大模型RAG技术全解析:从原理到实践的完整指南
本文介绍了检索增强生成(RAG)技术,该架构通过将大语言模型与外部知识库结合,有效解决了传统LLM的知识封闭、幻觉现象等问题。RAG系统包含检索器和生成器两个核心组件,前者负责查找相关文档,后者基于检索结果生成回答。文章详细阐述了RAG的发展历程、关键技术(包括稀疏检索BM25和向量检索FAISS等)及其应用优势。RAG显著提升了生成内容的准确性和时效性,在问答系统等领域具有重要价值,为企业知识管
RAG是一种将大语言模型与外部知识库结合的生成式AI架构,通过检索相关文档片段提升回答准确性和时效性。文章介绍了RAG的核心组件(检索器和生成器)、发展历程、关键技术(稀疏检索如BM25和向量检索如FAISS),以及向量数据库的应用。RAG解决了大模型的知识封闭、幻觉现象、缺乏可解释性和无法更新知识等问题,在工业界和学术界得到广泛应用。
检索增强生成(Retrieval-Augmented Generation, RAG)是一种将大语言模型与外部知识库相结合的生成式AI架构。传统的大型预训练语言模型(LLM)容易受到训练语料限制,面对超出其知识范围或需要最新信息的查询时可能产生“幻觉”。RAG通过在生成答案前检索相关文档片段,引入新鲜、可信的知识,从而提升回答的准确性和时效性。RAG系统包含两个核心组件:检索器(Retriever)和生成器(Generator)。检索器负责在知识库中查找与用户查询相关的内容,生成器则利用检索到的结果来生成最终回答。这种解耦架构使得LLM能够参考外部知识回答复杂的知识密集型问题,并显著减少模型产生不正确内容的概率。RAG作为一种通用架构,可以将任何LLM与任何内部或外部知识源连接,实现知识的动态更新。它已经成为改进聊天机器人和问答系统可靠性的关键技术,在工业界和学术界得到广泛关注。
在RAG的发展历程中,早期方法(“Naive RAG”)主要在推理阶段引入检索结果,而随着ChatGPT等强大LLM的出现,研究重点转向如何在推理时提供更好的信息。最近的工作开始探索在LLM微调阶段融入检索(“Advanced RAG”),以及模块化地组合检索与生成(“Modular RAG”)。总体而言,RAG通过在生成过程中插入检索步骤,为LLM提供最新的、未存于模型参数中的知识,提升了模型在真实场景中的实用性和可控性。这一框架在开放域问答、对话系统、企业知识问答等领域均有成功应用,为企业将内部数据与强大的生成模型结合提供了可行路径。
典型面试题:
题目 1:什么是RAG架构?它解决了大语言模型的哪些关键问题?
参考答案:
RAG架构(Retrieval-Augmented Generation)是一种将外部知识检索系统与语言生成模型结合的系统架构。在RAG中,用户的查询首先交由**检索器(Retriever)查找与之语义相关的文档片段,随后由生成器(Generator)**在参考这些片段的基础上生成答案。
它主要解决了以下几个大语言模型(LLM)的痛点问题:
● 知识封闭问题:LLM的知识来自于训练语料,难以覆盖最新或长尾知识。
● 幻觉现象(Hallucination):模型会捏造信息,RAG引入外部文档作为生成参考,降低幻觉。
● 缺乏可解释性:RAG生成的内容可溯源至检索文档,提高可审查性。
● 无法更新知识:相比重新训练模型,通过替换知识库,RAG系统知识可随时更新。
题目 2:RAG系统由哪两个核心组件组成?它们如何协作?
参考答案:
-
RAG系统包括两个核心组件:Retriever(检索器):输入查询,输出与之语义相关的文档片段或段落,通常使用稀疏检索(如BM25)或稠密检索(如FAISS)。
-
Generator(生成器):以用户问题 + 检索结果为输入,使用语言模型(如GPT-4、T5等)生成最终回答。
协作流程如下:
● 用户输入问题;
● Retriever在知识库中检索Top-K相关文档;
● 将用户查询与检索文档拼接为prompt输入Generator;
● Generator生成参考答案。
这种结构解耦了知识检索和语言建模两部分,系统可独立优化与替换。
题目 3:为什么RAG能够降低大语言模型的幻觉率?
