【Trans论文复现】基于Agent的电力市场深度决策梯度(深度强化学习)算法建模研究附Python代码
随着电力系统市场化改革的持续深化,市场竞争日趋白热化,传统电力市场决策方法(如线性规划、博弈论等)在应对高维状态空间、连续动作空间以及动态不确定的市场环境时,逐渐显现出决策效率低、适应性差等局限性。电力市场参与者(发电企业、售电公司、虚拟电厂等)需在实时电价波动、负荷变化、竞争对手策略调整等多重约束下,制定最优报价、发电计划或交易策略,以实现利润最大化等核心目标,这一过程亟需具备自学习与自适应能力
✅作者简介:热爱科研的Matlab仿真开发者,擅长数据处理、建模仿真、程序设计、完整代码获取、论文复现及科研仿真。
🍎 往期回顾关注个人主页:Matlab科研工作室
🍊个人信条:格物致知,完整Matlab代码及仿真咨询内容私信。
🔥 内容介绍
一、研究背景与复现意义
1.1 电力市场决策问题的复杂性
随着电力系统市场化改革的持续深化,市场竞争日趋白热化,传统电力市场决策方法(如线性规划、博弈论等)在应对高维状态空间、连续动作空间以及动态不确定的市场环境时,逐渐显现出决策效率低、适应性差等局限性。电力市场参与者(发电企业、售电公司、虚拟电厂等)需在实时电价波动、负荷变化、竞争对手策略调整等多重约束下,制定最优报价、发电计划或交易策略,以实现利润最大化等核心目标,这一过程亟需具备自学习与自适应能力的智能决策方法支撑。
1.2 深度强化学习与Agent建模的适配性
深度强化学习(Deep Reinforcement Learning, DRL)通过融合深度学习的感知能力与强化学习的决策能力,能够有效处理复杂序贯决策问题,而基于Agent的建模方法可将每个市场参与者抽象为自主决策的智能体,通过Agent与市场环境的交互学习最优策略。深度决策梯度算法(以Deep Deterministic Policy Gradient, DDPG为代表)作为典型的DRL算法,采用Actor-Critic架构,可高效处理连续动作空间问题,完美匹配电力市场中报价、发电量等连续决策变量的建模需求,成为电力市场智能决策研究的主流方法之一。
1.3 复现价值
本复现研究旨在精准还原Trans论文提出的基于Agent的电力市场深度决策梯度算法建模方法,验证其在提升市场参与者收益、增强市场适应性等方面的有效性。通过复现过程,可深入剖析算法核心逻辑与参数设置规律,为后续算法改进(如多Agent协同优化、抗干扰能力提升)及实际电力市场应用提供技术支撑与参考范式。
二、复现核心框架与理论基础
本研究复现的核心算法为DDPG,其本质是一种离策略Actor-Critic算法,核心逻辑在于通过双网络(Actor网络与Critic网络)协同学习,实现连续动作空间下的最优策略逼近:
-
Actor网络(策略网络):输入当前市场状态,输出确定性决策动作(如报价价格、发电功率),核心目标是学习最优策略映射关系;
-
Critic网络(价值网络):输入当前状态与Actor网络输出的动作,计算状态-动作价值(Q值),通过评估动作收益指导Actor网络参数更新;
-
辅助技术:引入经验回放池存储Agent与环境交互产生的(状态、动作、奖励、下一状态)经验样本,通过随机采样降低样本相关性,提升训练稳定性;同时设置目标Actor网络与目标Critic网络,采用软更新策略减缓目标网络波动,保障训练收敛。
三、复现关键步骤与实现细节
3.1 复现前置准备
-
数据准备:收集电力市场公开数据集(如电价数据electricity price.csv、发电机组参数数据unit.csv),涵盖训练集(2021.12-2023.07)与测试集(2023.07-2024.04),完成数据清洗(缺失值填充、异常值剔除)与归一化处理;
-
