java-springboot基于人脸识别的课堂签到系统 Java-SpringBoot人脸识别智慧课堂考勤平台 SpringBoot+Vue人脸比对教学签到与学情追踪系统计算机毕业设计
摘要:本文介绍了一个基于Java-SpringBoot的人脸识别课堂签到系统,采用B/S架构,整合Vue3前端和百度AI人脸识别API,实现高效准确的课堂考勤管理。系统具备用户注册、课程管理、人脸签到(支持离线缓存)、学习进度跟踪等功能,通过SpringBoot+MyBatis-Plus+MySQL技术栈构建,解决了传统纸质点名效率低、易代签等问题。文章详细阐述了系统需求分析、技术可行性、经济可行
java-springboot基于人脸识别的课堂签到系统84244701计算机毕业设计(配套有源码 程序 mysql数据库 论文)
本套源码可以在文本联xi,先看具体系统功能演示视频领取,可分享源码参考。
排队签到、代签冒名、纸质点名……传统课堂考勤耗时又难溯源。这套“java-springboot基于人脸识别的课堂签到系统”把摄像头变成“电子班长”,SpringBoot+MyBatis-Plus+MySQL做底层,Vue3驱动前端,B/S架构让部署像刷新网页一样简单;集成百度AI人脸识别API,1秒完成活体检测+人脸比对,99.5%准确率,支持离线缓存,断网也能先采后传。
功能全景速览:
-
用户:注册/登录、个人中心、修改密码、头像、账号、姓名、性别、联系方式
-
教师:工号、姓名、性别、头像、联系电话
-
文件类型与文件信息:编号、名称、类型、封面、附件、登记时间、简介
-
课程类型:名称、图片
-
课程信息:编号、名称、类型、封面、学分、上课时间、详情、教师、点击/收藏数
-
选课信息:选课编号、课程、类型、封面、学分、选课时间、教师、用户
-
退课信息:选课编号、课程、类型、封面、学分、退课时间、教师、用户
-
课堂签到:课程、类型、签到时间、签到情况、教师、用户、现场照片
-
学习进度:课程、类型、封面、用户、进度百分比、学习时间、完成情况、教师
-
请假信息:课程、封面、用户、请假天数、时间、原因、教师、审核状态、回复
-
公告信息:标题、简介、分类、发布人、点击/点赞/踩/收藏、图文内容
-
收藏:对课程、文件一键收藏,支持标签
-
系统:token、配置、关于我们、系统简介、公告分类
一句话收束:从“选课”到“签到”再到“请假销假”,系统把课堂全流程搬上云端,让教师一键掌握实到率,让学生告别排队,真正用AI守住课堂秩序。
注:以上是纯课题毕业设计功能介绍,并非实际开发完成,最终开发完成的毕业设计程序以下面的的环境软件、功能图和界面为准。
系统所需要的环境软件:idea、eclipse+mysql5.7、8.0+Navicat+JDK1.8+tomcat7.0
第3章 系统分析
系统分析是软件开发的关键。但在实际工作中却往往容易被人们忽视或误解。其实需求分析在软件开发过程中起着重要作用,它不仅为软件产品提供了一个基本框架和基础结构,而且还能够提高软件开发效率及质量。大多数软件的故障都是由于需求分析错误造成的,因为需求分析可以分析用户的业务,并根据用户的需求进行定制分析。
3.1 需求分析
需求分析,也称为软件需求分析、系统需求分析或需求分析工程,是指开发人员经过充分的研究和分析,准确地理解用户和项目在功能、性能、可靠性等方面的具体需求,并将用户的非正式需求表述转化为确定系统必须执行的需求的完整定义的过程。
功能需求分析是系统设计的前提,它要求开发者和用户定义开发什么样的体系和系统需要什么样的功能。本文主要介绍了人脸识别的课堂签到系统。该系统为用户提供了更安全、更高效、更便捷的服务途径。本系统有三个角色:管理员、用户和教师,要求具备以下功能:
(1)用户注册登录系统首页,点击个人中心可以对个人中心、修改密码、选课信息、退课信息、课堂签到、学习进度、请假信息、我的收藏等进行操作;
(2)教师注册登录,实现对文件信息管理、课程信息管理、选课信息管理、退课信息管理、课堂签到管理、学习进度管理、请假信息管理、系统管理、我的信息等进行操作;
(3)管理员通过后台管理界面,实现对用户、教师管理、文件类型管理、文件信息管理、课程类型管理、选课信息管理、退课信息管理、课堂签到管理、学习进度管理、请假信息管理、系统管理、我的信息等功能的操作;
3.2 系统可行性分析
可行性分析是指通过比较项目的主要内容和支撑条件,如市场需求、资源供应、环境影响等,预测项目建成后可能产生的经济效益、社会和环境影响,为项目决策提供依据的综合性系统分析方法。可行性研究报告编制的质量直接影响着投资决策的成,而可行性研究报告编制程序又决定了可行性研究报告能否得到有效执行。因此,必须重视可行性研究工作,提高其编制水平。可行性分析应当具有预见性、公正性、可靠性和科学性。
3.2.1 技术可行性分析
本系统是为用户提供更加安全、高效、便捷的学员课堂签到管理方式,本系统需要运用到Java、MySQL、springboot、B/S结构等技术,这些技术在国内外已经非常成熟,在大学期间也有所涉及,相关的知识和工具在网络上也可以查到,再加上老师的指导,在技术上的难题可以得到解决。
3.2.2 经济可行性分析
该系统的主题是基于springboot的人脸识别的课堂签到系统的设计与实现。开发所需的软件资源是Eclipse。我们可以在它的网站上安装一个免费的版本,这对我们的开发和使用是足够好的。数据库就是MySQL数据库。是开源是免费的,服务器使用Tomcat服务器,浏览器使用日常IE浏览器,springboot框架是开源的。经过可行性评估,软件资源支出符合经济可行性。硬件方面,配备齐全的笔记本电脑作为工具在经济上是可行的。
3.3 系统用例分析
人脸识别的课堂签到系统综合网络空间开发设计要求。目的是将传统管理方式转换为在网上管理,完成学员课堂签到管理的方便快捷、安全性高、交易规范做了保障,目标明确。人脸识别的课堂签到系统可以将功能划分为管理员功能、教师功能和用户功能。
(1)管理员关键功能包含用户、教师管理、文件类型管理、文件信息管理、课程类型管理、选课信息管理、退课信息管理、课堂签到管理、学习进度管理、请假信息管理、系统管理、我的信息等进行管理。管理员用例如下:

