2026年重塑LLM的“第二大脑”:RAG技术原理与核心价值深度解析!
RAG技术通过结合预训练大模型与外部知识检索系统,有效解决了LLM的幻觉、知识时效性和私有数据访问三大痛点。其核心流程包括索引构建、相关检索和答案生成三个阶段,显著提升准确性、实时性和数据安全性。相比微调,RAG更适合动态响应和频繁更新的场景,而高级形态如GraphRAG和Agentic RAG正推动技术向更复杂推理方向发展。RAG标志着大模型从"记忆者"到"思考者"的架构革命。
一、引言
自 2023 年生成式 AI 爆发以来,我们见证了 LLM(大语言模型)惊人的通识能力。然而,到了 2026 年的今天,在企业级落地和垂直领域应用中,单纯依赖原生 LLM 的弊端早已显露无疑。
无论模型的参数量 scaling 到多大,它们始终面临着三大核心痛点:
1.幻觉问题(Hallucination) :模型在不知道答案时倾向于“一本正经地胡说八道”,这在医疗、法律等严谨场景是不可接受的。
2.知识时效性(Outdated Knowledge) :模型的知识截止于训练数据的时间点。重新训练一个万亿参数的模型既昂贵又耗时,无法做到实时更新。
3.私有数据黑盒(Private Data Inaccessibility) :企业拥有大量的内部文档、SOP、数据库,这些数据是高价值的资产,但通用的 LLM 无法触及,且出于数据安全考虑,企业也不愿将其直接用于公有云模型的微调。
为了解决这些“阿喀琉斯之踵”,RAG(Retrieval-Augmented Generation,检索增强生成) 技术应运而生,并迅速成为 AI 2.0 时代企业应用落地的标准架构。
二、什么是 RAG?——给大模型一场“开卷考试”
2.1 定义与本质
RAG,全称 Retrieval-Augmented Generation(检索增强生成),是一种将预训练的大语言模型(LLM)与外部知识检索系统相结合的架构。
通俗来说,如果传统的 ChatGPT 问答是“闭卷考试”(完全依赖模型训练时记住的参数知识),那么 RAG 就是一场“开卷考试” 。当用户提出问题时,系统首先去外部知识库(课本、参考书)中查找相关资料,然后将这些资料连同问题一起交给大模型,让大模型基于参考资料生成准确的答案。
正如 RedHat 所定义的那样,RAG 是一种能够提高生成式 AI 应用所生成答案的质量和相关性的技术,它的工作原理是将大语言模型的预训练知识与外部资源关联起来。
2.2 RAG 的核心价值
根据行业实践经验总结,RAG 技术主要带来了以下价值:
•准确性提升:通过引入外部知识库,显著减少了模型的幻觉,利用检索到的事实数据约束模型的生成结果。
•知识实时性:无需重新训练模型,只需更新向量数据库中的文档,即可让 AI 掌握最新的新闻、政策或产品信息。
•数据安全性与隐私:企业数据保留在本地或私有向量库中,大模型仅作为推理引擎,实现了数据所有权与模型能力的解耦。RAG技術:企業知識管理與生成式AI 的理想結合方案。
•可解释性:RAG 生成的内容可以标注引用来源(Citation),让用户知道答案出自哪篇文档的哪一段,建立了信任。
三、RAG 的技术原理与标准流程
RAG 的标准流程可以概括为三个核心阶段:索引(Indexing)、检索(Retrieval)和生成(Generation) 。这是一个实现了“检索”与“生成”有机结合的闭环系统。
3.1 第一阶段:索引(Indexing)——构建知识库
这是 RAG 的地基,决定了系统能“看到”什么知识。
1.数据提取(Data Extraction) :从各种来源(PDF、Word、HTML、Markdown、数据库)提取原始文本。
2.分块(Chunking) :由于 LLM 的上下文窗口(Context Window)限制以及检索精度的考量,我们需要将长文本切分为较小的片段(Chunks)。
3.向量化(Embedding) :利用 Embedding 模型将文本块转化为高维向量(Vectors)。向量是计算机理解语义的数学形式。
4.存储(Indexing/Storage) :将生成的向量及对应的元数据存储在 向量数据库(Vector Database) 中,如 Milvus、Pinecone、Weaviate 或 Faiss。
3.2 第二阶段:检索(Retrieval)——寻找相关信息
当用户发起提问时,系统执行检索操作:
1.查询向量化:将用户的 Query 使用同样的 Embedding 模型转化为查询向量 q。
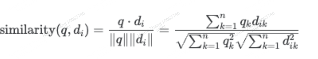
2.相似度计算:在向量数据库中计算 q与存储的文档向量 di之间的相似度。最常用的度量方式是 余弦相似度(Cosine Similarity) 。 其数学公式如下:

