- • 医疗数据增强(如合成罕见病的医学影像)
损失函数及原理
(1)对抗损失(WGAN-GP改进版)
适用场景:GAN 系列生成模型。
通俗原理:生成器与判别器博弈训练,WGAN-GP 引入梯度惩罚机制,解决原始 GAN 模式崩溃问题,提升样本多样性与真实性。
核心逻辑:生成器最大化判别器对假样本的评分,判别器区分真假样本。
优劣特点:优点是生成样本质量高、多样性强;缺点是训练不稳定,需平衡生成器与判别器节奏。
(2)类别交叉熵(自回归生成)
适用场景:文本/序列生成任务(如 GPT 系列模型)。
通俗原理:与类别概率输出的交叉熵原理一致,拆解为逐 token 条件概率预测,让生成序列符合语言逻辑。
优劣特点:优点是训练稳定、适配序列生成;缺点是易产生重复文本,依赖解码策略优化。
(3)变分下界(ELBO)
适用场景:变分自编码器(VAE)。
通俗原理:重构损失(MSE/交叉熵)保证样本相似度,KL 散度约束隐变量分布,兼顾真实性与多样性。
优劣特点:优点是训练稳定、可解释性强;缺点是生成样本分辨率与细节弱于 GAN。
结构化数据输出
核心输出特点
输出带有空间或时序拓扑结构的数据(序列、像素矩阵、图结构等),需严格匹配输入的结构特征(如分割图与原图尺寸一致、翻译文本与输入文本的语义对应)。
典型应用场景
- • 序列转换(如机器翻译、文本摘要生成)
- • 语音识别(语音信号到文本序列的转换)
- • 图像分割(如语义分割、实例分割的像素级标注)
- • 图分析(如分子性质预测、社交网络节点分类)
损失函数及原理
(1)类别交叉熵(序列转换)
适用场景:编码器-解码器架构(如 Transformer 模型)的序列转换任务。
通俗原理:与分类任务交叉熵一致,结合注意力机制聚焦输入关键部分,提升转换准确性。
优劣特点:优点是适配序列转换场景;缺点是对输入输出长度差异大的场景适配性弱。
(2)连接主义时序分类(CTC)损失
适用场景:语音识别、手写文本识别等输入输出长度不匹配的任务。
通俗原理:引入空白标签解决对齐难题,优化所有可能对齐路径的概率和,无需人工标注对应关系。
优劣特点:优点是无需对齐标注、适配时序任务;缺点是计算复杂度高,对短序列预测精度一般。
(3)交叉熵 + Dice损失
适用场景:医学影像分割等样本不均衡的任务。
通俗原理:交叉熵优化像素级类别预测,Dice损失计算区域交并比,解决小目标预测偏倚问题。
简单公式:预测区域真实区域预测区域真实区域
优劣特点:优点是适配小目标分割、样本不均衡场景;缺点是Dice损失易受极端值影响,需与交叉熵协同。
(4)交叉熵 + 图正则化损失
适用场景:图结构数据的分类/回归任务。
通俗原理:交叉熵负责节点/整图类别预测,图正则化损失约束相邻节点特征相似,挖掘拓扑结构信息。
优劣特点:优点是利用图结构特征提升精度;缺点是对图拓扑噪声敏感,计算依赖图结构复杂度。
动作/策略输出
核心输出特点
输出为决策相关的动作,分为离散动作概率分布(如游戏方向选择)、连续动作数值(如自动驾驶转向角度),核心目标是最大化长期累积奖励。
典型应用场景
- • 游戏AI(如围棋、星际争霸等策略类游戏)
- • 自动驾驶(加速、刹车、转向的决策控制)
- • 机器人路径规划(如机械臂抓取、无人机导航)
损失函数及原理
(1)策略梯度损失 + 价值函数损失
适用场景:策略梯度类强化学习模型。
通俗原理:策略梯度损失提升高奖励动作概率,价值函数损失评估状态优劣,降低训练波动。
优劣特点:优点是适配离散/连续动作空间;缺点是训练方差大,需引入基线优化。
(2)时序差分(TD)误差
适用场景:深度Q网络(DQN)。
通俗原理:用“实际奖励+未来预估Q值”修正当前Q值,解决无最终奖励时的在线优化问题。
优劣特点:优点是适配离散动作、在线训练高效;缺点是易高估Q值,收敛不稳定。
(3)TD3改进型时序差分损失
适用场景:连续动作空间的强化学习任务。
通俗原理:双Q网络取小值避免Q值高估,延迟更新目标网络降低训练相关性,优化连续动作决策稳定性。
