计算机毕业设计springboot个人博客系统 基于SpringBoot的轻量化个人内容发布与互动平台 前后端分离模式下个人网络日志系统的设计与实现
计算机毕业设计springboot个人博客系统fu13vgi8(配套有源码 程序 mysql数据库 论文)本套源码可以在文本联xi,先看具体系统功能演示视频领取,可分享源码参考。1.AI生成的内容。
计算机毕业设计springboot个人博客系统fu13vgi8(配套有源码 程序 mysql数据库 论文)
本套源码可以在文本联xi,先看具体系统功能演示视频领取,可分享源码参考。
在信息过载的时代,个体需要一个干净、可掌控的角落沉淀思考、分享经验,而博客依旧是深度表达的最佳载体。本系统以SpringBoot+Vue为核心,采用B/S架构与MySQL数据库存储,为每位用户快速搭建专属空间,让文字、图片与思想自由流动。
首页聚合最新热门文章,支持关键词搜索与分类筛选;访客可注册/登录成为普通用户,浏览、点赞、踩、收藏、评论任何公开文章,并在论坛发布帖子进行互动。博主身份可随时撰写、编辑、删除自己的文章,实时上传封面与插图,为文章打标签、归分类;文章支持富文本与Markdown混排,自动统计阅读数、点赞数、评论数,并可一键置顶或隐藏。个人中心集中展示我的发布、我的收藏、我的互动记录,支持头像、昵称、密码等基础信息维护。后台统一管理用户、博主、文章分类、公告、论坛帖子、系统配置,可对违规内容执行屏蔽、删除、置顶、加精等操作,保障社区氛围。整套功能覆盖“写、发、看、聊、管”五大场景,让内容生产、消费与治理在同一平台内闭环运转。
注:以上是纯课题毕业设计功能介绍,并非实际开发完成,最终开发完成的毕业设计程序以下面的的环境软件、功能图和界面为准。
系统所需要的环境软件:idea、eclipse+mysql5.7、8.0+Navicat+JDK1.8+tomcat7.0
3 系统分析
3.1系统可行性分析
在开发系统以前,必须对系统开展可行性研究,目地是用有效的方法处理最大的问题。程序流程一旦开发出去满足客户的要求,便会产生许多益处。下面咱们就从技术性、操作性、经济性等领域来挑选这一系统是不是会最后开发。
3.1.1技术可行性
此次系统开发挑选Java语言,这也是一种面向对象编程的语言,Java为开发者提供了丰富的类库,大大减少了使用windows编程的难度,减少开发人员在设计算法上的难度,作为Java开发 Visual Studio更是一个必不可少的角色,它友好的界面,以及强大的功能,给程序开发人员带来了很多方便,加上环境简单,转移方便,无疑使此系统最佳的选择。所以后台设计选择使用MySQL数据库查询主要运用于创建和维护信息。从未来发展趋势看来,应当具备功能完善,使用方便的优势,后台数据库的要求则是能够建立和维护数据信息的统一性和完整性。
依据上述目标来分析本系统的硬件如下:
Intel(R) Core(TM) i7-7700HQ CPU ;
存储器是 16G;
硬盘是1000G;
操作系统是Window 10;
软件层面,安装了Visul Studio和MySQL数据库开发专用工具。依据以上硬件配置和系统规定,得到本系统的技术水平是有效的。
3.1.2经济可行性
本系统的软件开发只要一台一般的计算机就可以进行开发,其成本费很低。此外作为毕业设计论文,开发花费基本上可以忽略,系统软件的交付使用,可以实现更加快速高效的个人博客,同时还能实现对人力资源和管理资源的有效节约,该个人博客系统设计与实现在经济上完全可行。
3.1.3操作可行性
伴随着科学技术的迅猛发展,计算机早就进到大家的日常生活,大家的办公环境都不像过去那么极端了。规定工作人员在指定地点工作中,有一些工作中可以在家里进行。这促使大家工作效能更高一些。操作的多样化也变的更高一些。因而,管理方法的便利化和数字化是现代社会的大势所趋。各种各样智能系统五花八门,不一样的系统可以满足消费者不一样的要求,既增强了工作效能,又达到了一些特殊的要求。该系统不但页面简洁明了,并且使用了数据可视化页面。客户可以应用鼠标和键盘来改动、删掉、加上等有关信息。由于这一系统的使用比较简单实用,第一次应用系统只要一点时间。因而,该系统在使用上是有效的。
3.2系统性能需求分析
对系统性能进行分析,可对系统反应度、界面简洁清晰度、储存能性、易学性和稳定性进行分析;
系统反应度:同时上万人在线时反应时间应该在两三秒以内,。
简单明了的页面:系统界面规定简单明了,使用方便,有利于客户实际操作。
储存特性高:个人博客系统的设计方案和完成必须储存很多的信息,因此系统的存储量十分高,因此数据库查询要十分强力,确保信息的可靠平稳储存;
易懂:系统在使用上一定要实用。不用许多繁杂的实际操作,只要简洁的学习培训就可以实际操作。
可靠性:个人博客系统的设计方案、完成和运行平稳,页面清楚,字体样式清楚。
3.3系统功能分析
考虑到实际生活中在个人博客方面的需要以及对该系统认真的分析,将系统权限按进行划分。
管理员登录系统所涉及到的功能主要有用户、博主、文章分类、博客文章、博客论坛、系统管理、个人中心等功能。管理员用例如图3-1所示。

