FoundIR: Unleashing Million-scale Training Data to Advance Foundation Models-ICCV2025
本文提出FoundIR,一个面向真实场景的图像恢复基础模型。通过构建包含100万对图像的多样化数据集(涵盖20种退化类型),并设计基于扩散模型的通用框架,结合增量学习策略和专家模型,有效解决了大规模数据训练中的灾难性遗忘问题。实验表明,该方法在多种退化场景下优于现有技术,为图像恢复基础模型的发展提供了新思路。
Paper:https://arxiv.org/pdf/2412.01427
Code:https://github.com/House-Leo/FoundIR
Baseline:Conditional Diffusion
文章目录
3. Million-scale Dataset for Foundation Model
3.3. Dataset statistics and features
4.1. Degradation-agnostic generalist model
4.2. Incremental learning for model training
4.3. Degradation-aware specialist model
5.2 Comparisons with the state of the art
前言

问题: 现有的方法在现实场景中存在泛化瓶颈,因为它们大多是在退化有限的小规模合成数据集上训练的。因此,迫切需要大规模的高质量真实世界训练数据,以促进图像恢复基础模型的出现。
有了提出的大规模数据集,我们的重点转移到探索图像恢复基础模型的可行解决方案。这给我们带来了两个关键问题:(i) 我们如何制定一个强大的模型来处理更多现实世界的退化类型,并以此为基础;(ii) 当面对百万规模的数据时,我们如何更好地训练这个模型?
贡献: 数据集:为了方便成对数据采集,我们搭建了一个机电一体化拍摄系统。通过多轮运行该系统,我们调整了内部相机设置和外部成像条件来捕捉各种退化,并进一步提出了避免机械误差的数据对齐策略。与现有的训练数据相比,我们提出的数据集具有双重优势: (i) 具有更大规模的真实场景,(ii) 具有更高多样性的退化类型。
模型:FoundIR:我们首先制定了一个基于扩散的通才模型来学习退化不可知表示,以便学习到的特征对复杂的现实世界场景具有鲁棒的。注意,在大规模数据训练中引入了增量学习策略来克服潜在的灾难性遗忘问题。考虑到现实场景中不同退化的特征,我们进一步结合退化感知专家模型来改进模型的恢复能力,以获得高质量的输出。

