LLM 基础 - 让 Transformer 模型可视化
大模型技术快速迭代,Transformer架构成为核心。本文解析了Transformer的关键组件:Embedding层处理分词和位置编码;堆叠的Transformer Block包含自注意力机制(Attention)、前馈神经网络(FFN)、RMSNorm标准化和残差连接。重点详解了Attention机制的计算过程,包括Query、Key、Value矩阵的生成和自注意力权重的计算。文章还介绍了D
大模型(Large Language Model ,LLM)技术的迭代犹如技术爆炸,半年前的先进技术如今已成基础的基础。Polo Club 做了 Transformer 模型的动态图解,对可视化地理解 Transformer 的工作原理非常友好。另外,DeepSeek-V3 的论文犹如嘉年华大放送,详细介绍了从模型到基础设施的方方面面,并且还开源了,甚至讲解了生产级的 MoE 实现。

引用
DeepSeek-V3 的论文:
- [1] DeepSeek-V3 Technical Report: https://arxiv.org/pdf/2412.19437
- [2] DeepSeek infra: https://arxiv.org/html/2408.14158v1
- [3] DeepSeek-R1: https://arxiv.org/pdf/2501.12948
DeepSeek 开源:
- [4] 模型: https://github.com/deepseek-ai/DeepSeek-V3
- [5] 3FS: https://github.com/deepseek-ai
- [6] 更多组件: https://github.com/orgs/deepseek-ai/repositories?type=all
总体架构
从上图可以看到,Transformer 模型本质上是一打 Transformer Block(上十个或上百个)。今天的 Transformer 模型基本是 Decoder-only 的,因为更易训练,更易优化性能,以利用 Scaling Laws 。很早就有研究表明,神经网络(Neuro Network, NN)增加深度比增加宽度更有效,因为更深的神经网络类似组合函数,拟合表达能力更强,下一层可以利用上一层的中间结果。
下面讲解上图中的组件:
- Transformer 模型入口处有一个 Embedding 层,它做了分词(Tokenization),Token Embedding,位置编码(Positional Encoding)三件事。分词基于频率识别词缀和词组,例如 “un”、“ing”、“able” 也被识别为单独的 Token 。Token Embedding 将 Token ID 映射为向量,其参数与 Transformer 模型一起训练得到。位置编码,例如 Sinusoidal Encoding ,将 Token 在句子中的相对位置编码,融合进 Token 输入。
- 中间是一打堆叠的 Transformer Block ,这个架构和几年前的卷积神经网络 (Convolutional Neural Network,CNN) 有相通之处。CNN 用于图像视觉处理。其较低层的神经网络学习局部和句法模式,而较高层学习全局语义和推理,像一座“抽象之塔”。Attention 在 Transformer Block 内部,后文详解。
- 最后是 输出层。最后一个 Transformer Block 输出的向量会被乘以一个大矩阵,up-project(见后文)到一个和词汇库一样大的向量,称作 Logits 。随后,Logits 被选择 Top-K 个值最大的 Token 。最后,用 Softmax 将 Logits 值映射成概率,从概率中抽样选择一个 Token 输出。可选地,在进入 Softmax 前,可以将 Logits 除以 Temperature 值。Temperature 越高,则概率被拉平,模型的最终输出具有更高的随机性(高温高熵)。
Embedding 在 Transformer 前已有多年的应用,它将词语转换成具有几何距离的高维向量,这样模型才能处理。而位置编码与 Transformer 一起被广为人知,它的数学即简单又精妙。输出层的 Softmax 方法是神经网络常用的。而 Transformer Block 中包含着大模型的关键,见下文。

