2026年必学:RAG技术让大模型拥有“开卷考试“能力
RAG技术通过"检索+生成"架构有效解决大语言模型的三大痛点:幻觉问题、知识时效性和私有数据访问。该技术让模型从"闭卷"变为"开卷",在回答问题时先检索外部知识库,再基于检索内容生成回答,显著提升了准确性、实时性和安全性。文章详细解析了RAG的三大流程(索引、检索、生成),比较了其与微调技术的适用场景,并展望了模块化、图谱式和代理式等进阶
RAG技术解决大语言模型三大痛点:幻觉、知识时效性和私有数据访问问题。它通过"检索+生成"架构,让模型从"闭卷"变为"开卷",提升准确性、实时性和安全性。文章详解了RAG的索引、检索和生成三大流程,比较了与微调的适用场景,并展望了模块化、图谱式和代理式等进阶形态,是企业级AI应用落地的标准架构。
- 引言
自 2023 年生成式 AI 爆发以来,我们见证了 LLM(大语言模型)惊人的通识能力。然而,到了 2026 年的今天,在企业级落地和垂直领域应用中,单纯依赖原生 LLM 的弊端早已显露无疑。
无论模型的参数量 scaling 到多大,它们始终面临着三大核心痛点:
1.幻觉问题(Hallucination) :模型在不知道答案时倾向于“一本正经地胡说八道”,这在医疗、法律等严谨场景是不可接受的。
2.知识时效性(Outdated Knowledge) :模型的知识截止于训练数据的时间点。重新训练一个万亿参数的模型既昂贵又耗时,无法做到实时更新。
3.私有数据黑盒(Private Data Inaccessibility) :企业拥有大量的内部文档、SOP、数据库,这些数据是高价值的资产,但通用的 LLM 无法触及,且出于数据安全考虑,企业也不愿将其直接用于公有云模型的微调。
为了解决这些“阿喀琉斯之踵”,RAG(Retrieval-Augmented Generation,检索增强生成) 技术应运而生,并迅速成为 AI 2.0 时代企业应用落地的标准架构。
- 什么是 RAG?——给大模型一场“开卷考试”
2.1 定义与本质
RAG,全称 Retrieval-Augmented Generation(检索增强生成),是一种将预训练的大语言模型(LLM)与外部知识检索系统相结合的架构。
通俗来说,如果传统的 ChatGPT 问答是“闭卷考试”(完全依赖模型训练时记住的参数知识),那么 RAG 就是一场“开卷考试” 。当用户提出问题时,系统首先去外部知识库(课本、参考书)中查找相关资料,然后将这些资料连同问题一起交给大模型,让大模型基于参考资料生成准确的答案。
正如 RedHat 所定义的那样,RAG 是一种能够提高生成式 AI 应用所生成答案的质量和相关性的技术,它的工作原理是将大语言模型的预训练知识与外部资源关联起来。
2.2 RAG 的核心价值
根据行业实践经验总结,RAG 技术主要带来了以下价值:
•准确性提升:通过引入外部知识库,显著减少了模型的幻觉,利用检索到的事实数据约束模型的生成结果。
•知识实时性:无需重新训练模型,只需更新向量数据库中的文档,即可让 AI 掌握最新的新闻、政策或产品信息。
•数据安全性与隐私:企业数据保留在本地或私有向量库中,大模型仅作为推理引擎,实现了数据所有权与模型能力的解耦。RAG技術:企業知識管理與生成式AI 的理想結合方案。
•可解释性:RAG 生成的内容可以标注引用来源(Citation),让用户知道答案出自哪篇文档的哪一段,建立了信任。
- RAG 的技术原理与标准流程
RAG 的标准流程可以概括为三个核心阶段:索引(Indexing)、检索(Retrieval)和生成(Generation) 。这是一个实现了“检索”与“生成”有机结合的闭环系统。
3.1 第一阶段:索引(Indexing)——构建知识库
这是 RAG 的地基,决定了系统能“看到”什么知识。
1.数据提取(Data Extraction) :从各种来源(PDF、Word、HTML、Markdown、数据库)提取原始文本。
2.分块(Chunking) :由于 LLM 的上下文窗口(Context Window)限制以及检索精度的考量,我们需要将长文本切分为较小的片段(Chunks)。
3.向量化(Embedding) :利用 Embedding 模型将文本块转化为高维向量(Vectors)。向量是计算机理解语义的数学形式。
4.存储(Indexing/Storage) :将生成的向量及对应的元数据存储在 向量数据库(Vector Database) 中,如 Milvus、Pinecone、Weaviate 或 Faiss。
3.2 第二阶段:检索(Retrieval)——寻找相关信息
当用户发起提问时,系统执行检索操作:
1.查询向量化:将用户的 Query 使用同样的 Embedding 模型转化为查询向量 q。
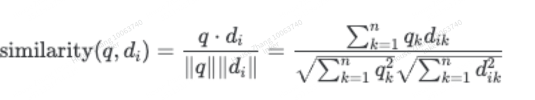
2.相似度计算:在向量数据库中计算 q与存储的文档向量 di之间的相似度。最常用的度量方式是 余弦相似度(Cosine Similarity) 。 其数学公式如下:

3.Top-K 召回:根据相似度得分,检索出最相关的 K个文本块(Context)。
3.3 第三阶段:生成(Generation)——智慧融合
这是最后一步,将检索结果转化为自然语言回答:
1.Prompt 组装:将用户的原始问题(Query)与检索到的上下文(Context)填充到预设的 Prompt 模板中。
Prompt 示例:
“请基于以下参考信息回答用户的问题。如果参考信息不足以回答,请说不知道。 参考信息:[Chunk 1]… [Chunk 2]… 用户问题:…”
1.LLM 推理:将增强后的 Prompt 输入给大模型。
2.生成回答:模型综合上下文信息,生成最终答案。
从概率角度看,RAG 改变了模型的生成概率分布。传统生成的概率是 P(y∣x)P(y∣x),而 RAG 是基于检索内容 zz的生成:

其中 z是检索到的外部知识,P(z∣x)P(z∣x) 代表检索的相关性,P(y∣x,z)P(y∣x,z) 代表基于检索内容生成的概率。
- RAG vs. 微调(Fine-Tuning):如何选择?
在 AI 工程化落地中,经常会有“RAG 和 微调哪个好?”的争论。根据 RAG和Fine-Tuning有什麼不同? 以及其它参考内容:
| 维度 | RAG (检索增强生成) | Fine-Tuning (微调) |
|---|---|---|
| 核心能力 | 知识获取 :擅长利用外部、实时的具体信息。 | 能力内化 :擅长学习特定的指令格式、语言风格或复杂推理模式。 |
| 数据更新频率 | 高 :更新数据库即可,立等可取,成本极低。 | 低 :需要重新训练,周期长,成本高。 |
| 准确性/幻觉 | 低幻觉 :答案有据可依,可追溯来源。 | 仍有幻觉 :模型可能记住错误知识或产生记忆混淆。 |
| 适用场景 | 实时新闻、企业知识库问答、客服助手、法律法规查询。 | 医疗诊断推理、特定格式代码生成、角色扮演(风格模仿)。 |
结论:
•如果你的应用需要动态响应、频繁更新外部知识(如每天的股市简报),RAG 是不二之选。
•如果你需要模型深度掌握固定领域内的推理范式或特定的语言风格(如模仿莎士比亚写作),微调更合适。
•RAG + 微调:在 2026 年的高级应用中,通常采用混合模式。例如,用微调让模型学会“如何阅读医疗报告”,再用 RAG 提供“患者的实时体检数据”。
- RAG 技术的进阶与未来
随着技术的发展,基础的 RAG(Naive RAG)已经演化出更多高级形态:
•Modular RAG(模块化 RAG) :将检索、重排(Re-ranking)、生成等环节解耦,允许开发者像搭积木一样替换更强的组件。深入理解高级RAG 技术。
•GraphRAG(图谱增强 RAG) :微软等机构提出的结合知识图谱(Knowledge Graph)的 RAG。它不仅检索向量相似的片段,还能通过图谱关系找到实体之间的深层逻辑关联,解决跨文档的复杂推理问题。
•Agentic RAG(代理式 RAG) :RAG 不再是一个单向流程,而是一个智能体(Agent)。它可以自主判断检索到的内容是否足够,如果不够,它会修改搜索关键词重新检索,甚至使用工具去联网搜索,直到找到满意答案。
- 总结
RAG 技术并不是简单的“搜索+粘贴”,它是一场让大模型从“记忆者”转变为“思考者”的架构革命。
通过本文,我们明确了 RAG 的定义:利用检索外部文档提升生成结果质量,充分利用领域知识和私有数据、实时数据,减少生成不确定性。
后续将继续系列文章中,从理论走向实战,争取动手搭建开发环境,写出第一行 RAG 代码,实现一个简易的“个人知识库助手”。
如何学习AI大模型?
如果你对AI大模型入门感兴趣,那么你需要的话可以点击这里大模型重磅福利:入门进阶全套104G学习资源包免费分享!
这份完整版的大模型 AI 学习和面试资料已经上传CSDN,朋友们如果需要可以微信扫描下方CSDN官方认证二维码免费领取【保证100%免费】

这是一份大模型从零基础到进阶的学习路线大纲全览,小伙伴们记得点个收藏!

第一阶段: 从大模型系统设计入手,讲解大模型的主要方法;
第二阶段: 在通过大模型提示词工程从Prompts角度入手更好发挥模型的作用;
第三阶段: 大模型平台应用开发借助阿里云PAI平台构建电商领域虚拟试衣系统;
第四阶段: 大模型知识库应用开发以LangChain框架为例,构建物流行业咨询智能问答系统;
第五阶段: 大模型微调开发借助以大健康、新零售、新媒体领域构建适合当前领域大模型;
第六阶段: 以SD多模态大模型为主,搭建了文生图小程序案例;
第七阶段: 以大模型平台应用与开发为主,通过星火大模型,文心大模型等成熟大模型构建大模型行业应用。
100套AI大模型商业化落地方案

大模型全套视频教程

200本大模型PDF书籍

👉学会后的收获:👈
• 基于大模型全栈工程实现(前端、后端、产品经理、设计、数据分析等),通过这门课可获得不同能力;
• 能够利用大模型解决相关实际项目需求: 大数据时代,越来越多的企业和机构需要处理海量数据,利用大模型技术可以更好地处理这些数据,提高数据分析和决策的准确性。因此,掌握大模型应用开发技能,可以让程序员更好地应对实际项目需求;
• 基于大模型和企业数据AI应用开发,实现大模型理论、掌握GPU算力、硬件、LangChain开发框架和项目实战技能, 学会Fine-tuning垂直训练大模型(数据准备、数据蒸馏、大模型部署)一站式掌握;
• 能够完成时下热门大模型垂直领域模型训练能力,提高程序员的编码能力: 大模型应用开发需要掌握机器学习算法、深度学习框架等技术,这些技术的掌握可以提高程序员的编码能力和分析能力,让程序员更加熟练地编写高质量的代码。
LLM面试题合集

大模型产品经理资源合集

大模型项目实战合集

👉获取方式:
😝有需要的小伙伴,可以保存图片到wx扫描二v码免费领取【保证100%免费】🆓

更多推荐



所有评论(0)