优劣特点:优点是适配连续动作、训练鲁棒性强;缺点是模型复杂度高,训练速度慢于基础DQN。
深度学习的效果评估
深度学习效果评估的核心目标是量化模型的泛化能力,即模型在未知数据上的预测性能,而非仅关注训练集上的表现。
数据集划分
模型评估的准确性,完全依赖于训练集、验证集、测试集的分布一致性。三者需从同一真实数据分布中独立采样,且互不重叠,各自承担明确的功能角色。
| 数据集类型 | 核心功能 | 数据占比(经验值) | 注意事项 |
|---|---|---|---|
| 训练集 | 用于模型参数的迭代优化,最小化经验风险 | 60%~70% | 直接参与梯度下降计算,指标仅反映拟合能力,不能代表泛化能力 |
| 验证集 | 用于模型超参数调优(如学习率、batch size、网络层数)和模型结构选择 | 15%~20% | 若多次基于验证集指标调整超参数,模型会逐渐“过拟合”验证集,需避免过度调参 |
| 测试集 | 用于模型泛化能力的最终评估,输出客观、无偏的性能指标 | 15%~20% | 必须与模型训练、调参过程完全隔离,仅在所有优化完成后使用一次,防止指标失真 |
常用数据划分方法:
留出法(Hold-Out)
- • 原理:将数据集按固定比例随机划分为训练集、验证集、测试集,是最简单的划分方式。
- • 优点:计算成本低,操作简单,适合大规模数据集。
- • 缺点:划分结果受随机种子影响大,若样本分布不均匀(如类别不平衡),可能导致评估偏差;小规模数据集易出现数据利用不足问题。
- • 改进:分层抽样,保证每个子集的类别分布与原数据集一致,适用于分类任务。
交叉验证法(Cross Validation, CV)
- • 原理:将数据集划分为个大小相近的互斥子集,依次用个子集作为训练集,剩余1个子集作为验证集,重复次实验后取指标均值,最终再用全部训练数据训练模型,在独立测试集上评估。
- • 优点:充分利用数据,评估结果稳定、可靠,降低随机划分带来的偏差。
- • 缺点:计算成本随增大而线性增加,大规模深度学习模型(如GPT、ResNet-50)难以承受。
自助法(Bootstrap)
- • 原理:通过有放回抽样生成多个训练集(每次抽样样本数与原数据集一致),未被抽中的样本作为验证集;重复多次后综合评估结果。
- • 优点:适用于极小样本数据集,解决数据量不足的问题。
- • 缺点:生成的训练集与原数据集分布存在差异,评估结果有一定偏倚,深度学习中应用较少。
核心评估指标
评估指标需与任务场景严格匹配,不同任务的性能优劣定义不同,需针对性选择指标。
分类任务指标
适用于输出为类别概率的任务(如图像分类、文本情感分析),核心是衡量“预测类别与真实类别的匹配程度”,需重点关注样本不均衡场景下的指标鲁棒性。
基础指标
- • 准确率(Accuracy)
公式:
含义:正确预测的样本数占总样本数的比例。
局限:对类别不平衡任务无效(如疾病诊断中阳性样本仅占1%,全预测阴性也能达到99%准确率)。 - • 精确率(Precision)
公式:
含义:预测为正类的样本中,真实为正类的比例,反映“查准率”。 - • 召回率(Recall)
公式:
含义:真实为正类的样本中,被正确预测的比例,反映“查全率”。
注:精确率与召回率呈负相关,需根据业务需求平衡(如疾病诊断优先高召回率,避免漏诊;垃圾邮件过滤优先高精确率,避免误判)。 - • F1分数
公式:
含义:精确率与召回率的调和平均,综合衡量两者性能,是类别不平衡任务的基础指标。
扩展:宏F1(Macro-F1) 对所有类别平等加权,适用于类别分布均匀场景;微F1(Micro-F1)对所有样本平等加权,适用于类别不平衡场景。
进阶指标
- • 混淆矩阵(Confusion Matrix)
含义:分类任务的矩阵,行代表真实类别,列代表预测类别,直观展示各类别的错误模式(如将类别A误判为类别B的样本数)。
作用:挖掘模型的错误规律,指导后续的特征优化与数据增强。 - • ROC曲线与AUC值