Transformer Block
Transformer 模型的核心是 Transformer Block ,其中具体有什么呢?
- 首先是 Attention 模块,Transformer 的魔力来源于此,后文章节将详述。剩下的部分是神经网络,以及一些技巧。
- 其次是 前馈神经网络(Feed-forward network,FFN)。前馈神经网络只是最基础的神经网络的夸张名字。网络结构简单直接:输入层 -> 隐藏层 -> 输出层,隐藏层可以有多层。被称为“前馈”是因为数据只能向前流动。FFN 也常常被称作:多层感知机(Multilayer Perceptron, MLP)、全连接神经网络(Fully Connected Network,FCN)。
- RMSNorm(Root Mean Square Normalization),直译为用均方根来做标准化。神经网络各层间常作标准化(Normalization),以规范激活的取值范围,避免梯度爆炸或消失。RMSNorm 逐渐取代 LayerNorm 成为大模型的主流。RMSNorm 参数更少,更易训练,并且能够保留向量的方向(而不是像 LayerNorm 一样减去平均值)。
- 下一个关键是 残差连接(Residual Connection),出自 ResNet 。在深度神经网络中增加一个跨层的连接,可以缓解“深”带来危害,避免信息消失、错误积累,帮助梯度在深层次中传递。
(图片出自 DeepSeek-V3 论文。)

FFN 是神经网络的基础,早已有数十年的应用。RMSNorm 也很常见,神经网络各层见总是需要标准化,Scaling、Normalization、Standardization 是处理特征的标准方法。残差连接简单有效,在几年前的 ResNet 推出后被广泛采用。而 Attention 才是真正的原创,Attention is all you need 。
引用
- [11] FFN: https://learnopencv.com/understanding-feedforward-neural-networks/
- [12] Normalization: https://2020machinelearning.medium.com/deep-dive-into-deep-learning-layers-rmsnorm-and-batch-normalization-b2423552be9f
- [13] ResNet: https://en.wikipedia.org/wiki/Residual_neural_network
Attention
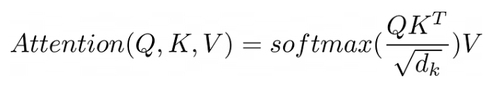
Attention 是 Transformer 的关键。下图是注意力(Attention)的公式。

