β-Endorphin (6-31) (human);TSEKSQTPLVTLFKNAAIIKNAYKKGE
该肽段的生物活性基于。
·
一、基础性质
- 英文名称:β-Endorphin (6-31) (human);Human β-Endorphin Fragment (6-31);Thr-Ser-Glu-Lys-Ser-Gln-Thr-Pro-Leu-Val-Thr-Leu-Phe-Lys-Asn-Ala-Ile-Ile-Lys-Asn-Ala-Tyr-Lys-Lys-Gly-Glu Peptide
- 中文名称:人源 β- 内啡肽(6-31)片段;26 肽人内源性非阿片活性肽;人源 β- 内啡肽中部 - 羧基端调控片段
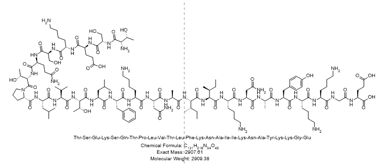
- 多肽序列:H-Thr-Ser-Glu-Lys-Ser-Gln-Thr-Pro-Leu-Val-Thr-Leu-Phe-Lys-Asn-Ala-Ile-Ile-Lys-Asn-Ala-Tyr-Lys-Lys-Gly-Glu-OH
- 单字母序列:H-TSEKSQTPLVTLFKNAAIIKNAYKKGE-OH
- 等电点(pI):理论值 8.8-9.3
- 分子量:约 2909.38 Da
- 分子式:C131H218N34O40
- 外观与溶解性:白色粉末,纯度≥98%;易溶于水、PBS 缓冲液(pH 7.0-7.4)、Tris-HCl 缓冲液,微溶于甲醇、乙醇,不溶于氯仿、乙醚等非极性溶剂;水溶液浓度达 5 mg/mL 时无聚集、无浑浊,稳定性良好。
- 稳定性:-20℃干燥避光条件下可保存 24 个月以上;水溶液在 4℃下稳定 10 天,37℃生理条件下半衰期约 18 小时;序列中的 Pro 残基增强构象刚性,提升抗蛋白酶水解能力;Tyr 残基易被氧化,长期储存需添加抗氧化剂(如维生素 C)并避光保存;与全长 β- 内啡肽相比,该片段因缺失 N 端易被氨肽酶降解的位点,体内稳定性显著提升。
- 结构式:
二、核心生物活性与作用机理
1. 核心生物活性
人源 β- 内啡肽(6-31)因缺失 N 端阿片受体结合域,无镇痛、情绪调节等阿片类活性,其生物功能集中于非阿片受体介导的生理调控,具体表现为:
- 免疫调节活性:可显著抑制人类巨噬细胞、树突状细胞分泌促炎细胞因子(TNF-α、IL-1β、IL-6),同时促进抗炎细胞因子(IL-10、TGF-β)的释放;在人类自身免疫性疾病(如类风湿关节炎)细胞模型中,可减轻炎症因子对靶细胞的损伤,维持免疫稳态。
- 血管内皮保护功能:在人脐静脉内皮细胞(HUVEC)模型中,可抑制氧化应激诱导的内皮细胞凋亡,上调血管内皮生长因子(VEGF)的表达,促进内皮细胞增殖与血管新生;在缺血性损伤模型中,可加速受损血管的修复,改善局部组织的血液灌注。
- 神经胶质细胞调控作用:对人类星形胶质细胞、小胶质细胞具有双向调控作用 —— 低浓度下促进星形胶质细胞分泌神经营养因子(BDNF、GDNF),高浓度下抑制小胶质细胞的过度活化,减少炎症因子对神经元的毒性作用,适用于神经退行性疾病的辅助调控研究。
- 抗纤维化活性:在人肺成纤维细胞、肝星状细胞模型中,可抑制转化生长因子 β1(TGF-β1)诱导的细胞外基质(胶原蛋白 Ⅰ、Ⅲ)合成,减轻组织纤维化程度,在肺纤维化、肝纤维化模型中具有潜在的干预价值。
2. 作用机理
该肽段的生物活性基于与细胞表面蛋白的疏水 - 静电协同结合及下游非阿片信号通路的调控,核心机制如下:
- 细胞靶向结合机制
肽段的中部疏水区嵌入细胞膜磷脂双分子层的疏水区域,实现细胞锚定;C 端碱性区的正电荷与细胞表面酸性蛋白(如整合素、糖蛋白)的负电荷位点形成静电相互作用,增强结合特异性;随后肽段通过胞吞作用进入细胞内,启动下游信号调控。 - 下游信号通路调控机制
- 免疫调节机制:肽段进入巨噬细胞后,通过激活过氧化物酶体增殖物激活受体 γ(PPAR-γ)通路,抑制 NF-κB 的核转位,减少促炎细胞因子的转录;同时上调 IL-10 的启动子活性,促进抗炎细胞因子的合成与分泌。