- • ROC 曲线:以假正例率(FPR)为横轴,真正例率(TPR)为纵轴,绘制不同概率阈值下的模型性能曲线;曲线越靠近左上角,模型性能越好。
- • AUC 值:ROC 曲线下的面积,取值范围为;AUC=0.5代表模型与随机猜测无异,AUC 越接近1代表模型区分能力越强。
优势:对类别不平衡、阈值变化不敏感,是分类任务的“黄金指标”。
回归任务指标
适用于输出为连续数值的任务(如房价预测、温度预测),核心是衡量“预测值与真实值的数值差异”。
误差类指标
- • 平均绝对误差(MAE)
公式:
含义:预测值与真实值绝对误差的均值,反映误差的平均大小;对异常值鲁棒(误差不会被平方放大)。 - • 均方误差(MSE)
公式:
含义:预测值与真实值误差平方的均值,对大误差惩罚更显著;训练中常作为回归任务的损失函数。 - • 均方根误差(RMSE)
公式:
含义:MSE 的平方根,将误差单位还原为预测值单位,更易解释。
拟合优度指标
-
• 决定系数
公式:
含义:模型解释数据变异的比例,取值范围为;越接近1,代表模型拟合效果越好;代表模型性能劣于“直接预测均值”。
生成任务指标
适用于输出为新样本的任务(如 GAN 图像生成、VAE 样本重建),核心是衡量“生成样本的真实性与多样性”。
图像生成任务指标
- • 初始分数(IS, Inception Score)
原理:利用预训练的 Inception-V3 模型,计算生成图像的类别概率分布的熵;熵越小代表图像越清晰、类别越明确,真实性越高。
局限:无法衡量样本多样性,易被“模式崩溃”的生成模型欺骗(如 GAN 仅生成某一类图像,IS 值也会很高)。 - • 弗雷歇初始距离(FID, Fréchet Inception Distance)
原理:计算生成图像与真实图像在 Inception-V3 特征空间中的均值与协方差的距离;FID 值越小,代表生成样本与真实样本分布越接近。
优势:同时衡量真实性与多样性,是图像生成任务的主流指标;但计算成本高,需大量样本。
文本生成任务指标
- • 困惑度(PPL, Perplexity)
公式:
原理:基于自回归模型的交叉熵损失计算,衡量模型对文本序列的预测能力;PPL值越小,代表生成文本越流畅、符合语言逻辑。
局限:无法衡量文本的语义合理性,可能出现“语句通顺但逻辑混乱”的情况。 - • BLEU 分数
原理:计算生成文本与参考文本的n-gram重叠度,衡量文本的匹配程度;取值范围为,越接近1代表匹配度越高。
优势:适用于机器翻译、文本摘要等有明确参考文本的任务;但对长文本的评估效果较差。
结构化任务指标
适用于输出为空间/时序结构的任务(如图像分割、序列标注),核心是衡量“结构匹配度”。
图像分割任务指标
- • 交并比(IoU, Intersection over Union)
公式:预测区域真实区域预测区域真实区域
含义:预测区域与真实区域的重叠比例,是分割任务的核心指标;分类任务的平均IoU称为 mIoU。 - • Dice系数
公式:预测区域真实区域预测区域真实区域
含义:与F1分数原理一致,适用于小目标分割(如医学影像中的肿瘤区域),缓解类别不平衡问题。
序列标注任务指标
- • 实体级F1分数
原理:不同于逐标签的F1分数,需先将连续的预测标签组合为完整实体,再与真实实体对比;更符合序列标注的业务需求(如命名实体识别中,“北京”需被完整预测为地名)。
强化学习任务指标
适用于输出为动作/策略的任务(如游戏AI、机器人控制),核心是衡量“策略的长期累积奖励”。
- • 累积奖励(Cumulative Reward)
含义:模型在一个完整任务周期内获得的总奖励,直接反映策略的优劣(如围棋AI赢棋获得正奖励,输棋获得负奖励)。 - • 胜率/成功率
含义:多次实验中模型完成任务的比例(如机器人抓取物体的成功率、游戏AI战胜人类的胜率),适用于有明确任务目标的场景。
深度学习的常见搭配