参考答案:
-
RAG能够显著降低语言模型的幻觉率,原因如下:提供外部知识支撑:生成模型参考的是检索器提供的“真实文档”,生成答案时不再依赖模型内部参数中的有限知识。
-
通过prompt提示进行行为约束:可以在prompt中显式要求模型“仅依据文档内容回答”,防止模型自由发挥。
-
构造透明可解释的答案链路:引入文档作为支撑信息,生成内容更有依据,用户可以追踪信息源,便于验证。
-
强化引用机制:部分系统让模型引用具体片段(如段落编号、URL),迫使模型对来源负责,从机制上压制幻觉。
-
稀疏检索基础(倒排索引、TF-IDF、BM25 等)
=============================
稀疏检索是信息检索的传统方法,利用词项匹配和统计权重来检索相关文档。典型的实现是倒排索引(Inverted Index):为每个词汇维护一个文档列表,从而能高效地根据查询词找到包含这些词的文档集合。检索算法通常使用TF-IDF(词频-逆文档频率)或改进的BM25模型计算文档与查询的相关性。TF-IDF通过计算词语在文档中的频率(TF)以及该词语在整个语料库中出现的稀有程度(IDF)来评估词的重要性。BM25在TF-IDF基础上进一步引入了长度归一化等策略,被认为是一种概率检索模型,它综合考虑词频和逆文档频率,确保常见词和罕见词对相关性排名都产生适当影响。通俗来说,BM25会根据查询词在文档中出现的次数以及该词在所有文档中的稀有程度来打分,从而平衡不同词项的重要性。
在RAG场景中,稀疏检索(如BM25)常作为基准或混合方案的一部分。稀疏方法的优点是精确匹配:对于包含查询关键字的文档可以精确命中,通常具备较高的精度。它对罕见实体或专有名词表现尤其出色,因为这些词在语料中出现频次低,IDF高,匹配时得分会很高。然而,稀疏检索的召回率有限:如果用户查询使用了与文档不同的措辞或同义词,传统方法可能无法匹配,例如查询“汽车”无法直接检索只包含“车辆”的文档。为提升召回,经典技术包括查询扩展(Query Expansion),自动为查询添加同义词或相关词,以覆盖更多文档。另外,在多轮对话中,还需要查询改写来将上下文融入查询(后续详细讨论)。工程实践中,常用的开源搜索引擎(如Elasticsearch、Lucene)都实现了倒排索引和BM25算法,可支持毫秒级查询响应。理解稀疏检索的原理和局限对于比较稀疏 vs. 稠密检索方案、以及设计混合检索策略十分重要。
典型面试题:
题目 1:什么是倒排索引?它在检索系统中起到了什么作用?
参考答案:
倒排索引(Inverted Index)是一种将文档内容进行词项-文档映射的数据结构。它的基本结构为:
● 每个词项(term)对应一个文档列表(postings list),记录该词项在哪些文档中出现。
例如:
term:"AI" → doc1, doc4, doc7term:"Python" → doc2, doc4
在检索过程中,系统只需查询这些倒排列表,迅速定位包含关键词的文档,而无需遍历全文,因此极大提高了检索效率。它是实现BM25、TF-IDF等稀疏方法的基础。
题目 2:什么是BM25模型?与TF-IDF相比它做了哪些改进?
参考答案:
BM25(Best Match 25)是基于概率检索理论的文本相关性评分函数,相比TF-IDF,它考虑了以下几点改进:
| 项目 | TF-IDF | BM25 |
| 词频处理 | 线性增长 | 饱和处理:使用 tf / (tf + k) 控制增长 |
| 文档长度归一 | 无 | 有,避免长文档得分偏高 |
| 调参能力 | 无 | k1, b 两个参数控制词频和长度影响权重 |
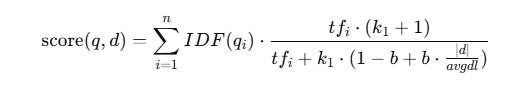
BM25打分公式:

其中:
● tfitf_itfi 是词项在文档中的出现次数;
● ∣d∣|d|∣d∣ 是文档长度;
● avgdlavgdlavgdl 是文档平均长度;
● k1,bk_1, bk1 ,b 为调节参数(一般取 1.2 和 0.75)。
题目 3:稀疏检索的主要优点和缺点分别是什么?