3. Million-scale Dataset for Foundation Model

3.1. Data collection pipeline
在整个拍摄过程中,我们使用两个远程应用程序 (GVM Slider 和 Imaging Edge Mobile) 分别控制电动滑轨和相机快门。在这里,我们的数据收集 pipeline 可以分为三个步骤:(1) 捕获GT数据; (2) 利用相机内部设置获取LQ数据; (3) 利用外部成像条件获取LQ数据。
(1)GT capture
为了从更多样化的场景中捕获GT数据,我们使用120◦广角拍摄模式将电动滑轨上的相机从起点X移动到终点Y。
由于相机在加速和减速阶段是不稳定的,所以我们只选择静止和匀速运动阶段的帧作为GT图像。
在静态阶段,为了获得无噪点的GT图像,我们根据环境照度调整快门速度,直接以较低的ISO值(ISO≤300) 捕获GT图像。
在匀速运动阶段,我们使用预设的快门速度(例如,160)捕获GT序列,并在数据的后处理中仔细选择模糊GT帧。
(2)LQ capture with internal settings
在现实场景中,各种退化(例如,噪声,模糊和低光)对相机设置(例如,ISO值和快门速度(ST))高度敏感。
为了在第二轮中全面捕捉这些 LQ 图像,我们设计了一系列拍摄方案。
For noisy image:我们为每个场景调整 30 个不同的相机参数 (ISO: 800 ~ 20,000 和 ST:
)。
For blurry images caused by defocusing:我们通过调整不同的对焦模式(例如AF-S, AF-A, AF-C和MF)来多次捕捉相同的场景。
For blurry images caused by camera and object movements:我们使用高帧率(240帧/秒)相机捕捉模拟数据。在 [59] 之后,我们对捕获的视频应用帧插值,并通过在时间窗口上平均连续帧来生成模糊图像。
For low-light images:我们使用最低的ISO值(即ISO = 100)并设置不同的STs(
)来捕获不同照明强度的图像。
(3)LQ capture with external conditions
为了覆盖更广泛的真实退化数据,我们通过改变外部成像环境在第三轮中捕获 LQ 数据。事实上,由外部因素(如光照和天气)的变化引起的图像退化更具有挑战性。
For ambient illumination:我们通过关灯、拉上窗帘等一系列遮挡光源的活动来捕捉室内场景中的弱光图像。此外,考虑到现实世界低光条件下的图像退化具有多样性和耦合性,我们同时增加了 Round II 的设置,以捕获更复杂的多种退化因素共存的情况,如低光+噪声、低光+模糊、低光+模糊+噪声。
除了光照条件外,我们还引入了外部干扰物来模拟恶劣天气条件的影响。
Rain streaks:我们使用电动洒水装置来产生雨条,这是好莱坞电影工业中广泛使用的模拟降雨场景的技术。
Raindrop:我们在相机前放置一块有水滴的玻璃板 (厚度为3毫米)。
通过停止喷水并移除有雨滴的玻璃,我们捕捉到相应的无雨背景。为了保证数据的多样性,低光+雨的采集也同时考虑了光照和天气条件。
3.2. Data alignment pipeline
由于我们需要运行系统多轮来收集大规模配对数据,因此确保图像序列的严格空间对齐至关重要。
静态阶段的数据可以自然地用作对齐图像。然而,均匀运动阶段需要手动选择每个序列的初始帧和最终帧,这很容易导致不可避免的偏差(这种偏差会导致每个GT-LQ帧之间的不对齐)。为了缓解这个问题,我们在均匀移动阶段前后分别放置可识别的参考对象作为 start-marker 和 end-marker。换句话说,一旦开始标记消失,我们就以帧的方式从均匀移动阶段手动选择对齐的 GT-LQ 帧,直到 start-marker 出现在减速阶段。
尽管在每轮相同的滑块速度下,捕获的 GT 和 LQ 序列仍然表现出一些不可预测的时间对齐误差。为了解决这个问题,我们引入了一种匹配对齐策略(matching alignment strategy),多次捕捉每个场景。
图2 显示了该策略的一个示例,我们重复捕获三个GT序列和三个LQ序列,并计算每个序列中开始标记出现和消失之间的时间间隔,从而得到六个不同的时间间隔。然后,我们将第二个GT序列与第一个LQ序列进行匹配,其时间间隔的绝对误差最小(0.1s)。

3.3. Dataset statistics and features
使用上述 pipelines,,我们总共捕获了大约 8,500 个场景,其中包括 3,800 个室内场景和 4,700 个室外场景。我们涵盖了 20 种类型的退化,其中 7 种是单独的,13 种是耦合的。
为了可视化不同退化类型的数量分布,图3(b) 显示出了sunburst chart。我们提出的数据集的整体训练和测试集分别包含 1,011,614 和 1,500 对图像。所有图像的平均分辨率为 2514 × 1516。

4. Proposed Method: FoundIR
在大型语言模型中的集成学习的激励下[29,46,56],我们将一个 generalist 模型和多个 specialist 模型合并到我们的FoundIR中,形成一个集成框架,从而在更广泛的现实场景中实现更好的泛化,同时在特定场景中实现更高的恢复质量。

4.1. Degradation-agnostic generalist model
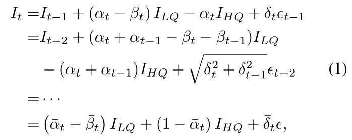
首先,采用泛化模型去除输入的多重退化;为了减轻由于学习不同退化的特定表示而造成的通用模型负担,我们引入了退化不可知的恢复阶段(degradation-agnostic restoration stage)。
具体来说,我们利用残差扩散模型通过在马尔可夫链中传递LQ (
) 和 HQ (
) 图像之间的残差分量来有效地解耦复杂的退化信息。受[30,61]中残差扩散过程
的启发,我们对输入退化图像
引入了附加约束,作为正向过程中的显式条件,取代了去噪扩散模型(DDPM)[15]中传统的
表示。数学上,正向扩散过程可以计算如下:

其中, 为时间步长
的输出,
为高斯噪声。
和
分别表示残差项、条件项和噪声项的系数。值得注意的是,当
时,
, 方程(1) 可以写成
。在这里,我们假设
作为一个可调参数来控制退化不可知学习的大小,其中
。随着前向扩散过程中噪声(即
值)的逐渐增大,与退化输入相关的特征(即
值)同时减弱。通过这个
通过这种不同退化的
逐渐形成一个共同的数据分布,有利于模型最终学习到一个退化不可知的表示空间。
4.2. Incremental learning for model training
我们注意到,现有的 generalist 恢复方法[24,35,41,61]通常通过简单地组合所有数据或选择来自不同退化类型的小批次进行训练来构建训练批次。然而,随着训练数据规模的急剧增加,模型容易忘记先前的知识,并在早期任务序列上降低性能,使模型优化变得更加困难。
为了减轻灾难性遗忘的问题,我们采用增量学习策略来促进更好的模型收敛。具体而言,我们首先建立任务增量池
,逐步添加来自不同任务的数据流,以防止模型早期学习阶段多个任务之间的干扰和竞争[6]。
在这里,我们将训练数据分为两类:isolated 退化学习类
和 coupled 退化学习类
。
对于
类,我们首先从 isolated 退化类中抽取批次
进行 n 次迭代训练,得到一个学习各种 isolated 退化知识的模型参数
。通过这种方式,在 isolated 退化类上训练良好的模型可以为耦合退化类的训练提供坚实的起点[31,32]。
对于
类,我们从这两个类中抽取组合批次
进行
次迭代训练,将模型参数从
更新为
。算法1 给出了训练 generalist 模型的伪算法。

4.3. Degradation-aware specialist model
最近的研究[6,47]表明,在某些任务上,generalist 模型通常比 specialist 模型表现不佳,这可以归因于任务干扰。为此,我们进一步引入了几个专家模型,通过考虑退化感知信息的特点来提炼复杂场景下的部分恢复能力。
与 [8] 类似,我们根据输入图像中的特定退化模式,自动从专家库EI中为每个场景选择最合适的模型,以确保高质量的输出。例如,我们利用气象专家[9]来提高恶劣天气条件下的修复质量,利用照明专家[64]来提高弱光条件下的修复质量。
与使用多个专家模型进行顺序恢复 [8] 不同,我们的方法允许专家模型共享他们的专业知识,共同提高恢复质量。
5. Experiments
5.1 Implementation details
我们使用ADAM[19]优化器进行
次迭代训练。我们将批处理大小设置为80,将补丁大小设置为256x256,并将
设置为0.3。初始学习速率设置为 1×10−4,在
次迭代后降至
。该模型采用相同的扩散逆过程和损失函数[61]。对于测试,我们首先将整个图像裁剪成1024×1024块作为输入,然后在恢复后将它们拼接回来,所有任务都使用4个时间步长。所有实验都是在四台服务器上进行的,每台服务器都配备了 8个NVIDIA RTX 4090 GPU,使用的是PyTorch 2.0。
5.2 Comparisons with the state of the art
(1)Evaluation on the proposed dataset


(2)Evaluation on the public benchmarks

5.3. Ablation analysis and discussion
(1)Effect of training data scaling、Effect of degradation-agnostic coefficient
为了考察我们的数据集规模的效果,我们逐渐将训练数据的百分比从10%提高到100%。图6显示,随着数据集大小的增加,它实现了更高的性能。

(2)Effectiveness of incremental learning、Effectiveness of overall pipeline

Where G and S denote the generalist model and specialist model, respectively.
6. Conclusion
本文提出了一个包含100万幅LQ-GT图像对的大规模高质量数据集,为通用图像恢复的基础模型提供了宝贵的训练资源。此外,我们提出了一种稳健的图像恢复模型 FoundIR,以解决更广泛的真实世界退化场景,同时利用增量学习技术来促进大规模数据训练。
声明:若论文中有理解有误的地方,欢迎大家批评指正。
更多推荐



所有评论(0)