深度学习的性能表现依赖于核心组件与任务场景的匹配,不同网络架构、激活函数、优化器、损失函数的组合,会直接影响模型的收敛效率与泛化能力。
这类搭配聚焦网络架构与辅助组件的适配性,解决梯度传播、训练稳定性等底层问题,是模型落地的基础保障。
卷积神经网络(CNN)组合
核心架构:ResNet/MobileNet/EfficientNet 等深层/轻量化 CNN。
配套组件:
- • 激活函数:ReLU(优先)/Leaky ReLU
- • 优化器:Adam(中等规模数据集)/SGD+Momentum(大规模数据集)
- • 参数初始化:He 初始化
- • 归一化技术:Batch Normalization(BN)
核心优势:
-
- ReLU 避免深层 CNN 的梯度消失,He 初始化匹配其非对称特性,二者协同维持梯度稳定传播
-
- BN 降低对初始化敏感度,允许使用更大学习率,大幅加速收敛
-
- 适配 GPU 并行计算,兼顾精度与推理效率
典型适用场景:图像分类、目标检测、图像超分辨率、医学影像分析。
循环神经网络(RNN/LSTM)组合
核心架构:LSTM/GRU(替代传统 RNN 解决长程依赖)
配套组件
- • 激活函数:Tanh+Sigmoid(LSTM 门控机制标配)
- • 优化器:SGD+Nesterov 动量
- • 参数初始化:Xavier 初始化
- • 辅助策略:梯度裁剪(阈值 5~10)
核心优势
-
- Xavier 初始化匹配 Tanh 的对称梯度特性,避免梯度指数级衰减
-
- Nesterov 动量加速序列模型收敛,缓解梯度方向频繁变化的问题
-
- 梯度裁剪直接抑制长序列训练中的梯度爆炸风险
典型适用场景:语音识别、短文本情感分析、时间序列预测。
生成模型(GAN/VAE)组合
核心架构:GAN(生成器+判别器)/VAE(编码器+解码器)
配套组件:
- • 激活函数:生成器用 Leaky ReLU,判别器用 Sigmoid
- • 优化器:Adam
- • 归一化技术:Weight Normalization(WN)
- • 辅助策略:WGAN-GP 梯度惩罚(替代原始 GAN 的权重裁剪)
核心优势
-
- Leaky ReLU 避免生成器神经元死亡,保证梯度持续流动
-
- WN 脱离批次依赖,解决小批次 GAN 训练的归一化失真问题
-
- WGAN-GP 有效抑制 GAN 训练的模式崩溃,提升生成样本多样性
典型适用场景:图像生成、风格迁移、罕见病医学影像合成、异常检测
Transformer 组合
核心架构:BERT/GPT/ViT 等 Transformer 变体
配套组件:
- • 激活函数:GELU(优先)/ReLU
- • 优化器:AdamW(标配)
- • 参数初始化:正交初始化
- • 归一化技术:Layer Normalization(LN)
- • 辅助策略:梯度裁剪(解决长序列梯度爆炸)
核心优势:
-
- AdamW 将权重衰减与梯度更新解耦,有效防止大规模预训练模型过拟合
-
- LN 不依赖批次大小,适配变长文本/图像序列,训练与推理逻辑一致
-
- 正交初始化保证跨层梯度不衰减,支撑千层级 Transformer 训练
典型适用场景:自然语言翻译、文本生成、长时序预测、视觉Transformer图像任务。
总结
深度学习是一门以神经网络为核心,融合数学原理、工程优化与场景落地的交叉学科,其核心逻辑围绕“用参数化模型逼近真实数据规律”展开,形成了从理论到实践的完整体系。
从理论基石来看,万能近似定理奠定了神经网络的函数逼近能力,而真实函数与近似函数的估计关系,构成了深度学习的核心矛盾。泛化误差的偏差-方差-噪声分解,明确了模型优化的目标——在拟合能力与稳定性之间找到平衡,最终让泛化误差逼近噪声下限。
训练过程的核心是通过梯度下降最小化损失函数,而梯度传播中的消失、爆炸问题,推动了激活函数、优化器、网络结构等组件的持续优化。从ReLU对梯度消失的缓解,到AdamW等自适应优化器的参数调整,再到残差连接、归一化技术的结构支撑,形成了“源头控制-过程调控-末端优化”的协同解决方案,让深层网络的稳定训练成为可能。