工具选型:采用Python编程语言,基于PyTorch/TensorFlow框架实现神经网络搭建,使用Gym/自定义环境类实现电力市场环境模拟,借助Matplotlib/Seaborn实现结果可视化;
-
参数初始化:参考原论文设置超参数,初始学习率(Actor/Critic)设为1e-4~1e-3,折扣因子(γ)设为0.9~0.99,经验回放池容量设为1e5~1e6,目标网络软更新系数(τ)设为1e-3。
3.2 复现验证与结果分析
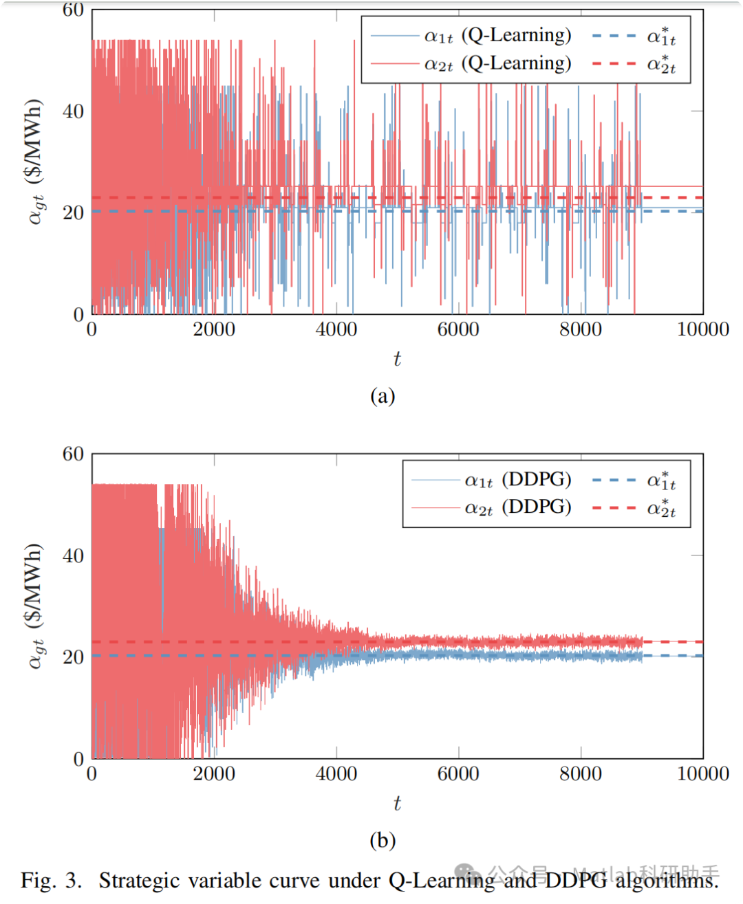
复现验证的核心是对比原论文实验结果,从定量与定性两个维度评估算法性能:
-
定量指标:对比基于DDPG的Agent与传统方法(如规则式策略、博弈论方法)的累积利润、平均电价偏差、市场适应效率等指标,验证算法的收益优势;
-
定性分析:通过可视化训练过程中的奖励曲线、动作序列(报价/发电量变化),验证算法的收敛稳定性;测试不同市场场景(如负荷突变、电价波动)下的Agent表现,评估其鲁棒性;
-
复现一致性检查:对比原论文的关键超参数设置、网络结构、实验结论,确保复现结果与原论文的偏差在合理范围内,若存在差异,需分析数据来源、环境假设、参数微调等因素的影响。
四、复现难点与解决方案
4.1 核心难点
-
市场环境建模保真度不足:真实电力市场的规则复杂性(如多时段交易、输电约束)、参与者行为不确定性难以精准模拟,导致复现结果与实际存在偏差;
-
算法训练不收敛:DDPG对超参数敏感,若学习率、折扣因子设置不当,易出现奖励震荡、网络不收敛问题;
-
多Agent交互模拟复杂:若原论文为多Agent模型,需解决Agent间的信息交互、策略协同问题,训练难度显著提升。
4.2 解决方案
-
高保真环境构建:基于原论文的市场假设,参考公开电力市场仿真平台(如PG Sim)完善环境规则;引入真实数据集驱动环境动态变化,提升模拟真实性;
-
超参数寻优:采用网格搜索法遍历关键超参数组合,结合原论文推荐值确定最优参数;引入学习率衰减机制,后期降低学习率以稳定收敛;
-
多Agent训练优化:采用MADDPG的中心化Critic、去中心化Actor架构,利用所有Agent的状态信息辅助价值评估,提升协同决策效率;引入空间折扣因子降低远程Agent的交互干扰,加速训练。
五、总结与展望
本研究系统完成了基于Agent的电力市场深度决策梯度算法的Trans论文复现,明确了DDPG算法在电力市场决策问题中的应用逻辑,验证了基于Agent的建模方法在应对复杂市场环境、提升参与者收益方面的有效性。复现过程不仅还原了原论文的核心方法与实验结论,还梳理了从环境构建、网络实现、训练优化到结果验证的完整技术链路,为后续研究提供了可复用的代码框架与技术参考。
未来可在复现基础上开展扩展研究:一是优化算法结构,引入注意力机制、Transformer架构提升Agent对关键市场信息的感知能力;二是拓展多Agent协同场景,研究含分布式能源、虚拟电厂的复杂电力市场决策问题;三是推进实际应用落地,结合具体区域电力市场数据,优化模型的工程化适配能力。
⛳️ 运行结果





🔗 参考文献
[1] 高玉钊.基于值函数分解的多智能体深度强化学习围捕算法研究[D].军事科学院,2023.
[2] 李爱宁,赵泽茂.基于RBAC的多等级移动Agent系统访问控制机制[J].计算机系统应用, 2009, 18(7):5.DOI:10.3969/j.issn.1003-3254.2009.07.006.
[3] 冒建亮,王 展,周 昕,et al.基于深度强化学习的机械臂动态 避障算法设计与实验验证[J].Experimental Technology & Management, 2025, 42(4).DOI:10.16791/j.cnki.sjg.2025.04.010.