参考答案:
优点:
● 速度快、资源消耗低:倒排索引支持高效检索;
● 精确匹配强:适合短文本、关键词搜索;
● 可解释性强:容易理解得分机制;
● 适配少数据任务:无需大规模训练数据。
缺点:
● 召回率低:对查询词变体不鲁棒(如同义词、错别字);
● 无语义理解:无法处理“意思相同但表达不同”的情况;
● 上下文感知差:不支持段落级语义建模。
因此,在RAG系统中,稀疏检索常作为baseline或与语义检索结合组成混合检索方案。
- 向量检索原理与常用库(ANN、FAISS、Milvus 等)
=================================
向量检索利用向量空间的相似度来查找相关内容,是近年来兴起的检索技术核心。其基础是在语义嵌入(embedding)模型的支持下,将文本、图像等数据表示为高维向量,以便通过向量相似度(如余弦相似度或欧氏距离)找到内容上的邻近项。由于直接精确计算所有向量之间的距离在大规模下计算开销巨大,实际系统通常采用近似最近邻搜索(Approximate Nearest Neighbor, ANN)算法,在保证结果精度接近的同时显著加速检索。常见的ANN算法包括基于向量量化的、基于图的和基于树的多种方法,如球树/ KD-树(适用于低维但高维效果差)、LSH(局部敏感哈希)和HNSW(Hierarchical Navigable Small World 小世界图)等。其中HNSW算法构建分层图结构,实现高维空间中高效的近似最近邻查找,被广泛认为在速度和精度上表现优秀。
为了方便工程应用,出现了多种向量检索库和向量数据库。FAISS(Facebook AI Similarity Search)是Meta开源的高性能向量检索库,支持亿级向量的近似搜索,并针对GPU做了优化。Faiss提供了多种索引策略,例如IVF(倒排文件索引结合聚类)、PQ(乘积量化压缩)等,使得在十亿级别数据上实现了比此前State-of-the-Art快8.5倍的查询速度。Milvus是Zilliz开源的分布式向量数据库,支持向量数据的存储、索引和检索,能够轻松扩展到PB级别数据,并提供类似SQL的查询接口方便集成。目前业界还有如Annoy(Spotify开源,基于随机投影树)、HNSWlib(C++实现的小世界图算法)等库,以及Pinecone、Weaviate、Chroma等商业或开源的向量数据库服务。这些工具的出现简化了向量检索在实际工程中的落地,使开发者无需从零实现复杂的ANN算法,就可以构建大规模语义检索系统。
在RAG系统中,向量检索通常承担从语义索引中检索相关文档片段的任务。相比稀疏检索,向量检索能够找出语义上相似但词表不同的内容,例如查询“首相”也能检索到仅包含“总理”的文本,因为二者在向量空间中距离较近。这极大提高了召回率和语义匹配能力。然而向量检索也有挑战:高维向量索引在存储和查询时可能消耗大量内存和计算,ANN虽然加速但引入了一定近似误差,需要在性能与精度间权衡。常用评估指标如召回率@k可以衡量ANN的结果质量(后续章节详述)。总之,向量检索是RAG的关键支撑技术之一,熟悉常见ANN算法原理和工具(如FAISS、Milvus)的优缺点,有助于在系统设计中做出明智的选择。
典型面试题:
- 什么是近似最近邻(ANN)搜索?为什么需要ANN而不是对所有向量做精确比较?
一、定义:什么是近似最近邻(ANN)搜索?
近似最近邻搜索(Approximate Nearest Neighbor Search,ANN)是一种在高维向量空间中,通过允许一定程度精度损失,来实现高效地查找与给定查询向量最相似的K个向量的算法。
与精确最近邻(Exact Nearest Neighbor)相比,ANN 不保证返回的是“最接近”的项,而是返回“足够接近”的近似项,用来 大幅提升查询效率。
二、为什么需要ANN(而不是精确计算)?
