收藏!大模型入门核心:Transformer架构演进全解析(小白/程序员必看)
大语言模型(LLM)已然成为当前AI领域的技术风口,更是程序员与技术学习者进阶路上的核心必修课。而支撑起GPT、LLaMA等主流大模型的技术根基,正是2017年经典论文《Attention is All You Need》中提出的Transformer架构。对于刚踏入大模型领域的小白来说,搞懂Transformer的核心逻辑及其演进脉络,就相当于抓住了大模型技术的“根”,后续学习才能事半功倍。
大语言模型(LLM)已然成为当前AI领域的技术风口,更是程序员与技术学习者进阶路上的核心必修课。而支撑起GPT、LLaMA等主流大模型的技术根基,正是2017年经典论文《Attention is All You Need》中提出的Transformer架构。对于刚踏入大模型领域的小白来说,搞懂Transformer的核心逻辑及其演进脉络,就相当于抓住了大模型技术的“根”,后续学习才能事半功倍。先来看完整的经典Transformer结构示意图:

经典Transformer架构示意图
和传统的RNN(循环神经网络)、CNN(卷积神经网络)相比,Transformer的核心亮点在于通过自注意力机制,能高效捕捉文本中的长距离依赖关系——这就好比让模型拥有了“全局视野”,能精准读懂上下文的语义关联,这也是大模型能实现自然语言理解的关键所在。不过经过多年迭代,如今主流大模型的架构早已不是最初的经典版本,而是衍生出了一系列优化方案。其中有三大核心改进直接决定了模型性能,小白和程序员务必重点吃透,这是入门大模型的关键门槛:
一、必掌握的Transformer架构演进:三大核心优化方向
1. Decoder-only架构:化繁为简,聚焦生成核心需求
现在我们日常使用的GPT系列、LLaMA、通义千问等主流大模型,几乎都采用了Decoder-only(仅解码器)架构。这种架构是在经典Transformer的基础上做了“减法”:直接保留了解码器模块,同时移除了负责理解输入的编码器以及交叉注意力层。这一改动看似简单,却彻底改变了模型的工作逻辑——让模型不再区分“理解输入”和“生成输出”两个独立阶段,而是以纯自回归的方式,像写文章一样逐词生成文本。
可能有小白会问,那这种架构怎么处理图片、音频等非文本信息呢?其实核心思路很简单:先通过专门的编码器将图像、音频等多模态信息,转换成和文本一样的固定长度“token(令牌)”,再把这些token和文本输入序列拼接在一起,最终在同一个“特征空间”里完成对多模态信息的理解与生成。这种统一化设计不仅大幅降低了模型的复杂度,还提升了模型在不同场景下的适配能力,这也是为什么现在的大模型能同时处理文本、图片等多种信息的原因。
2. Pre-Norm归一化策略:破解深层模型训练难题
早期Transformer的计算流程是“先计算后归一化”:先执行注意力层或前馈层(MLP层)的计算,再进行残差连接,最后才做层归一化(LayerNorm)。但随着模型规模越来越大,层数从最初的十几层增加到现在的上百层甚至两百层,这种流程会出现一个致命问题——梯度在反向传播过程中会逐渐衰减,也就是我们常说的“梯度消失”,导致深层模型根本训练不起来。
而现在主流的Pre-Norm策略直接颠倒了归一化顺序,变成了“先归一化再计算”:第一步先做层归一化稳定数据分布,第二步执行注意力层/前馈层计算,最后进行残差连接。这里的残差连接就像给梯度传播铺了一条“直达通道”,再加上前置的归一化能让数据分布更稳定,两者结合才让百层以上的超大模型能够稳定训练。可以说,Pre-Norm是大模型能实现规模突破的关键保障之一,没有它就没有现在的超大参数量模型。
3. RoPE旋转位置编码:解锁长文本处理能力
文本的顺序信息对语言理解至关重要,比如“我吃苹果”和“苹果吃我”,顺序不同意思完全相反。经典Transformer采用的是“加性位置编码”,就是把位置信息直接加到文本的词向量上,但这种方式在处理超长文本(比如几万字的文档)时,位置信息会逐渐失真,效果很差。
现在大模型普遍采用的RoPE(旋转位置编码),则用了一种更巧妙的方式:将位置信息通过“潜空间旋转”的方式,直接融入到注意力机制的Q(查询)、K(键)向量中。这种设计不仅能精准保留文本的位置关系,还能让模型在处理超长序列时依然保持稳定性能。比如现在很多大模型支持的百万级token上下文窗口,能一次性处理整本书的内容,核心就是得益于RoPE这类先进的位置编码技术。