任务场景与组件适配是落地的关键。不同输出形态(类别概率、连续数值、新样本生成、结构化数据、动作策略)对应专属的损失函数与评估指标,而CNN、RNN、GAN、Transformer等架构的差异化搭配,进一步提升了模型在特定场景的性能上限。
成、风格迁移、罕见病医学影像合成、异常检测
Transformer 组合
核心架构:BERT/GPT/ViT 等 Transformer 变体
配套组件:
- • 激活函数:GELU(优先)/ReLU
- • 优化器:AdamW(标配)
- • 参数初始化:正交初始化
- • 归一化技术:Layer Normalization(LN)
- • 辅助策略:梯度裁剪(解决长序列梯度爆炸)
核心优势:
-
- AdamW 将权重衰减与梯度更新解耦,有效防止大规模预训练模型过拟合
-
- LN 不依赖批次大小,适配变长文本/图像序列,训练与推理逻辑一致
-
- 正交初始化保证跨层梯度不衰减,支撑千层级 Transformer 训练
典型适用场景:自然语言翻译、文本生成、长时序预测、视觉Transformer图像任务。
总结
深度学习是一门以神经网络为核心,融合数学原理、工程优化与场景落地的交叉学科,其核心逻辑围绕“用参数化模型逼近真实数据规律”展开,形成了从理论到实践的完整体系。
从理论基石来看,万能近似定理奠定了神经网络的函数逼近能力,而真实函数与近似函数的估计关系,构成了深度学习的核心矛盾。泛化误差的偏差-方差-噪声分解,明确了模型优化的目标——在拟合能力与稳定性之间找到平衡,最终让泛化误差逼近噪声下限。
训练过程的核心是通过梯度下降最小化损失函数,而梯度传播中的消失、爆炸问题,推动了激活函数、优化器、网络结构等组件的持续优化。从ReLU对梯度消失的缓解,到AdamW等自适应优化器的参数调整,再到残差连接、归一化技术的结构支撑,形成了“源头控制-过程调控-末端优化”的协同解决方案,让深层网络的稳定训练成为可能。
任务场景与组件适配是落地的关键。不同输出形态(类别概率、连续数值、新样本生成、结构化数据、动作策略)对应专属的损失函数与评估指标,而CNN、RNN、GAN、Transformer等架构的差异化搭配,进一步提升了模型在特定场景的性能上限。
最终,深度学习的本质是“数据驱动的自适应优化”——通过数据挖掘规律,通过组件协同解决工程问题,通过场景适配实现价值落地。随着技术的发展,其核心组件仍在持续迭代,但“逼近真实规律、提升泛化能力、适配实际需求”的核心逻辑始终不变,成为推动人工智能落地的核心动力。
普通人如何抓住AI大模型的风口?
为什么要学习大模型?
在DeepSeek大模型热潮带动下,“人工智能+”赋能各产业升级提速。随着人工智能技术加速渗透产业,AI人才争夺战正进入白热化阶段。如今近**60%的高科技企业已将AI人才纳入核心招聘目标,**其创新驱动发展的特性决定了对AI人才的刚性需求,远超金融(40.1%)和专业服务业(26.7%)。餐饮/酒店/旅游业核心岗位以人工服务为主,多数企业更倾向于维持现有服务模式,对AI人才吸纳能力相对有限。

这些数字背后,是产业对AI能力的迫切渴求:互联网企业用大模型优化推荐算法,制造业靠AI提升生产效率,医疗行业借助大模型辅助诊断……而餐饮、酒店等以人工服务为核心的领域,因业务特性更依赖线下体验,对AI人才的吸纳能力相对有限。显然,AI技能已成为职场“加分项”乃至“必需品”,越早掌握,越能占据职业竞争的主动权
随着AI大模型技术的迅速发展,相关岗位的需求也日益增加。大模型产业链催生了一批高薪新职业:

人工智能大潮已来,不加入就可能被淘汰。如果你是技术人,尤其是互联网从业者,现在就开始学习AI大模型技术,真的是给你的人生一个重要建议!
如果你真的想学习大模型,请不要去网上找那些零零碎碎的教程,真的很难学懂!你可以根据我这个学习路线和系统资料,制定一套学习计划,只要你肯花时间沉下心去学习,它们一定能帮到你!
