大模型RL算法全攻略:从PPO到SAPO,带你掌握强化学习核心技术!
文章系统梳理大模型强化学习算法演进:从经典PPO开始,到GRPO舍弃Value Model降低开销,DAPO改进训练效率与稳定性,GSPO提升序列级别增强MoE训练稳定性,再到SAPO用soft gate实现平滑过渡。解释了大模型训练需先进行SFT及RL的重要性,展示了各算法技术特点与优势,是掌握大模型强化学习的必学内容。
本文面向已了解强化学习中策略梯度**(policy gradient)、优势函数(advantage)、**重要性采样(importance sampling)等概念的读者,重点对大模型强化学习主流算法做一条线的梳理与比较。
强化学习 (RL, Reinforcement Learning) 已成为大模型后训练必不可少的环节。本篇将介绍 PPO, GRPO, DAPO, GSPO, SAPO 等大模型主流强化学习算法,在此之前,我先简短回答几个问题,让大家对强化学习在大模型训练中有更直观、全面的认识:
1. 一般情况下,强化学习训练前为何要先进行监督微调(SFT, Supervised Finetuning)?
2. 为什****么强化学习训练在大模型领域是重要的?
首先,大模型在前期会使用大量文本进行自监督(self-supervised)预训练(文字接龙),这个阶段决定了模型能力的上限,模型在过程掌握大量知识,但缺乏指令遵循能力,此时,直接进行 RL 训练会导致大部分采样样本没有奖励信号,训练效率低下,为提高训练效率,SFT 训练能快速提升模型指令遵循的能力,提高 RL 阶段的训练效率。SFT 相当于 RL 训练前的 warm start。
这时大家会好奇,既然 SFT 能提升指令遵循能力,为什么不直接使用 SFT 就完事了,非要加入 RL训练呢?
这是因为 SFT 训练大模型容易导致过拟合,以数学推理任务为例,SFT 会直接强迫模型输出分布与标准解题过程一致,这可能导致模型仅学会了 “模仿” 解题过程的输出风格,但没有学会真正的数学解题能力。另一方面,SFT 训练并非渐进式的,以数学推理任务为例,训练初期,若训练样本中包含难度较高的数学问答样本,模型因推理能力有限,会倾向去 “背题(memorize)” 而非 “理解题目”,这类样本产生的梯度会严重损害模型泛化能力;反观 RL 训练,使用渐进学习策略,训练样本通过模型采样生成,这能保证训练样本 (prompt + response) 与模型分布间差距不大,模型能理解当前能力所及的题目,而不是去 “背题”。
具象一点说,SFT 更像是老师给学生“灌输”知识,学生能在短时间内学会一套解题套路,但模型尚未将这些知识完全内化成能力。RL 则更像是学生在老师布置的题库上不断做题、订正和反思:解题方法是模型自己采样出来的,分布始终贴着模型当前能力,从而在“做题—反馈—调整”的循环中,逐步把知识沉淀为真正的能力。
下面我将按照技术发展脉络,依序介绍大模型主流强化学习方法。从最早的 PPO 出发,依次经过 GRPO、DAPO、GSPO,再到最新的 SAPO,每一个方法都在前一代技术的基础上改进与演化。
01
PPO
旧策略采样 + clip 约束的新策略更新。
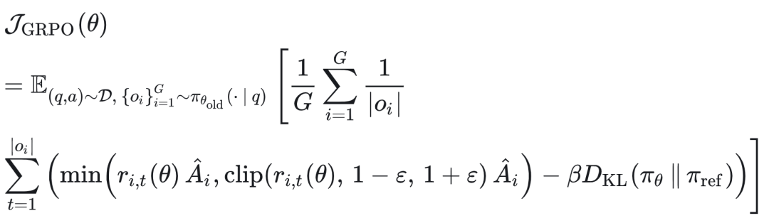
PPO 是经典的强化学习算法,通过旧策略采样轨迹来估计新策略的梯度,这种方法必须保证新、旧策略分布差距不大,否则,估计新策略的梯度会失准,会使用hard-clipping技巧,避免新、旧策略分布差距过大,PPO公式如下:

其中,
为序列的Advantage;
,
分别为新、旧策略。
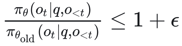
随 importance ratio
的变化如下图,当 Advantage>0 时,策略梯度会迫使 importance ratio变大,即提高当前token类别的输出概率,当 importance ratio 大于1+ϵ 时,策略梯度为0,避免新、旧策略分布差异过大;Advantage<0 时,同理可推。

PPO 训练流程如下:
1. 采样轨迹 (Rollout):通过模型生成当前批次 prompt 的 response;
2. 奖励计算 (Reward):对生成的 response 进行 sequence-level reward 计算(可通过 Reward model 预测或基于规则的方式计算奖励);
3. 计算Value:Value Model 估计每个response token的价值 (Value),即截止到当前response token,未来生成完整个response的期望奖励回报估计;
4. 计算token-level advantage:通过 GAE (Generalized Advantage Estimation,算法如下) 分配 advantage 给每个 token,形成 token-level 的监督信号;

-
Value Model 梯度更新;
-
策略梯度更新。
02
GRPO
丢掉 Value Model,通过采样同一 prompt 下的样本组来估计 advantage。

PPO与GRPO的对比,GRPO舍弃了Value Model,通过采样来估计 empirical-based advantage,降低资源开销。
PPO 存在以下几点缺点:
1. 需同时训练 Value Model,造成额外计算与资源开销;
2. Advantage 估计依赖 Value Model,导致训练稳定性受到影响:PPO 的 token-level advantage 估计来自 Value Model 的预测值,因此,Value Model 的训练品质会直接影响 advantage 的准确性。一旦 Value Model 的估计不稳定,就会使得策略模型训练变得高度不稳定。
GRPO 巧妙避开Value Model的估计,其核心想法是通过多次轨迹采样来估计 advantage。给定一条prompt,GRPO算法会采样该条 prompt 的G条轨迹
,并计算对应的奖励
,GRPO 直接使用 empirical-based advantage
(这个advantage会平均分配给response的每个token)。GRPO 的目标函数如下:

GRPO 保留了 KL divergence项,避免模型因reward hacking导致模型崩塌。
这份完整版的大模型 AI 学习和面试资料已经上传CSDN,朋友们如果需要可以微信扫描下方CSDN官方认证二维码免费领取【保证100%免费】

03
DAPO
在 GRPO 的框架上,通过不对称 clip、动态采样、token-level loss 等技巧缓解训练效率和稳定性问题。
DAPO是字节跳动提出针对GRPO的一系列改进方法,分为以下几个方面:
1. Clip Higher:GRPO存在Entropy Collapse问题,即训练早期模型输出分布的Entropy快速下降,这会抑制模型探索能力 (exploration) ,导致empirical-based advantage计算为0,降低训练效率。Entropy Collapse源于GRPO的 clip 设计:
考虑Advantage>0情况,由于PPO算法只会在
情况下,才会提高
的概率,因此,当
接近0时,
提升幅度十分有限;相反,若
较大,
提升幅度将相当可观,结果就是:原本概率大的 token 反而越容易被进一步放大,而那些原本概率很小但 advantage 为正的 token 几乎得不到提升,从而明显削弱了模型的探索能力。通过提高 clip 的上界,有效缓解了 Entropy Collapse 的发生。
**2. Dynamic Sampling:GRPO存在训练效率低的问题,主要原因是模型看到太简单(全对)或太难(全错)的样本,以至于采样出来的轨迹advantage全为0,没有策略梯度,因此,**训练过程会滤除全对或全错的样本。

3. Token-Level Policy Gradient Loss:GRPO训练会将sequence-level advantage平均分配给每个response token,这导致长推理序列中,每个response token被分配到的advantage相当少,策略梯度强度非常弱,因此,论文提出****Token-Level Policy Gradient Loss,让同个mini-batch内,每个response token的advantage权重相同。

**4. Overlong Reward Shaping:传统方法会将过长的 response 截断,这些被截断的样本也会参与到奖励计算,造成 reward noise,导致训练不稳定,**通过超长过滤策略 (Overlong Filtering),对被截断的样本进行 loss 屏蔽,提高训练稳定性,另外,为避免模型生成过长的response,会在原有奖励基础上,加入length-aware penalty (公式如下),惩罚长度过长的样本:


Qwen2.5-32B模型微调后在AIME测试集上准确率,以及在 RL 训练过程中【采用/未采用】Clip-Higher 策略时,模型生成概率的entropy变化。