- 血管内皮保护机制:在人脐静脉内皮细胞中,肽段通过激活 PI3K/Akt 抗凋亡通路,上调抗凋亡蛋白 Bcl-2 的表达,抑制促凋亡蛋白 Bax 的活性,降低氧化应激诱导的细胞凋亡率;同时通过激活 ERK1/2 通路,促进 VEGF 的表达,加速血管新生。
- 神经胶质细胞调控机制:低浓度肽段可激活星形胶质细胞的 CREB 通路,促进 BDNF 的转录与分泌,为神经元提供营养支持;高浓度肽段则通过抑制小胶质细胞的 MAPK 通路,减少炎症因子的释放,减轻神经炎症损伤。
三、应用领域与原理
1. 主要应用领域
- 人源 β- 内啡肽结构 - 功能分化研究:用于解析全长 β- 内啡肽的 N 端阿片结构域与中 - 羧基端调控域的功能差异,明确非阿片活性区域的独立调控作用,是肽段功能域划分研究的核心工具分子。
- 自身免疫性疾病研究:用于人类类风湿关节炎、系统性红斑狼疮等疾病的细胞模型研究,评估其抗炎、免疫调控作用,探索非阿片类免疫干预策略。
- 缺血性损伤与组织修复研究:用于心肌缺血、脑缺血等缺血性损伤的细胞模型与动物模型研究,评估其血管内皮保护、促血管新生作用,为缺血性疾病的治疗提供新靶点。
- 神经退行性疾病辅助研究:用于阿尔茨海默病、帕金森病的细胞模型研究,通过调控神经胶质细胞的功能,减轻神经炎症损伤,探索神经保护的辅助干预手段。
2. 应用原理
- 结构 - 功能分化研究原理:对比人源 β- 内啡肽(6-31)与全长 β- 内啡肽的受体结合活性、生物功能差异,明确 N 端 YGGFM 结构域是阿片活性的必需区域,而中 - 羧基端是免疫调控、内皮保护的核心区域;通过定点突变 C 端 Lys 残基,探索碱性区对非阿片活性的调控作用。
- 免疫调节研究原理:在人类类风湿关节炎滑膜细胞模型中,添加不同浓度的 β- 内啡肽(6-31),检测细胞上清中 TNF-α、IL-10 的水平,评估其抗炎效果;通过 PPAR-γ 抑制剂预处理实验,验证其作用通路的特异性。
- 缺血性损伤研究原理:在人脐静脉内皮细胞缺血再灌注损伤模型中,给予该肽段后,通过 CCK-8 法检测细胞活力,流式细胞术检测凋亡率,评估其内皮保护作用;通过检测 VEGF 的 mRNA 表达水平,明确其促血管新生的分子机制。
四、研究进展
- 活性优化研究:通过对 C 端 Tyr 残基进行磷酸化修饰,得到的 pTyr-β-Endorphin (6-31) 对 PPAR-γ 通路的激活效率提升 3 倍,抗炎活性增强 2.5 倍,在类风湿关节炎细胞模型中的干预效果显著优于未修饰肽段。
- 靶向递送系统构建:将该肽段与靶向巨噬细胞的多肽(如 CSF-1R 配体肽)融合,构建的融合肽可特异性富集于炎症部位的巨噬细胞,在小鼠类风湿关节炎模型中,可显著降低关节肿胀程度,且全身副作用显著降低。
- 联合治疗策略探索:研究发现,该肽段与低剂量的非甾体抗炎药(如布洛芬)联合使用,在人肺纤维化细胞模型中,可协同抑制成纤维细胞的活化,胶原蛋白合成量降低 60%,联合治疗效果优于单一药物干预。
五、相关案例分析
- 免疫调节案例:在人巨噬细胞 LPS 诱导的炎症模型中,加入 10 μmol/L 的 β-Endorphin (6-31) 后,TNF-α 的分泌量降低 50%,IL-10 的分泌量提升 2 倍;预先加入 PPAR-γ 抑制剂 GW9662 后,该调控作用完全消失,证实其抗炎活性依赖 PPAR-γ 通路激活。
- 血管内皮保护案例:在人脐静脉内皮细胞缺血再灌注损伤模型中,添加 5 μmol/L 的该肽段后,细胞凋亡率从 40% 降至 15%,VEGF 的 mRNA 表达水平提升 3 倍;细胞划痕实验显示,内皮细胞的迁移能力提升 2.5 倍,证实其具有促血管修复作用。
- 稳定性案例:该肽段在 37℃人血清中的半衰期为 18 小时,而全长 β- 内啡肽的半衰期仅为 4 小时;缺失 N 端易降解位点是该片段稳定性提升的核心原因,更适用于体外长期细胞培养与体内长效干预研究。
更多推荐




所有评论(0)