在实际大规模向量检索系统(如RAG、推荐系统、图像搜索)中,ANN 是必要的,其原因如下:
1. 精确搜索在高维空间下成本极高
● 假设有 1亿条 768维向量(典型的BERT输出),每次查询都要计算1亿次768维向量距离(欧氏或余弦),即需进行78亿次乘法和加法操作。
● 即使使用GPU也会因计算瓶颈和内存带宽受限,导致响应时间不能满足线上服务需求(通常要求<100ms)。
2. 向量空间维度高,存在“维度灾难”
● 在高维空间中,“所有点都差不多远”,即数据点分布非常稀疏,精确距离的判别能力下降。
● 此时牺牲部分精度换取效率反而更实际可用。
3. 实际场景对“精确”需求并不刚性
● 在RAG中,目标是找出语义相关的文档,轻微的距离误差对最终答案影响不大;
● ANN返回的文档若包含核心语义信息,即足以供生成器参考。
4. ANN算法支持压缩 + 加速索引
● 如 FAISS 中的 PQ(Product Quantization)、HNSW(小世界图),可以将向量压缩为 1/10 甚至 1/100 大小;
● 支持快速索引、减少内存占用,并且可以在CPU上实现毫秒级响应。
三、典型应用场景
● RAG 检索增强生成系统(如 LangChain、Haystack)
● 推荐系统(物品、用户embedding)
● 图像搜索(图像特征向量)
● 语义搜索(文本embedding)
四、结论总结:
ANN 是一种高效、可扩展的向量搜索方法,能够在允许精度略有损失的前提下,大幅降低计算开销,是目前大规模语义检索(如RAG系统)中必不可少的基础设施之一。
- 请简述FAISS库的特点,以及它如何支持十亿级别向量的快速检索。
一、FAISS 简介
FAISS(Facebook AI Similarity Search)是由 Meta AI(原 Facebook AI Research)开发并开源的高性能向量相似度搜索库,用于在海量高维向量中进行高效的最近邻检索(ANN)。
它是目前工业界和学术界使用最广泛的 ANN 工具之一,支持 CPU 和 GPU 后端,可扩展到 十亿级别的向量数据。
二、FAISS 的核心特点
| 特性 | 描述 |
| 多种索引类型 | 支持 Flat、IVF、PQ、HNSW、OPQ 等不同类型的索引结构 |
| 高维向量支持 | 可处理常见维度如 128、256、768 甚至上千维 |
| 支持 CPU 与 GPU | GPU 加速版本能实现比 CPU 数十倍的性能提升 |
| 可组合索引 | 支持组合式索引,例如 IVF+PQ、OPQ+HNSW 等,提高性能与压缩比 |
| 支持向量压缩 | 通过 PQ(Product Quantization)实现向量压缩,显著降低内存 |
| 开源 | C++ 实现,提供 Python API,易于集成和二次开发 |
三、FAISS 如何支持十亿级别向量的快速检索?
FAISS 通过以下几种关键机制实现了在 十亿级别向量上的高效搜索:
1. 倒排文件索引(IVF,Inverted File Index)
● 将向量集合聚类为若干 centroid(簇中心),如1000个簇。
● 查询时只搜索与查询向量最接近的部分簇(而不是所有向量),显著减少比较次数。
● Top-K 的搜索复杂度从 O(N) 降为 O(N / nlist),即指数级加速。
2. 乘积量化(PQ,Product Quantization)
● 将高维向量划分为多个子空间(如128维 → 8个16维子空间),并在每个子空间内量化为簇中心编号。
● 原始浮点向量变成几个字节(如8字节),压缩率高达10~20倍。
● 加速计算的同时大幅节省内存,支持在普通机器上存储 十亿向量级别的索引。
3. GPU 加速
● FAISS 支持在 NVIDIA GPU 上构建和查询向量索引。
● 使用 CUDA 和 batch 查询技术,检索吞吐量比 CPU 提升 10~50 倍。
● 能够实现在单张 GPU 上对 亿级向量在几十毫秒内完成 Top-K 检索。
4. 分片索引与 mmap
● 支持将大型索引拆分成多个子索引(shards),分别加载处理;
● 支持通过 mmap 映射文件索引,避免一次性加载所有数据到内存;
● 非常适合分布式或资源受限场景。
四、总结与应用场景
FAISS 是当前工业界处理大规模语义检索任务的主流工具,广泛用于:
● RAG 向量数据库(如 LangChain + FAISS + OpenAI)
● 推荐系统向量匹配
● 图像相似度搜索
● 高性能语义搜索引擎(如企业知识库QA系统)
它的 IVF+PQ+GPU 架构是实现低延迟、高并发、低成本大规模检索的关键。
- 向量数据库(如Milvus)相对于传统关系型数据库有什么不同?在RAG系统中如何使用向量数据库?