原公式的信息密度很高,下面用代码把它展开成更普通的形式,然后逐条讲解每个组件。
// InputMatrix 的每一行是一个输入 Token 的 embedding 向量// 行数是 Token 的总数Q = InputMatrix * WeightMatrix_QK = InputMatrix * WeightMatrix_KV = InputMatrix * WeightMatrix_V// Attention 的公式Attention = softmax((InputMatrix * WeightMatrix_Q * WeightMatrix_K^T * InputMatrix^T) / sqrt(d_k)) * (InputMatrix * WeightMatrix_V)
下面逐项讲解公式中的组件:
- 输入矩阵(InputMatrix):Transformer 以 Token 作为输入,每个 Token 表示为一个向量(Embedding)。一次文本输入可达数十至百万 Token ,Token 向量有数百至千维。Token 向量以行表示,一行行叠起来组成输入矩阵。(有的文章中,Token 向量是以列表示的,你会看到 Attention 公式变成 Q^T * K ,Q = WeightMatrix_Q * InputMatrix ,不影响结果。)
- Q = InputMatrix * WeightMatrix_Q:Q 缩写 Query。在计算 Attention 前,输入(InputMatrix)被事先乘以一个权重 WeightMatrix_Q ,得到 Q 。用权重处理输入是常用手法,K、V 也由此得到。K 缩写 Key,V 缩写 Value。
- QK^T:方形矩阵,维度是 Token 的总数(非常巨大),矩阵的元素是浮点数值(不是向量)。展开后其形式是 InputMatrix * M * InputMatrix^T 。矩阵 (i,j) 位置是 Token i 和 Token j 的点积(加权重)。形象的含义是文本输入(一串 Token)自己看向自己(相乘)。这是 “Self-attention” 的由来,“自注意力”。
- Sqrt(d_k):d_k 是 Token 向量的维数。Sqrt(d_k) 常被称作 “Scaling factor”。假设 Q 和 K 中的元素符合正态分布 N(0,1),QK^T 会将方差增加到 d_k 。为了使结果的方差回到 1 ,需要除以 Scaling factor —— sqrt(d_k) 。
- Softmax:它是常用于概率的标准化(Normalization)公式,按行作用于输入矩阵。经过 softmax ,一行中的元素之和变为 1,这一行变得像一组概率。QK^T 经过 softmax 处理,变成了 Token i 看向 Token j 的概率(Self-attention)。Softmax 公式用 e 求指数,因为概率与指数有天然联系,可以看指数分布下的 MTBF 。
- *V:经过上面,softmax(QK^T/sqrt(d_k)) 得到了 Self-attention 的概率。概率还需要乘以输入的值,才能得到同一量纲的输出。V 就是输入的值(加权重),所以叫 Value 。
总结起来,Attention 可看作给 Token 输入(InputMatrix)加了权,权重是 Self-attention 。注意 Q、K、V 的权重是右乘,加权作用于单个 Token 向量内。而 Self-attention 的权重是左乘,加权作用于多个 Token 间,使 Token 混合。
此外,Attention 还有一些额外要点:
- 多头(Multi-head):Transformer Block 中的 Attention 层是 Multi-head Attention 。即这层中同时在跑多个 Attention 模型,每个被称为一个“头”,各自拥有独立的参数,总头数有十几到几十。“多头”的术语可能源自图像处理(如 CNN),处理 RGB 像素至少需要三个通道三个头。
- Masking(掩码):如果 Transformer 支持 1M Token 的上下文,那么 Attention 理论上在处理 1M * 1M 维度的矩阵。但实际上,见 KV Cache 一节,Attention 的计算实现是一个 Token 一个 Token 进行的。如果用户输入是 1000 个 Token,那么在计算到第 900 个 Token 时(Prefill),后面的 100 个 Token 需要填零。这是 Masking 的第一重含义。用户输入加输出大概填不满 1M 长度的上下文,那么这些填不满的部分也需要填零。这是 Masking 的第二重含义。零在 softmax 计算时,并不能转换成零概率(e^0=1)。为了概率零,需要将输入从零改成负无穷。这是 Masking 的第三重含义。
引用
- [14] 深入理解 Attention 机制 P2: https://medium.com/@funcry/in-depth-understanding-of-attention-mechanism-part-ii-scaled-dot-product-attention-and-its-7743804e610e
Attention 的几何形象
Attention 其实有非常生动且符合直觉的几何形象。在有了上面的基础之后,下面更深入地解释 Attention 在做什么:
- Embedding:这是 Attention 的输入。Embedding 将 Token 转换为向量,开始进行 Attention 计算。这些向量是有几何含义的。两个向量的夹角小、点积(Dot product)大,表示对应的 Token 的含义接近。向量相加,能够混合含义生成新的 Token,如 king + woman = queen 。
- Q = InputMatrix * WeightMatrix_Q:Embedding 的 Token 向量没有直接参与 Attention 计算,而是先乘以 Q 的权重矩阵。把 WeightMatrix_Q 的每一列想象成另一组 Embedding 向量,它们是尺子。其与 Token 向量相乘,是在测量 Token 与尺子有多相近。输出 Q ,则是以这组尺子为基准坐标,重建出来的 Token 。WeightMatrix_K 同理。
- 位置编码:这里以 RoPE 举例,简化来讲,它将 Token 向量旋转了一个角度。Token 在句子中的位置越靠后,旋转角度越大。两个 Token 的距离越远,旋转角度之差越大。在句子中相隔同样距离的两个 Token,无论位置,旋转角度之差总是相同的。角度差越小,点积越大。这样,位置编码使相邻的 Token 得到更高的 Attention 分数。
- QK^T:这是把 Token 两两互相求点积,点积就是 Attention 分数(之后通过 sqrt(d) 和 softmax 做标准化)。那么,两个 Token 向量的夹角越近,含义越近,在句子中的位置越近,就会拥有更大的 Attention 分数。
- *V:Attention 计算最后将 Attention 分数乘以 V ,这是在将 V 各行所代表的 Token 向量进行混合。如果这一行的 Token 对另一 Token 有更高的 Attention 分数,那么后者混合时的权重更高。Attention 最终的输出中,原 Token 向量变成了——自己 + 它所“关注”的句子上下文。
(图中忽略了 sqrt(d)、softmax 等用于 Normalization 的部分。)

