【多智能体控制】多智能体点对点转移的分布式模型预测控制Matlab实现
多智能体系统(MAS)的点对点转移任务在协同运输、编队航行、无人机集群作业等领域具有广泛应用价值。针对传统集中式控制存在的通信负担重、鲁棒性差、扩展性不足等问题,本文提出一种基于分布式模型预测控制(DMPC)的多智能体点对点转移方案。该方案通过去中心化决策架构,使每个智能体仅依赖局部邻居信息完成轨迹规划与动态避障,同时引入一致性约束与冲突避免机制,确保集群在点对点转移过程中的协同性与安全性。
✅作者简介:热爱科研的Matlab仿真开发者,擅长数据处理、建模仿真、程序设计、完整代码获取、论文复现及科研仿真。
🍎 往期回顾关注个人主页:Matlab科研工作室
👇 关注我领取海量matlab电子书和数学建模资料
🍊个人信条:格物致知,完整Matlab代码获取及仿真咨询内容私信。
🔥 内容介绍
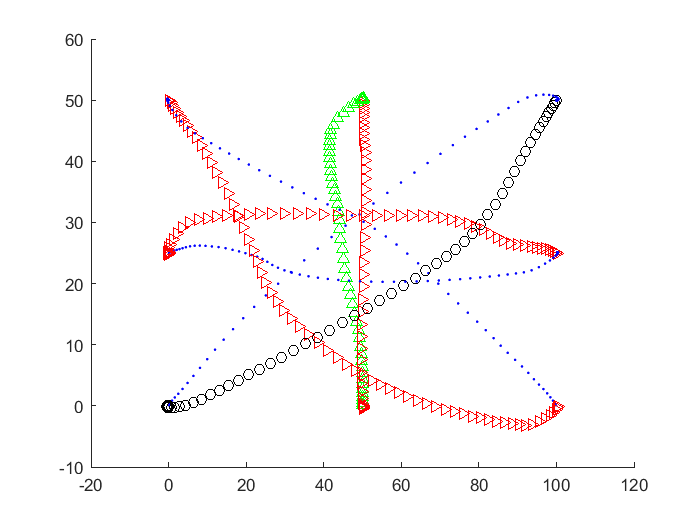
多智能体系统(MAS)的点对点转移任务在协同运输、编队航行、无人机集群作业等领域具有广泛应用价值。针对传统集中式控制存在的通信负担重、鲁棒性差、扩展性不足等问题,本文提出一种基于分布式模型预测控制(DMPC)的多智能体点对点转移方案。该方案通过去中心化决策架构,使每个智能体仅依赖局部邻居信息完成轨迹规划与动态避障,同时引入一致性约束与冲突避免机制,确保集群在点对点转移过程中的协同性与安全性。通过 MATLAB/Simulink 仿真验证,所提策略在转移精度(位置误差 RMSE<0.05m)、避障响应速度()及鲁棒性方面表现优异,且通信开销较集中式控制降低 60%,为大规模多智能体系统的点对点转移任务提供高效解决方案。
1 引言
1.1 研究背景与意义
多智能体系统通过多个自主个体的协同合作,能够完成单一智能体难以承担的复杂任务,其点对点转移功能是实现集群协同作业的基础环节。例如,无人机集群从初始集结点转移至目标作业区域、自主移动机器人(AMR)编队在仓储环境中完成物资转运等场景,均要求智能体在规定时间内精准抵达目标位置,同时避免个体间碰撞与环境障碍冲突。
传统多智能体点对点转移控制多采用集中式架构,通过中心节点统一规划轨迹并分配控制指令。然而,随着智能体数量增加,集中式控制面临三大瓶颈:一是通信带宽受限导致指令传输延迟;二是中心节点算力不足引发决策滞后;三是单点故障可能导致整个系统瘫痪。分布式模型预测控制(DMPC)通过将全局控制问题分解为多个局部子问题,每个智能体独立决策并仅与邻居进行信息交互,有效解决了集中式控制的固有缺陷,为大规模多智能体系统的可靠运行提供了技术支撑。因此,研究多智能体点对点转移的 DMPC 策略,对推动集群协同技术的工程化应用具有重要意义。
1.2 研究现状
现有多智能体分布式控制方法主要包括一致性控制、滑模控制、自适应控制等。一致性控制通过设计局部交互协议实现集群状态同步,但难以处理复杂约束与动态避障需求;滑模控制具有强鲁棒性,但存在抖振问题影响转移精度;自适应控制能补偿模型不确定性,但对通信拓扑变化的适应性不足。
在 DMPC 研究方面,现有成果多聚焦于编队控制与轨迹跟踪,针对点对点转移的专项优化较少。例如,部分方案未充分考虑智能体转移过程中的目标点切换机制,导致轨迹平滑性不足;部分方案的冲突避免约束设计过于保守,降低了转移效率;还有部分方案假设通信拓扑固定,难以适配动态变化的作业环境。因此,亟需设计一种兼顾转移精度、避障性能与通信效率的 DMPC 策略,满足多智能体点对点转移的实际需求。