主流大模型采用的改进型Transformer架构
二、工程化核心:大模型训练与推理的加速秘诀
大模型的性能好坏,不仅取决于架构设计,工程化层面的训练与推理优化同样关键。对于想要落地大模型的程序员来说,了解这些工程化技巧,能更清晰地理解大模型从研发到应用的完整逻辑,避免只懂理论不懂实操的尴尬。

1. 训练策略:Teacher Forcing(教师强制)提升效率
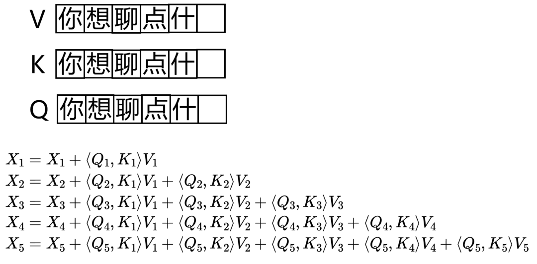
很多小白可能会以为,大模型训练时也是像推理那样逐词生成文本,其实并不是。为了提升训练效率,大模型训练时采用的是Teacher Forcing(教师强制)策略:直接把完整的文本序列一次性输入模型,让模型同时预测每个词对应的下一个词的概率分布。
举个例子,对于“你想聊点什么”这句话,模型会同时学习从“你”预测“想”、从“你想”预测“聊”、从“你想聊”预测“点”等多个任务,一句话就能为模型提供多个监督信号,而且一次前向计算就能完成所有预测,大幅提升了训练速度。不过这里有个关键细节——为了防止模型“作弊”,会用到“因果掩码机制”:遮挡住每个词后面的token,确保模型在预测第k个词的下一个词时,只能用到前面k个词的信息,不能提前看到后面的内容。
需要注意的是,Teacher Forcing最早在RNN中就有应用,但RNN无法一次性完成整个序列的预测,只能逐词推进,而且前一步生成错误会影响后续训练;而Transformer凭借并行计算能力,完美发挥了Teacher Forcing的优势,这也是大模型能快速训练的重要原因之一。
2. 推理策略:增量推理+KVCache解决速度瓶颈
推理阶段的核心痛点是:自注意力层的计算复杂度会随着输入序列长度n呈O(n²)增长,也就是说序列越长,推理速度越慢。比如输入5个token时需要计算25次交互,输入10个token时就需要计算100次交互,这在处理长文本生成时会严重影响体验。
而增量推理(也称增量解码)配合KVCache(键值缓存),就是解决这一问题的核心方案。在自注意力层中,每个token会生成Q(查询)、K(键)、V(值)三个向量,计算注意力分数时需要用到Q和K的交互。当新生成一个token时,前序token的K、V向量其实已经在之前的计算中得到了,只需把这些K、V向量缓存到显存中,不需要重新计算,只需要计算新token的Q向量与所有缓存K向量的交互即可。
通过这种方式,推理时每一步的计算复杂度从O(n²)降低到O(n),大幅提升了长文本生成的实时性。我们现在用大模型聊天时能快速得到回复,背后离不开KVCache技术的支撑。其计算逻辑如下:


三、落地关键:大模型轻量化部署技巧
对于普通开发者和程序员来说,大模型部署的最大障碍就是显存不足。比如一个100B参数的大模型,用32位浮点数存储时,仅参数就需要400GB显存,远超普通GPU的承载能力。而轻量化部署的核心手段就是“模型量化”,再配合分片加载等方案,就能让普通硬件也能运行大模型。
1. 模型量化:用精度换显存,性价比之选
模型量化的核心思路很简单:将高精度的模型参数转换为低精度存储,从而减少显存占用。默认情况下,大模型参数以32位浮点数(FP32)存储,每10亿参数(1B)约占用4GB显存;如果转换成8位整数(Q8),每1B参数仅占用1GB显存,显存占用直接减少75%;如果转换成4位整数(Q4),每1B参数仅占用0.5GB显存,占用量仅为原来的1/8。
具体实现时,会先将模型权重按固定大小分块,记录每块的均值和标准差;存储时用低精度格式保存,计算时再通过缩放系数恢复为近似浮点数参与运算。现在主流的大模型部署框架,比如llama.cpp、TensorRT-LLM、ONNX Runtime等,都支持一键量化,而且量化模型有了标准化的保存格式,在Hugging Face等平台上有大量开源量化模型可供直接使用,小白也能轻松上手。
2. 分片加载:显存不足的折中方案
如果量化后显存依然不足,还可以采用“分片加载”策略:将模型的不同层分别加载到内存和显存中,计算时再按需将需要用到的层调入显存。这种方案的优点是能让超大规模模型在普通硬件上运行,缺点是会增加内存和显存之间的数据传输开销,导致推理速度明显下降。如果是做研究或小范围测试,这种方案完全可行;但如果是生产环境,还是建议尽量提升硬件配置。
3. 量化关键结论:大模型低精度优于小模型高精度
很多小白会担心,量化会降低模型精度,影响效果。这里有个重要结论需要记住:在显存有限的情况下,选择更大的模型搭配较低精度(比如100B Q4),其性能往往优于小模型搭配高精度(比如7B FP16)。这一结论源于大模型的“缩放定律(Scaling Law)”:模型参数量每扩大10倍,误差约降低到原来的0.46倍。也就是说,大模型的规模优势,足以弥补量化带来的精度损失,这也是量化技术能广泛应用的核心原因。

