【AI课程领学】第九课 · 激活函数(课时6) RReLU:训练时随机斜率的正则化激活;(课时7) ELU:用指数形式让负区间更“柔和”,提升收敛(含与 ReLU/LeakyReLU 对比)
【AI课程领学】第九课 · 激活函数(课时6) RReLU:训练时随机斜率的正则化激活(适合小数据的“带噪激活”)(课时7) ELU:用指数形式让负区间更“柔和”,提升收敛(含与 ReLU/LeakyReLU 对比)
·
【AI课程领学】第九课 · 激活函数(课时6) RReLU:训练时随机斜率的正则化激活(适合小数据的“带噪激活”)(课时7) ELU:用指数形式让负区间更“柔和”,提升收敛(含与 ReLU/LeakyReLU 对比)
【AI课程领学】第九课 · 激活函数(课时6) RReLU:训练时随机斜率的正则化激活(适合小数据的“带噪激活”)(课时7) ELU:用指数形式让负区间更“柔和”,提升收敛(含与 ReLU/LeakyReLU 对比)
文章目录
欢迎铁子们点赞、关注、收藏!
祝大家逢考必过!逢投必中!上岸上岸上岸!upupup
大多数高校硕博生毕业要求需要参加学术会议,发表EI或者SCI检索的学术论文会议论文。详细信息可扫描博文下方二维码 “
学术会议小灵通”或参考学术信息专栏:https://ais.cn/u/mmmiUz
详细免费的AI课程可在这里获取→www.lab4ai.cn
前言
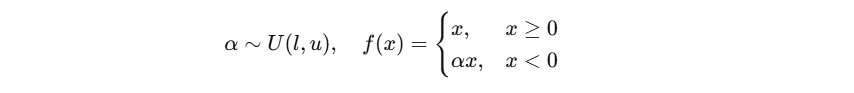
- RReLU(Randomized ReLU)把负区间斜率设为随机变量:
训练时:
- 推理时使用期望 α = l + u 2 α=\frac{l+u}{2} α=2l+u。
它的直觉是:
- 在激活层注入随机性,起到类似 dropout 的正则化作用。
1. PyTorch 使用
import torch.nn as nn
act = nn.RReLU(lower=0.1, upper=0.3)
2. 适用场景与注意点
适用:
- 小数据集、容易过拟合
- 希望引入轻量正则化
注意:
- 并非所有任务都稳定收益
- 与 BN/Dropout 同时使用时需观察收敛
3. 可运行示例:训练/推理行为不同
import torch
import torch.nn as nn
act = nn.RReLU(0.1, 0.3)
x = torch.tensor([-2.0, -1.0, 1.0])
act.train()
print("train:", act(x))
act.eval()
print("eval :", act(x))
前言
ELU(Exponential Linear Unit)希望结合两点:
- 正区间像 ReLU 一样不饱和
- 负区间不为 0,输出更平滑且均值更接近 0
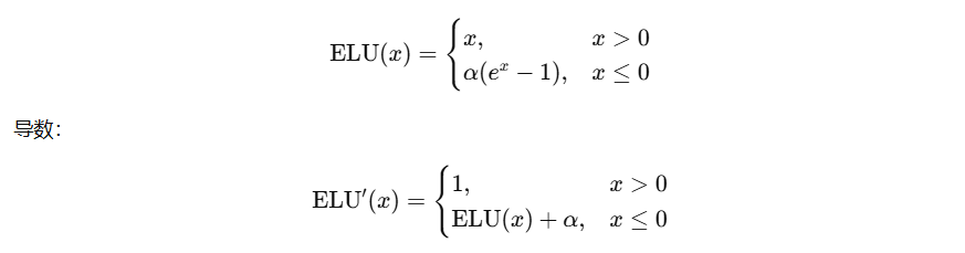
1. 定义

2. 直觉与优缺点
优点:
- 负区间输出为负值,均值更接近 0(有助优化)
- 比 ReLU 更平滑,可能收敛更稳定
- 不容易完全“死掉”
缺点:
- 计算比 ReLU 贵(exp)
- α 需要调(常用 1.0)
3. PyTorch 使用
import torch.nn as nn
act = nn.ELU(alpha=1.0)
4. 画 ELU 曲线
import numpy as np
import matplotlib.pyplot as plt
x = np.linspace(-5, 5, 400)
alpha = 1.0
elu = np.where(x > 0, x, alpha*(np.exp(x)-1))
plt.figure()
plt.plot(x, elu)
plt.title("ELU")
plt.show()
更多推荐


所有评论(0)