3.Top-K 召回:根据相似度得分,检索出最相关的 K个文本块(Context)。
3.3 第三阶段:生成(Generation)——智慧融合
这是最后一步,将检索结果转化为自然语言回答:
1.Prompt 组装:将用户的原始问题(Query)与检索到的上下文(Context)填充到预设的 Prompt 模板中。
Prompt 示例:
“请基于以下参考信息回答用户的问题。如果参考信息不足以回答,请说不知道。 参考信息:[Chunk 1]… [Chunk 2]… 用户问题:…”
1.LLM 推理:将增强后的 Prompt 输入给大模型。
2.生成回答:模型综合上下文信息,生成最终答案。
从概率角度看,RAG 改变了模型的生成概率分布。传统生成的概率是 P(y∣x)P(y∣x),而 RAG 是基于检索内容 zz的生成:

其中 z是检索到的外部知识,P(z∣x)P(z∣x) 代表检索的相关性,P(y∣x,z)P(y∣x,z) 代表基于检索内容生成的概率。
四、 RAG vs. 微调(Fine-Tuning):如何选择?
在 AI 工程化落地中,经常会有“RAG 和 微调哪个好?”的争论。根据 RAG和Fine-Tuning有什麼不同? 以及其它参考内容:
| 维度 | RAG (检索增强生成) | Fine-Tuning (微调) |
|---|---|---|
| 核心能力 | 知识获取 :擅长利用外部、实时的具体信息。 | 能力内化 :擅长学习特定的指令格式、语言风格或复杂推理模式。 |
| 数据更新频率 | 高 :更新数据库即可,立等可取,成本极低。 | 低 :需要重新训练,周期长,成本高。 |
| 准确性/幻觉 | 低幻觉 :答案有据可依,可追溯来源。 | 仍有幻觉 :模型可能记住错误知识或产生记忆混淆。 |
| 适用场景 | 实时新闻、企业知识库问答、客服助手、法律法规查询。 | 医疗诊断推理、特定格式代码生成、角色扮演(风格模仿)。 |
结论:
•如果你的应用需要动态响应、频繁更新外部知识(如每天的股市简报),RAG 是不二之选。
•如果你需要模型深度掌握固定领域内的推理范式或特定的语言风格(如模仿莎士比亚写作),微调更合适。
•RAG + 微调:在 2026 年的高级应用中,通常采用混合模式。例如,用微调让模型学会“如何阅读医疗报告”,再用 RAG 提供“患者的实时体检数据”。
五、RAG 技术的进阶与未来
随着技术的发展,基础的 RAG(Naive RAG)已经演化出更多高级形态:
•Modular RAG(模块化 RAG) :将检索、重排(Re-ranking)、生成等环节解耦,允许开发者像搭积木一样替换更强的组件。深入理解高级RAG 技术。
•GraphRAG(图谱增强 RAG) :微软等机构提出的结合知识图谱(Knowledge Graph)的 RAG。它不仅检索向量相似的片段,还能通过图谱关系找到实体之间的深层逻辑关联,解决跨文档的复杂推理问题。
•Agentic RAG(代理式 RAG) :RAG 不再是一个单向流程,而是一个智能体(Agent)。它可以自主判断检索到的内容是否足够,如果不够,它会修改搜索关键词重新检索,甚至使用工具去联网搜索,直到找到满意答案。
六、总结
RAG 技术并不是简单的“搜索+粘贴”,它是一场让大模型从“记忆者”转变为“思考者”的架构革命。
通过本文,我们明确了 RAG 的定义:利用检索外部文档提升生成结果质量,充分利用领域知识和私有数据、实时数据,减少生成不确定性。
后续将继续系列文章中,从理论走向实战,争取动手搭建开发环境,写出第一行 RAG 代码,实现一个简易的“个人知识库助手”。
说真的,这两年看着身边一个个搞Java、C++、前端、数据、架构的开始卷大模型,挺唏嘘的。大家最开始都是写接口、搞Spring Boot、连数据库、配Redis,稳稳当当过日子。
结果GPT、DeepSeek火了之后,整条线上的人都开始有点慌了,大家都在想:“我是不是要学大模型,不然这饭碗还能保多久?”
我先给出最直接的答案:一定要把现有的技术和大模型结合起来,而不是抛弃你们现有技术!掌握AI能力的Java工程师比纯Java岗要吃香的多。
即使现在裁员、降薪、团队解散的比比皆是……但后续的趋势一定是AI应用落地!大模型方向才是实现职业升级、提升薪资待遇的绝佳机遇!
这绝非空谈。数据说话
2025年的最后一个月,脉脉高聘发布了《2025年度人才迁徙报告》,披露了2025年前10个月的招聘市场现状。
AI领域的人才需求呈现出极为迫切的“井喷”态势