Qwen2.5-32B模型微调后在AIME测试集上准确率,以及其生成概率的entropy变化,对比【采用/未采用】Overlong Reward Shaping策略的情况。

【采用/未采用】Dynamic Sampling 策略的对比。
04
GSPO
把 importance ratio 提升到 sequence 级别,在 MoE 模型上能明显提升稳定性。
GSPO是阿里巴巴提出针对GRPO 训练不稳定且效率低的改善方法,GSPO 将token级别的advantage与importance ratio改为sequence级别,GSPO中,sequence-level important ratio 定义为:

目标函数为:

下面简短说明GSPO为什么比 GRPO更有优势:
**1. 梯度更稳定:GRPO与GSPO的策略梯度公式如下,可以明显看到,**GRPO的策略梯度方向受到了 importance ratio 的扭曲,这会影响策略梯度更新的稳定性与效率,反观GSPO每个token的策略梯度权重相等,importance ratio仅决定策略梯度的强弱,不决定方向。

2. MOE训练更稳定:MoE 模型训练难度大,每次策略梯度更新都可能改变激活的专家,从而导致同个序列的 token-level importance ratio 出现剧烈震荡,阻碍模型有效收敛。论文以微调 Qwen3-30B-A3B-Base 为例,每次策略梯度更新平均会激活约 10% 的新专家。GSPO 通过约束 sequence-level importance ratio,在 MoE 训练会更具优势,因为后训练阶段,MoE 的每个专家都具备一定的语言建模能力,这保证了即使 token-level importance ratio 波动剧烈,整体的 sequence-level importance ratio 仍能保持相对稳定,因此 GSPO 更有利于MoE 模型训练的效率与稳定性。

由 Qwen3-30B-A3B-Base 冷启动微调所得模型的训练曲线。 GSPO 的训练效率明显高于 GRPO。
05
SAPO
用 soft gate 代替硬 clip,在 GSPO 与 GRPO 之间连续平滑过渡,兼顾稳定性与效率。
SAPO对GSPO做了进一步优化,GSPO使用sequence-level hard-clipping机制,这导致部分序列因sequence-level importance ratio过大,而被clip掉,以致整条序列的策略梯度为 0,影响训练效率。SAPO将hard-clipping改为soft gate函数
,避免了策略梯度为 0 的问题。SAPO目标函数为:

其中,
,σ 为sigmoid函数。
SAPO的策略梯度为:

右下图为Advantage>0 情况下,importance ratio ri,t 与 wi,t 间的变化,结合SAPO策略梯度公式可观察:
-
策略梯度强度随着ri,t(θ)远离 ,呈现平滑递减,对比hard-clipping方法,在ri,t(θ) >1+ϵ时,策略梯度直接为 0;
-
随着温度 τ 上升,策略梯度递减速度增加,SAPO使用不同的
其实在控制positive / negative advantage token 的策略梯度强度;

advantage>0 情况下的比较。左图展示目标函数随 importance ratio 的变化曲线;右图展示对应的梯度权重随 importance ratio 变化的曲线。
总结来说,SAPO有两个主要创新点:
1. soft gate 取代 hard-clipping:提高训练稳定性与效率;
2. 正负token非对称温度 (
):由于 negative advantage token 倾向提高所有非当前token类别概率,导致许多无关token类别概率增加,引发训练不稳定,因此,设定
旨在降低negative advantage token的影响,提高训练稳定性。
SAPO同时具有GSPO与GRPO的优势,论文证明当轨迹满足以下条件:
(A1) Small-step/on-policy:要求 token-level importance ratio ri,t(θ)≈1
(A2) 序列内低离散性:令
,
要求
很小。
SAPO可近似为smooth gate版本的 GSPO

因此,SAPO 同时具有 sequence-level 与 token-level 特性。在 (A1)–(A2) 条件满足时,其目标函数与 GSPO 相近;而在条件不满足时,其行为退化为 GRPO。同时,SAPO 通过 soft gate 在 on-policy 与 off-policy 策略间进行连续化的权重调整,以避免硬式切换造成的非平滑策略梯度,从而增强整个优化过程的稳定性。