有了几何解释,可以发现,Attention 分数本质是在计算 Token 向量间的两两相似性。如果 没有 位置编码,那么 Attention 将变成对 Token 是 顺序无关的(Permutation Invariant)。因此,位置编码才必须要被引入。

KV Cache
Attention 的另一巨大优势在于计算。如果 Transformer 支持 1M Token 的上下文,那么 Attention 理论上在处理 1M * 1M 维度的矩阵相乘。但实际上,Attention 可以实现成一个 Token 一个 Token 增量、递进地计算。下一个 Token 利用上一个 Token 的计算结果,即 KV Cache 。
下图链接中,作者制作了可视化的动态图,非常有助于理解 KV Cache 的计算过程。可以看到:
- 计算 Token 2 时,需要用到 Value Token 1~2,Key Token 1~2,Query Token 2 。
- 计算 Token 3 时,需要用到 Value Token 1~3,Key Token 1~3,Query Token 3 。Value Token 1~2 和 Key Token 1~2 可复用 Token 2 的计算。
- 计算 Token 4 时,需要用到 Value Token 1~4,Key Token 1~4,Query Token 4 。Value Token 1~3 和 Key Token 1~3 可复用 Token 3 的计算。
(KV Cache 动画:https://medium.com/@joaolages/kv-caching-explained-276520203249 )