一、什么是向量数据库?
向量数据库是一种专门用于存储、索引和检索高维向量数据的数据库系统。它主要用于处理文本、图像、音频、视频等非结构化数据在嵌入空间中的相似性搜索问题,支持近似最近邻(ANN)搜索。
代表性向量数据库包括:
● Milvus
● Pinecone
● Weaviate
● Qdrant
● Chroma
二、与传统关系型数据库的本质区别
| 特点 | 向量数据库(如 Milvus) | 关系型数据库(如 MySQL) |
| 数据类型 | 高维向量(如 768维 float) | 表格结构化数据(如 int, varchar) |
| 检索方式 | 相似度检索(ANN, TopK) | 精确/模糊匹配(SQL查询) |
| 目标任务 | 语义搜索、图像匹配、RAG检索 | 事务处理、报表、索引查询 |
| 索引结构 | HNSW、IVF、PQ、Flat | B+ Tree、Hash Index 等 |
| 查询语言 | DSL(向量检索API)或类SQL(如 Milvus SQL) | 标准 SQL |
| 数据规模 | 支持亿级高维向量(量化/压缩) | 通常为百万级表行 |
简言之,传统数据库是用于查询值相等/区间等规则性的结构数据,而向量数据库是用于“模糊语义匹配”的非结构化场景。
三、RAG系统中向量数据库的使用方式
RAG(Retrieval-Augmented Generation)中,向量数据库扮演的是Retriever 的后端索引服务,主要流程如下:
1. 文档入库阶段(Build phase)
● 文档被切分成多个 chunk(如500 token 一段);
● 每个 chunk 用 Embedding 模型(如 BERT、OpenAI Embedding)生成一个高维向量;
● 将文本内容 + 向量 + 元数据(文档ID、时间、分类等)一并存入向量数据库。
2. 检索阶段(Query phase)
● 用户查询问题也通过同一 Embedding 模型转为向量;
● 使用向量数据库执行 Top-K 最近邻搜索(如余弦相似度);
● 返回与问题语义最相关的 Top K 文档块;
● 拼接成 Prompt 提供给生成模型(如 GPT-4)作答。
四、向量数据库的优势与选型建议
优势:
● 支持亿级数据的高速 ANN 检索;
● 内置索引机制(HNSW、IVF、PQ等)灵活切换;
● 支持异步写入、大并发查询;
● 易集成,可通过 HTTP / gRPC / Python SDK 使用;
● 部分支持元数据过滤(例如只检索指定文档类别下的内容);
选型建议:
| 场景 | 推荐数据库 |
| 本地轻量嵌入式 | Chroma, Qdrant |
| 云端 SaaS 集成 | Pinecone, Weaviate |
| 高性能私有部署 | Milvus, Vespa, Zilliz |
五、总结
向量数据库是 RAG 系统的关键底层组件,承担“语义记忆”的角色。它与传统数据库的核心差异在于数据结构、检索方式、应用场景,在构建语义检索、对话问答、内容推荐等场景中发挥巨大作用。
如何系统的学习大模型 AI ?
由于新岗位的生产效率,要优于被取代岗位的生产效率,所以实际上整个社会的生产效率是提升的。
但是具体到个人,只能说是:
“最先掌握AI的人,将会比较晚掌握AI的人有竞争优势”。
这句话,放在计算机、互联网、移动互联网的开局时期,都是一样的道理。
我在一线互联网企业工作十余年里,指导过不少同行后辈。帮助很多人得到了学习和成长。
我意识到有很多经验和知识值得分享给大家,也可以通过我们的能力和经验解答大家在人工智能学习中的很多困惑,所以在工作繁忙的情况下还是坚持各种整理和分享。但苦于知识传播途径有限,很多互联网行业朋友无法获得正确的资料得到学习提升,故此将并将重要的AI大模型资料包括AI大模型入门学习思维导图、精品AI大模型学习书籍手册、视频教程、实战学习等录播视频免费分享出来。
一直在更新,更多的大模型学习和面试资料已经上传带到CSDN的官方了,有需要的朋友可以扫描下方二维码免费领取【保证100%免费】👇👇

01.大模型风口已至:月薪30K+的AI岗正在批量诞生

2025年大模型应用呈现爆发式增长,根据工信部最新数据:
国内大模型相关岗位缺口达47万
初级工程师平均薪资28K(数据来源:BOSS直聘报告)
70%企业存在"能用模型不会调优"的痛点
真实案例:某二本机械专业学员,通过4个月系统学习,成功拿到某AI医疗公司大模型优化岗offer,薪资直接翻3倍!