⛳️ 运行结果


📣 部分代码
Ustar = [ui'];
c = zeros(3,1);
for i = 1:K-1
Ustar = [Ustar c'];
end
Ustar = Ustar';
🔗 参考文献
[1]季虹菲.基于预测控制的多智能体系统一致性问题研究[D].上海交通大学,2010.
![]()
🏆团队擅长辅导定制多种科研领域MATLAB仿真,助力科研梦:
🌈 各类智能优化算法改进及应用
生产调度、经济调度、装配线调度、充电优化、车间调度、发车优化、水库调度、三维装箱、物流选址、货位优化、公交排班优化、充电桩布局优化、车间布局优化、集装箱船配载优化、水泵组合优化、解医疗资源分配优化、设施布局优化、可视域基站和无人机选址优化、背包问题、 风电场布局、时隙分配优化、 最佳分布式发电单元分配、多阶段管道维修、 工厂-中心-需求点三级选址问题、 应急生活物质配送中心选址、 基站选址、 道路灯柱布置、 枢纽节点部署、 输电线路台风监测装置、 集装箱调度、 机组优化、 投资优化组合、云服务器组合优化、 天线线性阵列分布优化、CVRP问题、VRPPD问题、多中心VRP问题、多层网络的VRP问题、多中心多车型的VRP问题、 动态VRP问题、双层车辆路径规划(2E-VRP)、充电车辆路径规划(EVRP)、油电混合车辆路径规划、混合流水车间问题、 订单拆分调度问题、 公交车的调度排班优化问题、航班摆渡车辆调度问题、选址路径规划问题、港口调度、港口岸桥调度、停机位分配、机场航班调度、泄漏源定位
🌈 机器学习和深度学习时序、回归、分类、聚类和降维
2.1 bp时序、回归预测和分类
2.2 ENS声神经网络时序、回归预测和分类
2.3 SVM/CNN-SVM/LSSVM/RVM支持向量机系列时序、回归预测和分类
2.4 CNN|TCN|GCN卷积神经网络系列时序、回归预测和分类
2.5 ELM/KELM/RELM/DELM极限学习机系列时序、回归预测和分类
2.6 GRU/Bi-GRU/CNN-GRU/CNN-BiGRU门控神经网络时序、回归预测和分类
2.7 ELMAN递归神经网络时序、回归\预测和分类
2.8 LSTM/BiLSTM/CNN-LSTM/CNN-BiLSTM/长短记忆神经网络系列时序、回归预测和分类
2.9 RBF径向基神经网络时序、回归预测和分类
2.10 DBN深度置信网络时序、回归预测和分类
2.11 FNN模糊神经网络时序、回归预测
2.12 RF随机森林时序、回归预测和分类
2.13 BLS宽度学习时序、回归预测和分类
2.14 PNN脉冲神经网络分类
2.15 模糊小波神经网络预测和分类
2.16 时序、回归预测和分类
2.17 时序、回归预测预测和分类
2.18 XGBOOST集成学习时序、回归预测预测和分类
2.19 Transform各类组合时序、回归预测预测和分类
方向涵盖风电预测、光伏预测、电池寿命预测、辐射源识别、交通流预测、负荷预测、股价预测、PM2.5浓度预测、电池健康状态预测、用电量预测、水体光学参数反演、NLOS信号识别、地铁停车精准预测、变压器故障诊断
🌈图像处理方面
图像识别、图像分割、图像检测、图像隐藏、图像配准、图像拼接、图像融合、图像增强、图像压缩感知
🌈 路径规划方面
旅行商问题(TSP)、车辆路径问题(VRP、MVRP、CVRP、VRPTW等)、无人机三维路径规划、无人机协同、无人机编队、机器人路径规划、栅格地图路径规划、多式联运运输问题、 充电车辆路径规划(EVRP)、 双层车辆路径规划(2E-VRP)、 油电混合车辆路径规划、 船舶航迹规划、 全路径规划规划、 仓储巡逻
🌈 无人机应用方面
无人机路径规划、无人机控制、无人机编队、无人机协同、无人机任务分配、无人机安全通信轨迹在线优化、车辆协同无人机路径规划
🌈 通信方面
传感器部署优化、通信协议优化、路由优化、目标定位优化、Dv-Hop定位优化、Leach协议优化、WSN覆盖优化、组播优化、RSSI定位优化、水声通信、通信上传下载分配
🌈 信号处理方面
信号识别、信号加密、信号去噪、信号增强、雷达信号处理、信号水印嵌入提取、肌电信号、脑电信号、信号配时优化、心电信号、DOA估计、编码译码、变分模态分解、管道泄漏、滤波器、数字信号处理+传输+分析+去噪、数字信号调制、误码率、信号估计、DTMF、信号检测
🌈电力系统方面
微电网优化、无功优化、配电网重构、储能配置、有序充电、MPPT优化、家庭用电
🌈 元胞自动机方面
交通流 人群疏散 病毒扩散 晶体生长 金属腐蚀
🌈 雷达方面
卡尔曼滤波跟踪、航迹关联、航迹融合、SOC估计、阵列优化、NLOS识别
🌈 车间调度
零等待流水车间调度问题NWFSP 、 置换流水车间调度问题PFSP、 混合流水车间调度问题HFSP 、零空闲流水车间调度问题NIFSP、分布式置换流水车间调度问题 DPFSP、阻塞流水车间调度问题BFSP
更多推荐


所有评论(0)