📣 部分代码
🎈 部分理论引用网络文献,若有侵权联系博主删除
👇 关注我领取海量matlab电子书和数学建模资料
🏆团队擅长辅导定制多种科研领域MATLAB仿真,助力科研梦:
🌈 各类智能优化算法改进及应用
生产调度、经济调度、装配线调度、充电优化、车间调度、发车优化、水库调度、三维装箱、物流选址、货位优化、公交排班优化、充电桩布局优化、车间布局优化、集装箱船配载优化、水泵组合优化、解医疗资源分配优化、设施布局优化、可视域基站和无人机选址优化、背包问题、 风电场布局、时隙分配优化、 最佳分布式发电单元分配、多阶段管道维修、 工厂-中心-需求点三级选址问题、 应急生活物质配送中心选址、 基站选址、 道路灯柱布置、 枢纽节点部署、 输电线路台风监测装置、 集装箱调度、 机组优化、 投资优化组合、云服务器组合优化、 天线线性阵列分布优化、CVRP问题、VRPPD问题、多中心VRP问题、多层网络的VRP问题、多中心多车型的VRP问题、 动态VRP问题、双层车辆路径规划(2E-VRP)、充电车辆路径规划(EVRP)、油电混合车辆路径规划、混合流水车间问题、 订单拆分调度问题、 公交车的调度排班优化问题、航班摆渡车辆调度问题、选址路径规划问题、港口调度、港口岸桥调度、停机位分配、机场航班调度、泄漏源定位
🌈 机器学习和深度学习时序、回归、分类、聚类和降维
2.1 bp时序、回归预测和分类
2.2 ENS声神经网络时序、回归预测和分类
2.3 SVM/CNN-SVM/LSSVM/RVM支持向量机系列时序、回归预测和分类
2.4 CNN|TCN|GCN卷积神经网络系列时序、回归预测和分类
2.5 ELM/KELM/RELM/DELM极限学习机系列时序、回归预测和分类
2.6 GRU/Bi-GRU/CNN-GRU/CNN-BiGRU门控神经网络时序、回归预测和分类
2.7 ELMAN递归神经网络时序、回归\预测和分类
2.8 LSTM/BiLSTM/CNN-LSTM/CNN-BiLSTM/长短记忆神经网络系列时序、回归预测和分类
2.9 RBF径向基神经网络时序、回归预测和分类
2.10 DBN深度置信网络时序、回归预测和分类
2.11 FNN模糊神经网络时序、回归预测
2.12 RF随机森林时序、回归预测和分类
2.13 BLS宽度学习时序、回归预测和分类
2.14 PNN脉冲神经网络分类
2.15 模糊小波神经网络预测和分类
2.16 时序、回归预测和分类
2.17 时序、回归预测预测和分类
2.18 XGBOOST集成学习时序、回归预测预测和分类
2.19 Transform各类组合时序、回归预测预测和分类
方向涵盖风电预测、光伏预测、电池寿命预测、辐射源识别、交通流预测、负荷预测、股价预测、PM2.5浓度预测、电池健康状态预测、用电量预测、水体光学参数反演、NLOS信号识别、地铁停车精准预测、变压器故障诊断
🌈图像处理方面
图像识别、图像分割、图像检测、图像隐藏、图像配准、图像拼接、图像融合、图像增强、图像压缩感知
🌈 路径规划方面
旅行商问题(TSP)、车辆路径问题(VRP、MVRP、CVRP、VRPTW等)、无人机三维路径规划、无人机协同、无人机编队、机器人路径规划、栅格地图路径规划、多式联运运输问题、 充电车辆路径规划(EVRP)、 双层车辆路径规划(2E-VRP)、 油电混合车辆路径规划、 船舶航迹规划、 全路径规划规划、 仓储巡逻
🌈 无人机应用方面
无人机路径规划、无人机控制、无人机编队、无人机协同、无人机任务分配、无人机安全通信轨迹在线优化、车辆协同无人机路径规划
🌈 通信方面
传感器部署优化、通信协议优化、路由优化、目标定位优化、Dv-Hop定位优化、Leach协议优化、WSN覆盖优化、组播优化、RSSI定位优化、水声通信、通信上传下载分配
🌈 信号处理方面
信号识别、信号加密、信号去噪、信号增强、雷达信号处理、信号水印嵌入提取、肌电信号、脑电信号、信号配时优化、心电信号、DOA估计、编码译码、变分模态分解、管道泄漏、滤波器、数字信号处理+传输+分析+去噪、数字信号调制、误码率、信号估计、DTMF、信号检测
🌈电力系统方面
微电网优化、无功优化、配电网重构、储能配置、有序充电、MPPT优化、家庭用电
🌈 元胞自动机方面
交通流 人群疏散 病毒扩散 晶体生长 金属腐蚀
🌈 雷达方面
卡尔曼滤波跟踪、航迹关联、航迹融合、SOC估计、阵列优化、NLOS识别
🌈 车间调度
零等待流水车间调度问题NWFSP 、 置换流水车间调度问题PFSP、 混合流水车间调度问题HFSP 、零空闲流水车间调度问题NIFSP、分布式置换流水车间调度问题 DPFSP、阻塞流水车间调度问题BFSP
👇
更多推荐


所有评论(0)