计算下一个 Token 时,总是需要全量的 Key Token 和 Value Token,它们可以 递进地复用 上一轮 Token 的计算结果,因而适合存入 Cache ,这是 KV Cache 的由来。而 Query 仅需当前 Token 的,不需要全量,因而没有 Q Cache 。
- 可以看到,用户输入的 上下文越长,Token 越多,所需的 KV Cache 成比例地越大,成本越高。这解释了为什么 ChatGPT 或同类产品在 UI 设计上,倾向于引导用户开始全新的对话。
注意,KV Cache 依赖于之前计算过的 Token 。如果上下文中间的 Token 换了一个,后面的 KV Cache 就不能复用了。这是因为 Transformer 有很多中间层,中间层的 Transformer Block 也有自己的 Attention 和 KV Cache 。中间层的 Token 来自上一层的 Attention 。Attention 的概率加权是跨 Token 的,历史 Token 的值会造成当前 Token 的值的不同。
- 因此,KV Cache 常作为 Prefix Cache 实现。Prefix(之前的对话历史)一致,KV Cache 才可复用。
- 在 Agent 设计中,System Prompt 总是放在对话开头,内容总是一样。它们的 KV Cache 可以跨对话、跨用户地被复用。
由于 KV Cache ,在使用 Transformer 进行推理(而非训练)时,常常将其分为 Prefll 阶段 和 Decode 阶段。Prefill 阶段将用户输入的文本输入 Transformer,旨在生成 KV Cache ,因而被称作“预填充”(Prefill)。Decode 阶段发生在 Prefill 完成后,Transformer 开始根据用户输入的文本预测后面的文字,产生输出。
- Prefill 和 Decode 阶段有不用的计算特性。Prefill 阶段,用户输入已知,系统设计旨在最大化并行,瓶颈常在于 GPU 计算能力。而 Decode 阶段只能线性地一个一个 Token 地预测,但 KV Cache 需要全部缓存,系统的瓶颈常在于 内存(显存)。
引用
- [15] Mooncake / Kimi 的 Prefill / Decode 分离设计:https://arxiv.org/pdf/2407.00079
- [16] Cursor 关于 Prompt processing(Prefill阶段)和 Generation(Decode阶段)的成本计算 : https://cursor.com/blog/llama-inference#a-primer-in-transformer-math
Multi-Head Latent Attention (MLA)
下面介绍一下 DeepSeek-V3 论文中的 Multi-Head Latent Attention(MLA)。MLA 的“魔法”是通过 down-projection 压缩来减少 KV Cache 占用,从而提升推理性能。而测试表明这种压缩对推理表现的影响不大。
下图公式中,
- 蓝字方框中的向量被 KV Cache 缓存。
- h_t 表示 Token 向量(embedding),它是 Attention 的输入。
- W^D* 矩阵表示 down-projection 矩阵,W^U* 矩阵表示 up-projection 矩阵。
- k、q、v 分别指 Attention 中 K、Q、V 的向量。
- k_t,i 中,t 表示第 t 个 Token,i 表示第 i 个头(Multi-head)。
- c* 是 MLA 的引入的 latent 向量。即经过压缩的、隐藏在中间步骤的向量。
- *R 表示 RoPE 编码,用于编码 Token 在句子中的位置信息。
(图片出自 DeepSeek-V3 论文。)
下面逐条讲解 MLA 的各组件:
- 先看 图中右半边,不同于普通 Attention 直接用 h_t 计算 K、V,MLA 首先将 h_t 给 down-project 到 c_t^KV 。c_t^KV 被缓存,而不是分别缓存 K、V ,也不用为每个头缓存一份。这样减少了 KV Cache 的使用。随后,c_t^KV 被 up-project 还原出 Attention 计算所需的 K、V ,并且多头。
- 再看 图中左半边,Q 的处理类似,也是先将 h_t 给 down-project 到 c_t^Q ,然后再 up-project 还原出 Attention 计算所需的 Q 向量。注意 Q 是不需要 KV Cache 缓存的。
- 观察图中 带有 R 的部分,MLA 还为 K、Q 向量增加了 RoPE 位置编码,k_t^R 、q_t,i^R 。最终输入 Attention 的向量由 up-project 出的向量和 RoPE 编码后的向量拼接而成。注意 RoPE 编码的向量长度只有前者的一半。而且 k_t^R 没有多头,减少 KV Cache 使用。其技巧类似 MQA ,所有头共享 K 。
- 最终 K、Q、V 输入标准的 Multi-Head Attention 进行计算。
可以看到,节省 KV Cache 的关键在于 down-projection 压缩。而 RoPE 位置编码被划分到独立路径特殊处理。
上文的 down-projection 压缩的技巧出现在大模型领域的多个方面,也被称作 Low-rank Compression ,与存储领域的“压缩”很不一样。例如:
- 应用1:LoRA 是大模型常用的微调技术,微调后的模型可以表示为 h = W0 * x + ∆W * x = W0 * x + BA * x 。模型本身的矩阵 W0 和参数更新 ∆W 维数巨大,更新成本高昂。但 ∆W 可以表达为两个较小的矩阵相乘 B * A 。B 的列数和 A 的行数可取任意较小的维数,使得 B 和 A 的参数量之和远小于 ∆W 。这是微调比训练成本更低的原因。
- 应用2:MLP Expansion/Compression 指多层神经网络的中间层升高维度或降低维度。例如,输入向量的维数是 768 ,但中间层的维数是 3072 ,最后输出又回到 768 维。将神经网络表达成矩阵形式,相当于输入向量首先乘以一个 up-projection 矩阵升维,进行计算,然后在输出时乘以一个 down-projection 矩阵降低还原到原维数。神经网络内部的高维数为存储知识、表达非线性提供了容量。这个技巧被用于 Transformer Block 的 FFN 层。
引用
- [17] Deepseek技术解读(1)-彻底理解 MLA: https://zhuanlan.zhihu.com/p/16730036197
- [18] LoRA 论文: https://arxiv.org/abs/2106.09685
关于 MLA 更深入的问题
上面讲解了 MLA 的工作原理,随后,可以引出一些关于 MLA 的更深入的问题:
为什么 RoPE 与 K、Q down-projection 需要 分开计算?
- 可以这样理解,回到 Attention 章节的公式,QK^T = InputMatrix * WeightMatrix_Q * WeightMatrix_K^T * InputMatrix^T 。其中 WeightMatrix_Q * WeightMatrix_K^T 可以事先 融合 成一个矩阵 M 以简化计算。并且 M 无论对第几个 Token,都是不变的。但如果中间插入了 RoPE,其对位置敏感,就导致 M 没有固定的值了,无法简化计算。
- 用 论文中的解释 为:RoPE 与低秩 KV 不兼容,RoPE 对 Q 和 K 都是位置敏感的,如果为 k_t^C 应用 RoPE ,那么 W^UK 将与位置敏感的 RoPE 矩阵耦合,导致 W^UK 无法被吸收到 W^UQ 中。
Q 不需要 KV Cache,但为什么 Q 也需要 down-project 到 c_t^Q ?
- 可以这样理解,DeepSeek-V3 的 h_t 向量维度是 7168,参与 Attention 计算的 Q 向量维度是 1536 。Naive 的方案是用矩阵 W 乘以 h_t 以降维,W 需要 7168 * 1536 维度,非常大。而 DeepSeek 的方案中,W 被替换为 W^DQ * W^UQ ,先降维再升维,中间 c 向量的维度是 512 。那么 W^DQ 矩阵的维度是 7168 * 512 ,W^UQ 矩阵的维度是 512 * 1536 。两者维度之和远小于 W 的 7168 * 1536 ,参数量大幅减小。这是经典的 Low-rank Compression 技巧。
- 论文中的解释 很精简:使用 Low-rank Compression 减少训练中所需的 activation memory 。
普通 Transformer 只需要在开头做一次位置编码,但为什么 MLA 需要在 每个 Attention 层 都做 RoPE ?
- 老式的 Transformer 使用的是 Absolute Positional Encoding(Sinusoidal Encoding),这里称其为 APE 。APE 在 Transformer 开头编码一次,随着残差连接流过整个模型。而更新的模型如 Llama 则使用 RoPE 编码,RoPE 需要在每个 Attention 计算前都应用一遍,是 RoPE 论文如此设计。MLA 也是如此。
- 另一方面,如前文提到,RoPE 与 down-projection 变换 不兼容。因而也需要在计算 Attention 前反复重新应用 RoPE ,且 RoPE 的计算与 K、V 的 down-projection 路径是解耦的。
输入 InputMatrix 应该 先应用 RoPE 位置编码,还是应该先应用 WeightMatrix_Q 得到 Q ?(同理 WeightMatrix_K)
- 与 APE 应用于 Transformer 开头、WeightMatrix_Q 之前不同,RoPE 要求应用在 WeightMatrix_Q 之后,RoPE 论文如此设计。前者是对 Token 向量加上一个 Position 向量,而 RoPE 是乘上旋转矩阵。如果 RoPE 不应用在 WeightMatrix_Q 之后,旋转所带来的 Q、K 间的 几何角度 就会被 WeightMatrix_Q 破坏。
为什么 Q、K 需要应用 RoPE 位置编码,而 V 不需要 ?
- 使用 RoPE 是为了让 Q、K 按照句子中的位置 形成角度差,以计算 Attention 分数。而 V 用于保存 Token 原始信息,它是被用来乘以 Attention 分数的,没有必要再用 RoPE 进行旋转。
- APE 与 RoPE 不同,APE 在 Transformer 开头应用位置编码,导致所有 K、Q、V 都含有位置编码。而 RoPE 则 只应用到 Q、K 上,见 RoPE 论文。
RoPE 中,旋转角度具有周期性,会导致距离较远的 Token 向量反而得到相近的角度吗,即“撞周期”?
- 这需要看 RoPE 的公式,见引用部分。RoPE 并不是简单地把 Token 向量旋转了一个角度,而是 Token 向量首先被分成一系列 2D 分量,每个 2D 分量都按不同的速度旋转。对于 Token 位置,低维分量旋转快,高维分量旋转慢,犹如时钟的秒、分、小时指针。单个分量的旋转有周期性,但完整的 Token 就很难撞周期了。
- 低维分量旋转快,高维分量旋转慢。这使得 Token 向量的低维分量关注句子的局部信息,而高维分量关注句子的全局语义。Embedding 本身并不要求高低维分量有不同,但 Transformer 的 Embedding 是和 Transformer 一起训练出来的。这使得 Token 向量可以分化对句子远近的学习。
(RoPE 的公式,图片出自 RoPE 论文。)