2025年前10个月,新发AI岗位量同比增长543%,9月单月同比增幅超11倍。同时,在薪资方面,AI领域也显著领先。其中,月薪排名前20的高薪岗位平均月薪均超过6万元,而这些席位大部分被AI研发岗占据。
与此相对应,市场为AI人才支付了显著的溢价:算法工程师中,专攻AIGC方向的岗位平均薪资较普通算法工程师高出近18%;产品经理岗位中,AI方向的产品经理薪资也领先约20%。
当你意识到“技术+AI”是个人突围的最佳路径时,整个就业市场的数据也印证了同一个事实:AI大模型正成为高薪机会的最大源头。
最后
我在一线科技企业深耕十二载,见证过太多因技术卡位而跃迁的案例。那些率先拥抱 AI 的同事,早已在效率与薪资上形成代际优势,我意识到有很多经验和知识值得分享给大家,也可以通过我们的能力和经验解答大家在大模型的学习中的很多困惑。
我整理出这套 AI 大模型突围资料包【允许白嫖】:
-
✅从入门到精通的全套视频教程
-
✅AI大模型学习路线图(0基础到项目实战仅需90天)
-
✅大模型书籍与技术文档PDF
-
✅各大厂大模型面试题目详解
-
✅640套AI大模型报告合集
-
✅大模型入门实战训练
这份完整版的大模型 AI 学习和面试资料已经上传CSDN,朋友们如果需要可以微信扫描下方CSDN官方认证二维码免费领取【保证100%免费】

①从入门到精通的全套视频教程
包含提示词工程、RAG、Agent等技术点

② AI大模型学习路线图(0基础到项目实战仅需90天)
全过程AI大模型学习路线

③学习电子书籍和技术文档
市面上的大模型书籍确实太多了,这些是我精选出来的

④各大厂大模型面试题目详解

⑤640套AI大模型报告合集

⑥大模型入门实战训练

👉获取方式:
有需要的小伙伴,可以保存图片到wx扫描二v码免费领取【保证100%免费】🆓

更多推荐



所有评论(0)