02.大模型 AI 学习和面试资料
1️⃣ 提示词工程:把ChatGPT从玩具变成生产工具
2️⃣ RAG系统:让大模型精准输出行业知识
3️⃣ 智能体开发:用AutoGPT打造24小时数字员工
📦熬了三个大夜整理的《AI进化工具包》送你:
✔️ 大厂内部LLM落地手册(含58个真实案例)
✔️ 提示词设计模板库(覆盖12大应用场景)
✔️ 私藏学习路径图(0基础到项目实战仅需90天)






第一阶段(10天):初阶应用
该阶段让大家对大模型 AI有一个最前沿的认识,对大模型 AI 的理解超过 95% 的人,可以在相关讨论时发表高级、不跟风、又接地气的见解,别人只会和 AI 聊天,而你能调教 AI,并能用代码将大模型和业务衔接。
- 大模型 AI 能干什么?
- 大模型是怎样获得「智能」的?
- 用好 AI 的核心心法
- 大模型应用业务架构
- 大模型应用技术架构
- 代码示例:向 GPT-3.5 灌入新知识
- 提示工程的意义和核心思想
- Prompt 典型构成
- 指令调优方法论
- 思维链和思维树
- Prompt 攻击和防范
- …
第二阶段(30天):高阶应用
该阶段我们正式进入大模型 AI 进阶实战学习,学会构造私有知识库,扩展 AI 的能力。快速开发一个完整的基于 agent 对话机器人。掌握功能最强的大模型开发框架,抓住最新的技术进展,适合 Python 和 JavaScript 程序员。
- 为什么要做 RAG
- 搭建一个简单的 ChatPDF
- 检索的基础概念
- 什么是向量表示(Embeddings)
- 向量数据库与向量检索
- 基于向量检索的 RAG
- 搭建 RAG 系统的扩展知识
- 混合检索与 RAG-Fusion 简介
- 向量模型本地部署
- …
第三阶段(30天):模型训练
恭喜你,如果学到这里,你基本可以找到一份大模型 AI相关的工作,自己也能训练 GPT 了!通过微调,训练自己的垂直大模型,能独立训练开源多模态大模型,掌握更多技术方案。
到此为止,大概2个月的时间。你已经成为了一名“AI小子”。那么你还想往下探索吗?
- 为什么要做 RAG
- 什么是模型
- 什么是模型训练
- 求解器 & 损失函数简介
- 小实验2:手写一个简单的神经网络并训练它
- 什么是训练/预训练/微调/轻量化微调
- Transformer结构简介
- 轻量化微调
- 实验数据集的构建
- …
第四阶段(20天):商业闭环
对全球大模型从性能、吞吐量、成本等方面有一定的认知,可以在云端和本地等多种环境下部署大模型,找到适合自己的项目/创业方向,做一名被 AI 武装的产品经理。
- 硬件选型
- 带你了解全球大模型
- 使用国产大模型服务
- 搭建 OpenAI 代理
- 热身:基于阿里云 PAI 部署 Stable Diffusion
- 在本地计算机运行大模型
- 大模型的私有化部署
- 基于 vLLM 部署大模型
- 案例:如何优雅地在阿里云私有部署开源大模型
- 部署一套开源 LLM 项目
- 内容安全
- 互联网信息服务算法备案
- …
学习是一个过程,只要学习就会有挑战。天道酬勤,你越努力,就会成为越优秀的自己。
如果你能在15天内完成所有的任务,那你堪称天才。然而,如果你能完成 60-70% 的内容,你就已经开始具备成为一名大模型 AI 的正确特征了。
这份完整版的大模型 AI 学习资料已经上传CSDN,朋友们如果需要可以微信扫描下方CSDN官方认证二维码免费领取【保证100%免费】

更多推荐

所有评论(0)