四、大模型最新发展趋势:把握技术方向
掌握了Transformer架构基础后,了解大模型的最新发展趋势,能帮助我们更好地把握学习方向,避免盲目跟风。当前大模型领域最核心的两大趋势,是“Scaling Law驱动的规模扩张”和“Agent驱动的能力延伸”,这也是未来大模型技术落地的核心方向。
1. Scaling Law:大模型的“成长密码”
Scaling Law(缩放定律)是大模型发展的核心指导理论,其核心结论是:模型的误差与参数量(N)、训练数据量(D)之间存在稳定的幂律关系——在对数坐标下,无论是什么类型的任务(文本分类、图像识别等),误差曲线都会收敛到相似的形态。

这条曲线分为三个阶段:① 模型小、数据少时,性能接近随机猜测,此时增加参数量或数据量,性能提升不明显;② 模型和数据规模足够大时,误差会沿平滑的幂律曲线持续下降,此时增加规模就能稳定提升性能;③ 最终逼近一个“不可约误差”极限——这部分误差源于数据集的不完美和任务本身的随机性,比如语言建模中,下一个词本就没有唯一正确答案,再大的模型也无法消除这部分误差。
2020年,OpenAI通过系统性实验证明,Scaling Law在大模型时代依然成立,并给出了具体的经验公式,同时总结出多个对开发者极具价值的结论(小白建议收藏):
- 参数量比架构更重要:总参数量固定时,网络深度、宽度、注意力头数等细节对性能影响极小;
- Batch Size适配策略:模型规模(N)、数据量(D)越大,最优Batch Size也应越大,才能充分利用硬件资源;
- 避免过拟合的法则:模型参数每增加8倍,训练数据只需增加5倍,就能有效避免过拟合;
- 模型优先于数据:算力每增加10亿倍,73%应用于扩大模型规模,27%用于增加数据量,扩大模型规模的收益更高。
这些结论直接推动了大模型的规模扩张:从GPT-1的1.17亿参数,到GPT-4的千亿级参数,能力提升并非源于单点技术突破,而是沿着Scaling Law的幂律曲线稳步前进。不过从GPT-4开始,闭源模型不再公开参数量、训练数据等核心细节,Scaling Law也逐渐成为科技巨头内部的工程指南。

2. Agent:大模型能力的“延伸翅膀”
Agent(智能体)的兴起,核心源于大模型的“In-Context Learning(上下文学习)”能力。早在GPT-2时代,人们就发现了一个神奇现象:未针对特定任务微调的模型,只要在提示词中给出少量任务示例,就能生成高质量结果——这种能力无需更新模型参数,完全在一次前向推理中完成。GPT-3的论文首次系统性验证了这一现象,并指出:模型的上下文学习能力会随着规模增大而显著增强。
这一发现彻底改变了大模型的使用方式:既然模型能在上下文中“学会”新任务,就无需反复微调,只需优化提示词设计即可。Agent的核心思想正是基于此:假设模型能精准理解并遵循上下文规则,只要在提示词中明确说明可用工具、工具功能、调用方式,模型就能在多轮交互中持续遵守约定,完成复杂任务。比如让Agent帮你写报告,它可以自动调用搜索引擎查找最新数据,调用计算器进行数据分析,最后生成完整报告。