对 Qwen3-30BA3B-Base 模型进行不同 RL 方法下的训练与验证表现。 SAPO 的学习过程始终稳定,最终性能也更高;相比之下,GSPO 与 GRPO-R2 都在训练早期出现崩塌现象。
06
总结
PPO, GRPO, DAPO, GSPO, SAPO 可以视作一条面向大模型强化学习微调的算法演进链:PPO 作为经典强化学习算法,在旧策略采样、clip 约束小步更新的框架下,让大模型可以稳定做策略梯度;GRPO 通过同一 prompt 下的样本组来估计 empirical advantage,省去了 Value Model 的训练开销;DAPO 在 GRPO 的基础上加入不对称 clip、动态采样、token-level policy loss 与长度奖励等技术,显著提升长推理序列的训练效率与稳定性;GSPO 将 importance ratio 与 advantage 提升到 sequence 级别,缓解 MoE 等大模型训练中token-level importance ratio剧烈波动带来的不稳定;在此之上,SAPO 以 soft gate 取代 hard-clipping,并通过正负 advantage 不同温度,在 sequence-level 与 token-level、on-policy 与 off-policy 之间实现自适应折中,兼顾了训练稳定性与效率。
如何学习AI大模型?
大模型时代,火爆出圈的LLM大模型让程序员们开始重新评估自己的本领。 “AI会取代那些行业?”“谁的饭碗又将不保了?”等问题热议不断。
不如成为「掌握AI工具的技术人」,毕竟AI时代,谁先尝试,谁就能占得先机!
想正式转到一些新兴的 AI 行业,不仅需要系统的学习AI大模型。同时也要跟已有的技能结合,辅助编程提效,或上手实操应用,增加自己的职场竞争力。
但是LLM相关的内容很多,现在网上的老课程老教材关于LLM又太少。所以现在小白入门就只能靠自学,学习成本和门槛很高
那么针对所有自学遇到困难的同学们,我帮大家系统梳理大模型学习脉络,将这份 LLM大模型资料 分享出来:包括LLM大模型书籍、640套大模型行业报告、LLM大模型学习视频、LLM大模型学习路线、开源大模型学习教程等, 😝有需要的小伙伴,可以 扫描下方二维码领取🆓↓↓↓

学习路线

第一阶段: 从大模型系统设计入手,讲解大模型的主要方法;
第二阶段: 在通过大模型提示词工程从Prompts角度入手更好发挥模型的作用;
第三阶段: 大模型平台应用开发借助阿里云PAI平台构建电商领域虚拟试衣系统;
第四阶段: 大模型知识库应用开发以LangChain框架为例,构建物流行业咨询智能问答系统;
第五阶段: 大模型微调开发借助以大健康、新零售、新媒体领域构建适合当前领域大模型;
第六阶段: 以SD多模态大模型为主,搭建了文生图小程序案例;
第七阶段: 以大模型平台应用与开发为主,通过星火大模型,文心大模型等成熟大模型构建大模型行业应用。

👉学会后的收获:👈
• 基于大模型全栈工程实现(前端、后端、产品经理、设计、数据分析等),通过这门课可获得不同能力;
• 能够利用大模型解决相关实际项目需求: 大数据时代,越来越多的企业和机构需要处理海量数据,利用大模型技术可以更好地处理这些数据,提高数据分析和决策的准确性。因此,掌握大模型应用开发技能,可以让程序员更好地应对实际项目需求;
• 基于大模型和企业数据AI应用开发,实现大模型理论、掌握GPU算力、硬件、LangChain开发框架和项目实战技能, 学会Fine-tuning垂直训练大模型(数据准备、数据蒸馏、大模型部署)一站式掌握;
• 能够完成时下热门大模型垂直领域模型训练能力,提高程序员的编码能力: 大模型应用开发需要掌握机器学习算法、深度学习框架等技术,这些技术的掌握可以提高程序员的编码能力和分析能力,让程序员更加熟练地编写高质量的代码。

1.AI大模型学习路线图
2.100套AI大模型商业化落地方案
3.100集大模型视频教程
4.200本大模型PDF书籍
5.LLM面试题合集
6.AI产品经理资源合集
👉获取方式:
😝有需要的小伙伴,可以保存图片到wx扫描二v码免费领取【保证100%免费】🆓

更多推荐



所有评论(0)