引用
- [4] 位置编码详解: https://medium.com/thedeephub/positional-encoding-explained-a-deep-dive-into-transformer-pe-65cfe8cfe10b
- [19] RoPE 论文:https://arxiv.org/abs/2104.09864
Mixture of Experts (MoE)
DeepSeek 论文中还详细讲解了生产级的 Mixture-of-Experts (MoE) 如何实现。MoE 已经是新一代大模型的标配,能够支持更加巨大的参数和稀疏激活。在 MoE 中,Transformer Block 的 FFE 层被替换为 MoE 层:
- 不同于单个稠密的 FFE 层,MoE 将 FFE 拆分 成许多更小的 FFE 模块,称作 “专家”。专家可以同时激活,计算时专家并行(Expert Parallelism)。
- 对于一个输入 Token,只有部分专家被激活。这是“稀疏”性的所在,相比巨大的总体参数量,训练和推理的成本大幅减少。
- 一些专家总是被激活,它们被称为 共享专家。
- MoE 引入了 路由(Router),它是 MoE 的关键。路由需要保证负载均衡,为 Token 选择亲和的专家,甚至考虑设备和网络开销。
DeepSeek-V3 的每层 MoE 拥有 256 个专家,输入 Token 将激活 8 个专家以及共享专家,各专家的处理结果被合并输出。
( DeepSeek MoE 架构 ,出自 DeepSeek-V3 论文。)