在Agent框架中,模型只需生成符合约定格式的文本指令,系统会解析这些指令并执行真实世界操作,再将操作结果写回上下文。其中最流行的ReAct系统,是经典“感知-决策-行动(PDA)”循环的现代化演绎,核心流程如下:
- 感知:从上下文和工具返回结果中获取关键信息;
- 决策:通过内部推理(Thought)反思上一步操作结果,规划下一步具体行动;
- 行动:生成工具调用指令,系统执行后将结果回写上下文。
这一循环的精髓在于“推理-行动”的迭代:每一次工具调用后,模型的推理过程都会成为后续决策的上下文,就像我们在做复杂题时“分步思考”能提升准确率一样。现在业界也会在监督微调阶段引入大量“带推理过程”的数据,进一步强化模型的逻辑连贯性——本质上,Agent的能力依然是上下文学习的延伸,也是未来大模型落地的核心方向之一。
如何学习大模型 AI ?
由于新岗位的生产效率,要优于被取代岗位的生产效率,所以实际上整个社会的生产效率是提升的。
但是具体到个人,只能说是:
“最先掌握AI的人,将会比较晚掌握AI的人有竞争优势”。
这句话,放在计算机、互联网、移动互联网的开局时期,都是一样的道理。
我在一线科技企业深耕十二载,见证过太多因技术卡位而跃迁的案例。那些率先拥抱 AI 的同事,早已在效率与薪资上形成代际优势,我意识到有很多经验和知识值得分享给大家,也可以通过我们的能力和经验解答大家在大模型的学习中的很多困惑。我们整理出这套 AI 大模型突围资料包:
- ✅ 从零到一的 AI 学习路径图
- ✅ 大模型调优实战手册(附医疗/金融等大厂真实案例)
- ✅ 百度/阿里专家闭门录播课
- ✅ 大模型当下最新行业报告
- ✅ 真实大厂面试真题
- ✅ 2025 最新岗位需求图谱
所有资料 ⚡️ ,朋友们如果有需要 《AI大模型入门+进阶学习资源包》,下方扫码获取~
① 全套AI大模型应用开发视频教程
(包含提示工程、RAG、LangChain、Agent、模型微调与部署、DeepSeek等技术点)
② 大模型系统化学习路线
作为学习AI大模型技术的新手,方向至关重要。 正确的学习路线可以为你节省时间,少走弯路;方向不对,努力白费。这里我给大家准备了一份最科学最系统的学习成长路线图和学习规划,带你从零基础入门到精通!
③ 大模型学习书籍&文档
学习AI大模型离不开书籍文档,我精选了一系列大模型技术的书籍和学习文档(电子版),它们由领域内的顶尖专家撰写,内容全面、深入、详尽,为你学习大模型提供坚实的理论基础。
④ AI大模型最新行业报告
2025最新行业报告,针对不同行业的现状、趋势、问题、机会等进行系统地调研和评估,以了解哪些行业更适合引入大模型的技术和应用,以及在哪些方面可以发挥大模型的优势。
⑤ 大模型项目实战&配套源码
学以致用,在项目实战中检验和巩固你所学到的知识,同时为你找工作就业和职业发展打下坚实的基础。
⑥ 大模型大厂面试真题
面试不仅是技术的较量,更需要充分的准备。在你已经掌握了大模型技术之后,就需要开始准备面试,我精心整理了一份大模型面试题库,涵盖当前面试中可能遇到的各种技术问题,让你在面试中游刃有余。

以上资料如何领取?

为什么大家都在学大模型?
最近科技巨头英特尔宣布裁员2万人,传统岗位不断缩减,但AI相关技术岗疯狂扩招,有3-5年经验,大厂薪资就能给到50K*20薪!

不出1年,“有AI项目经验”将成为投递简历的门槛。
风口之下,与其像“温水煮青蛙”一样坐等被行业淘汰,不如先人一步,掌握AI大模型原理+应用技术+项目实操经验,“顺风”翻盘!

这些资料真的有用吗?
这份资料由我和鲁为民博士(北京清华大学学士和美国加州理工学院博士)共同整理,现任上海殷泊信息科技CEO,其创立的MoPaaS云平台获Forrester全球’强劲表现者’认证,服务航天科工、国家电网等1000+企业,以第一作者在IEEE Transactions发表论文50+篇,获NASA JPL火星探测系统强化学习专利等35项中美专利。本套AI大模型课程由清华大学-加州理工双料博士、吴文俊人工智能奖得主鲁为民教授领衔研发。
资料内容涵盖了从入门到进阶的各类视频教程和实战项目,无论你是小白还是有些技术基础的技术人员,这份资料都绝对能帮助你提升薪资待遇,转行大模型岗位。

以上全套大模型资料如何领取?

更多推荐



所有评论(0)