大模型全套学习资料领取
这里我整理了一份AI大模型入门到进阶全套学习包,包含学习路线+实战案例+视频+书籍PDF+面试题+DeepSeek部署包和技巧,需要的小伙伴文在下方免费领取哦,真诚无偿分享!!!
vx扫描下方二维码即可

部分资料展示
一、 AI大模型学习路线图
这份路线图以“阶段性目标+重点突破方向”为核心,从基础认知(AI大模型核心概念)到技能进阶(模型应用开发),再到实战落地(行业解决方案),每一步都标注了学习周期和核心资源,帮你清晰规划成长路径。

二、 全套AI大模型应用开发视频教程
从入门到进阶这里都有,跟着老师学习事半功倍。

三、 大模型学习书籍&文档
收录《从零做大模型》《动手做AI Agent》等经典著作,搭配阿里云、腾讯云官方技术白皮书,帮你夯实理论基础。

四、大模型大厂面试真题
整理了百度、阿里、字节等企业近三年的AI大模型岗位面试题,涵盖基础理论、技术实操、项目经验等维度,每道题都配有详细解析和答题思路,帮你针对性提升面试竞争力。

适用人群

第一阶段(10天):初阶应用
该阶段让大家对大模型 AI有一个最前沿的认识,对大模型 AI 的理解超过 95% 的人,可以在相关讨论时发表高级、不跟风、又接地气的见解,别人只会和 AI 聊天,而你能调教 AI,并能用代码将大模型和业务衔接。
- 大模型 AI 能干什么?
- 大模型是怎样获得「智能」的?
- 用好 AI 的核心心法
- 大模型应用业务架构
- 大模型应用技术架构
- 代码示例:向 GPT-3.5 灌入新知识
- 提示工程的意义和核心思想
- Prompt 典型构成
- 指令调优方法论
- 思维链和思维树
- Prompt 攻击和防范
- …
第二阶段(30天):高阶应用
该阶段我们正式进入大模型 AI 进阶实战学习,学会构造私有知识库,扩展 AI 的能力。快速开发一个完整的基于 agent 对话机器人。掌握功能最强的大模型开发框架,抓住最新的技术进展,适合 Python 和 JavaScript 程序员。
- 为什么要做 RAG
- 搭建一个简单的 ChatPDF
- 检索的基础概念
- 什么是向量表示(Embeddings)
- 向量数据库与向量检索
- 基于向量检索的 RAG
- 搭建 RAG 系统的扩展知识
- 混合检索与 RAG-Fusion 简介
- 向量模型本地部署
- …
第三阶段(30天):模型训练
恭喜你,如果学到这里,你基本可以找到一份大模型 AI相关的工作,自己也能训练 GPT 了!通过微调,训练自己的垂直大模型,能独立训练开源多模态大模型,掌握更多技术方案。
到此为止,大概2个月的时间。你已经成为了一名“AI小子”。那么你还想往下探索吗?
- 为什么要做 RAG
- 什么是模型
- 什么是模型训练
- 求解器 & 损失函数简介
- 小实验2:手写一个简单的神经网络并训练它
- 什么是训练/预训练/微调/轻量化微调
- Transformer结构简介
- 轻量化微调
- 实验数据集的构建
- …
第四阶段(20天):商业闭环
对全球大模型从性能、吞吐量、成本等方面有一定的认知,可以在云端和本地等多种环境下部署大模型,找到适合自己的项目/创业方向,做一名被 AI 武装的产品经理。
- 硬件选型
- 带你了解全球大模型
- 使用国产大模型服务
- 搭建 OpenAI 代理
- 热身:基于阿里云 PAI 部署 Stable Diffusion
- 在本地计算机运行大模型
- 大模型的私有化部署
- 基于 vLLM 部署大模型
- 案例:如何优雅地在阿里云私有部署开源大模型
- 部署一套开源 LLM 项目
- 内容安全
- 互联网信息服务算法备案
- …
学习是一个过程,只要学习就会有挑战。天道酬勤,你越努力,就会成为越优秀的自己。
如果你能在15天内完成所有的任务,那你堪称天才。然而,如果你能完成 60-70% 的内容,你就已经开始具备成为一名大模型 AI 的正确特征了。
这份完整版的大模型 AI 学习资料已经上传CSDN,朋友们如果需要可以微信扫描下方CSDN官方认证二维码免费领取【保证100%免费】

更多推荐


所有评论(0)