MoE 是如何进行路由的呢?见下图公式:
- u_t 表示输入 Token ,h_t’ 表示 MoE 的输出。
- 每个专家拥有一个 质心向量(Centroid),记作 e_i 。质心向量与输入 Token 的相似度代表输入与专家的亲和成都。亲和度最高的 Top-K 个专家被激活,称作门控 g_i,t 。
- 质心向量是和专家被一起训练出来的。实际的门控还需要应对负载偏斜,添修正值和对 负载不均衡 的惩罚。见 DeepSeek-V3 论文的公式 (16) ~ (20)。
- 由上可以看到,路由能够被表达成矩阵运算加上激活函数(Sigmoid)。也就是说,路由模块也是一个(非常小的)神经网络,专家质心是其可以训练的参数,出口可以用 Softmax 来抽样激活专家。
- 在 h_t’ 的公式中,专家的输出被直接相加获得结果。FFN_i^(s) 是共享专家,它们没有门控。此外,输入 u_t 也被相加,这是 残差连接。
MoE 在如何使专家负载均衡上常常是难点。Expert Collapse(少数专家获得大部分令牌)、Expert Starvation(某些专家训练不足),是路由训练的常见问题。另外也可以发现,MoE 有利于减少激活数量、减少计算、专家并行,但并不能直接减少内存消耗,因为专家都需要被加载。
( DeepSeek MoE 的公式 ,出自 DeepSeek-V3 论文。)

为什么对 FFN 层使用 MoE ,而不是去切分 Attention 层呢?一方面,FFN 层一个一个处理 Token ,更易切分,而 Attention 在处理 Token 对。另一方面,FFN 层占据了 Transformer 的大部分参数,远比 Attention 多。
( DeepSeek MoE 的参数数量 ,链接:https://mp.weixin.qq.com/s/WXrgxV3LgYYvRLPTVzLkjw )