图3-1 管理员用例图
博主登录系统所涉及到的功能主要有个人中心、修改密码、博客文章、我的发布、我的收藏等功能。博主用例如图3-2所示。

图3-2 博主用例图
用户注册登录系统前台,点击个人中心可以对个人中心、修改密码、我的发布、我的收藏等功能。用户用例如图3-3所示。

图3-3用户用例图
3.4系统流程分析
由于不同的系统实际使用用户角色的不同,他们的业务分析也会变得有所不一样,为了论述方便接下来都将以管理员用户功能权限下的系统业务流程来分析,如下图所展示:
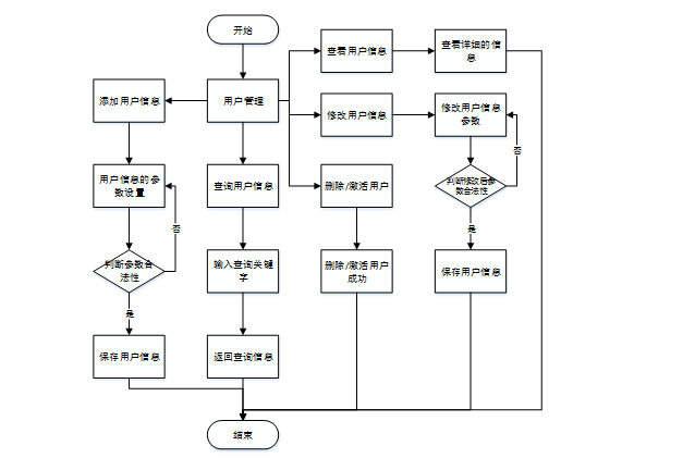
3.4.1 用户管理的流程

图3-4 用户管理流程
3.4.2 个人中心管理流程
个人中心管理流程如图3-5所示:

图3-5 个人中心管理流程
3.4.3 登录流程
登录流程如图3-6所示:

图3-6 登录流程
4系统设计
4.1 软件功能模块设计
系统整体功能如下图4-1所示:

图 4-1 系统总体功能模块图
4.2 数据库设计
4.2.1 概念模型设计
概念模型是对现实中的问题出现的事物的进行描述,ER图是由实体线以及关联构成的图,E-R图可以明确地叙述系统中涵盖的实体线相互关系。将“用户、博主、博客文章、公告信息、博客论坛、收藏”等作为实体,它们的局部E-R图,如图4-2所示:

图4-2局部E-R图
5系统详细设计
5.1系统功能模块
5.1.1前台首页页面
当人们打开系统的网址后,首先看到的就是首页界面。在这里,人们能够看到系统的导航条,通过导航条导航进入各功能展示页面进行操作。系统首页界面如图5-1所示:

图5-1 系统首页界面
在注册流程中,用户在Vue前端填写必要信息(如用户名、密码等)并提交。前端将这些信息通过HTTP请求发送到Java后端。后端处理这些信息,检查用户名是否唯一,并将新用户数据存入MySQL数据库。完成后,后端向前端发送注册成功的确认,前端随后通知用户完成注册。这个过程实现了新用户的数据收集、验证和存储。系统注册页面如图5-2所示:

图5-2系统注册页面
博客文章:在博客文章页面的输入栏中输入标题进行查询,可以查看到博客文章详细信息,并根据需要进行赞、踩、评论或收藏等操作。博客文章页面如图5-3所示:

图5-3博客文章详细页面
公告信息:在公告信息页面的输入栏中输入标题进行查询,可以查看到公告详细信息,并根据需要进行点赞或收藏等操作。公告信息页面如图5-4所示:

图5-4公告信息详细页面
博客论坛:在博客论坛页面的输入栏中输入标题进行查询或发布帖子,可以查看到博客论坛详细信息,并根据需要进行点赞或评论等操作。博客论坛页面如图5-5所示:

图5-5博客论坛详细页面
5.1.2用户个人中心页面实现
用户在个人中心页面可以对个人中心、修改密码、我的发布、我的收藏进行详细操作;如图5-6所示:

图5-6用户个人中心界面
5.1.2博主个人中心页面实现
博主在个人中心页面可以对个人中心、修改密码、博客文章、我的发布、我的收藏进行详细操作;如图5-4所示:

图5-6博主个人中心界面
5.2管理员模块实现
在登录流程中,用户首先在Vue前端界面输入用户名和密码。这些信息通过HTTP请求发送到Java后端。后端接收请求,通过与MySQL数据库交互验证用户凭证。如果认证成功,后端会返回给前端,允许用户访问系统。这个过程涵盖了从用户输入到系统验证和响应的全过程。如图5-7所示。

图5-7 后台登录界面
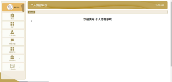
管理员进入主页面,主要功能包括对用户、博主、文章分类、博客文章、博客论坛、系统管理、个人中心等进行操作。管理员主页面如图5-8所示:

图5-8 管理员主界面
用户功能在视图层(view层)进行交互,比如点击“查找、添加或删除”按钮或填写用户表单。这些用户表单动作被视图层捕获并作为请求发送给相应的控制器层(controller层)。控制器接收到这些请求后,调用服务层(service层)以执行相关的业务逻辑,例如验证输入数据的有效性和与数据库的交互。服务层处理完这些逻辑后,进一步与数据访问对象层(DAO层)交互,后者负责具体的数据操作如查看、修改或删除用户信息,并将操作结果返回给控制器。最终,控制器根据这些结果更新视图层,以便用户功能可以看到最新的信息或相应的操作反馈。如图5-9所示:

图5-9用户界面
博主功能在视图层(view层)进行交互,比如点击“查找、添加或删除”按钮或填写博主表单。这些博主表单动作被视图层捕获并作为请求发送给相应的控制器层(controller层)。控制器接收到这些请求后,调用服务层(service层)以执行相关的业务逻辑,例如验证输入数据的有效性和与数据库的交互。服务层处理完这些逻辑后,进一步与数据访问对象层(DAO层)交互,后者负责具体的数据操作如查看、修改或删除博主信息,并将操作结果返回给控制器。最终,控制器根据这些结果更新视图层,以便博主功能可以看到最新的信息或相应的操作反馈。如图5-10所示:

图5-10博主界面
文章分类功能在视图层(view层)进行交互,比如点击“查找、添加或删除”按钮或填写文章分类表单。这些文章分类表单动作被视图层捕获并作为请求发送给相应的控制器层(controller层)。控制器接收到这些请求后,调用服务层(service层)以执行相关的业务逻辑,例如验证输入数据的有效性和与数据库的交互。服务层处理完这些逻辑后,进一步与数据访问对象层(DAO层)交互,后者负责具体的数据操作如查看、修改或删除文章分类信息,并将操作结果返回给控制器。最终,控制器根据这些结果更新视图层,以便文章分类功能可以看到最新的信息或相应的操作反馈。如图5-11所示:

图5-11文章分类界面
博客文章功能在视图层(view层)进行交互,比如点击“查找、添加或删除”按钮或填写博客文章表单。这些博客文章表单动作被视图层捕获并作为请求发送给相应的控制器层(controller层)。控制器接收到这些请求后,调用服务层(service层)以执行相关的业务逻辑,例如验证输入数据的有效性和与数据库的交互。服务层处理完这些逻辑后,进一步与数据访问对象层(DAO层)交互,后者负责具体的数据操作如查看、修改、查看评论或删除博客文章信息,并将操作结果返回给控制器。最终,控制器根据这些结果更新视图层,以便博客文章功能可以看到最新的信息或相应的操作反馈。如图5-12所示:

图5-12博客文章界面
博客论坛功能在视图层(view层)进行交互,比如点击“查找、添加或删除”按钮或填写博客论坛表单。这些博客论坛表单动作被视图层捕获并作为请求发送给相应的控制器层(controller层)。控制器接收到这些请求后,调用服务层(service层)以执行相关的业务逻辑,例如验证输入数据的有效性和与数据库的交互。服务层处理完这些逻辑后,进一步与数据访问对象层(DAO层)交互,后者负责具体的数据操作如查看、修改、查看评论或删除博客论坛信息,并将操作结果返回给控制器。最终,控制器根据这些结果更新视图层,以便博客论坛功能可以看到最新的信息或相应的操作反馈。如图5-13所示:

图5-13博客论坛界面
源码无偿分享,文未领取
更多推荐



所有评论(0)