引用
- [20] Deepseek技术解读(3)-MoE的演进之路: https://zhuanlan.zhihu.com/p/18565423596
- [21] DeepSeek-V3/R1推理效率分析: https://mp.weixin.qq.com/s/WXrgxV3LgYYvRLPTVzLkjw
总结
全文完。到这里,我们介绍了 Transformer 的基础知识,从模型架构、神经网络层、Attention、到 KV Cache ,也介绍了更深入的 MLA 和 MoE 。DeepSeek 论文详细介绍了大模型从模型到基础设施的方方面面,非常值得阅读。而 Polo Club 的可视化 Transformer 可以动态交互,非常方便学习。
最后
我在一线科技企业深耕十二载,见证过太多因技术卡位而跃迁的案例。那些率先拥抱 AI 的同事,早已在效率与薪资上形成代际优势,我意识到有很多经验和知识值得分享给大家,也可以通过我们的能力和经验解答大家在大模型的学习中的很多困惑。
我整理出这套 AI 大模型突围资料包:
- ✅AI大模型学习路线图
- ✅Agent行业报告
- ✅100集大模型视频教程
- ✅大模型书籍PDF
- ✅DeepSeek教程
- ✅AI产品经理入门资料
完整的大模型学习和面试资料已经上传带到CSDN的官方了,有需要的朋友可以扫描下方二维码免费领取【保证100%免费】👇👇

为什么说现在普通人就业/升职加薪的首选是AI大模型?
人工智能技术的爆发式增长,正以不可逆转之势重塑就业市场版图。从DeepSeek等国产大模型引发的科技圈热议,到全国两会关于AI产业发展的政策聚焦,再到招聘会上排起的长队,AI的热度已从技术领域渗透到就业市场的每一个角落。

智联招聘的最新数据给出了最直观的印证:2025年2月,AI领域求职人数同比增幅突破200% ,远超其他行业平均水平;整个人工智能行业的求职增速达到33.4%,位居各行业榜首,其中人工智能工程师岗位的求职热度更是飙升69.6%。
AI产业的快速扩张,也让人才供需矛盾愈发突出。麦肯锡报告明确预测,到2030年中国AI专业人才需求将达600万人,人才缺口可能高达400万人,这一缺口不仅存在于核心技术领域,更蔓延至产业应用的各个环节。


资料包有什么?
①从入门到精通的全套视频教程⑤⑥
包含提示词工程、RAG、Agent等技术点
② AI大模型学习路线图(还有视频解说)
全过程AI大模型学习路线

③学习电子书籍和技术文档
市面上的大模型书籍确实太多了,这些是我精选出来的

④各大厂大模型面试题目详解

⑤ 这些资料真的有用吗?
这份资料由我和鲁为民博士共同整理,鲁为民博士先后获得了北京清华大学学士和美国加州理工学院博士学位,在包括IEEE Transactions等学术期刊和诸多国际会议上发表了超过50篇学术论文、取得了多项美国和中国发明专利,同时还斩获了吴文俊人工智能科学技术奖。目前我正在和鲁博士共同进行人工智能的研究。
所有的视频教程由智泊AI老师录制,且资料与智泊AI共享,相互补充。这份学习大礼包应该算是现在最全面的大模型学习资料了。
资料内容涵盖了从入门到进阶的各类视频教程和实战项目,无论你是小白还是有些技术基础的,这份资料都绝对能帮助你提升薪资待遇,转行大模型岗位。


智泊AI始终秉持着“让每个人平等享受到优质教育资源”的育人理念,通过动态追踪大模型开发、数据标注伦理等前沿技术趋势,构建起"前沿课程+智能实训+精准就业"的高效培养体系。
课堂上不光教理论,还带着学员做了十多个真实项目。学员要亲自上手搞数据清洗、模型调优这些硬核操作,把课本知识变成真本事!


如果说你是以下人群中的其中一类,都可以来智泊AI学习人工智能,找到高薪工作,一次小小的“投资”换来的是终身受益!
应届毕业生:无工作经验但想要系统学习AI大模型技术,期待通过实战项目掌握核心技术。
零基础转型:非技术背景但关注AI应用场景,计划通过低代码工具实现“AI+行业”跨界。
业务赋能 突破瓶颈:传统开发者(Java/前端等)学习Transformer架构与LangChain框架,向AI全栈工程师转型。
👉获取方式:
😝有需要的小伙伴,可以保存图片到wx扫描二v码免费领取【保证100%免费】🆓**

更多推荐



所有评论(0)