图3-1 管理员用例图
(2)教师关键功能包含文件信息管理、课程信息管理、选课信息管理、退课信息管理、课堂签到管理、学习进度管理、请假信息管理、系统管理、我的信息等进行管理。队干部用例如下:

图3-2 教师用例图
(3)用户关键功能包含个人中心、修改密码、选课信息、退课信息、课堂签到、学习进度、请假信息、我的收藏等进行管理。学员用例如下:

图3-3 用户用例图
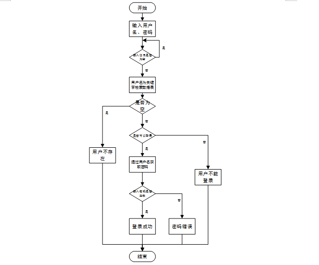
3.4.1 用户登录流程
要想利用这个软件来进行系统的安全管理,首先需要登录到该软件中。如图3-4所示。

图3-4登录流程图
3.4.2 添加信息流程
管理员可以添加信息,用户添加可以自己权限内的信息,输入信息后,要想利用这个软件来进行系统的安全管理,首先需要登录到该软件中。添加信息流程如图3-5所示。

图3-5添加信息流程图
3.4.3 修改信息流程
管理员可以修改学员课堂签到信息,用户可以修改自己权限内的信息,首先进入修改信息界面,输入需要修改信息,在系统进行判定为正确和合规后修改成功,并将数据更新至数据库。信息不合法则修改失败,重新输入。修改信息流程图如图3-6所示。

图3-6修改信息流程图
3.4.4 删除信息流程
管理员可以删除学员课堂签到信息,点击删除按钮,系统会提示是否删除信息,点击确定,则信息被删除,数据库中的信息随之删除,删除信息流程图如图3-7所示。

图3-7 删除信息流程图
3.5本章小结
基于人脸识别的课堂签到系统从市场、技术、经济、功能等方面分析了系统的功能需求,可以满足用户的学员课堂签到管理需求,帮助用户安全、高效地找到合适的学员课堂签到信息,因此有必要对其进行课题研究。
第4章 系统设计
系统设计是将被设计对象划分为单个模块进行构建,各个模块相互支持,相互制约,它们的组合是一个完整的系统。通过系统设计,可以最大限度地满足系统的预期目标,明确软件开发的目的。
4.1 系统基本结构设计
本次系统采用springboot框架集进行开发,springboot框架是一款企业界主流的软件开发框架,其简化了开发流程,大大缩减了软件开发所需的时间提高了软件的响应速度。系统总体结构图如图4-1所示。

数据库结构设计的好坏直接影响到人脸识别的课堂签到系统的效率和实现的效果。本系统的数据库采用MySQL数据库,MySQL是一种开放源代码的关系型数据库管理系统,使用最常见的数据库管理语言SQL进行数据库管理。
4.2.1 数据库E-R图设计
根据功能需求来对系统的e-r图来进行分解得到几种实体,在系统中将“用户、退课信息、学习进度、课堂签到、公告信息、配置文件”等作为实体,它们的局部E-R如图4-2所示。

图4-2实体属性图
第5章 系统实现
系统实现章节的主要内容主要是将系统分析和系统设计方案进行实现,按照各个系统角色进行功能介绍,系统实现就是一个真正开始编写的阶段,将前面的分析结果以及设计方案进行实现,最终做出一个符合用户需求的软件系统。
5.1系统功能实现
5.1.1系统首页页面
当人们打开系统的网址后,首先看到的就是首页界面。在这里,人们能够看到系统的导航条,通过导航条导航进入各功能展示页面进行操作。系统首页界面如图5-1所示:

图5-1 系统首页界面
文件信息:在文件信息页面的输入栏中输入文件名称进行查询,可以查看到文件详细信息,用户可根据需要进行下载操作;文件信息页面如图5-2所示:

图5-2文件信息详细页面
课程信息:在课程信息页面的输入栏中输入课程名称进行查询,可以查看到课程详细信息,可根据需要进行选课或收藏操作;课程信息页面如图5-3所示:

图5-3课程信息详细页面
5.1.2个人中心
个人中心:在个人中心页面可以对个人中心、修改密码、选课信息、退课信息、课堂签到、学习进度、请假信息、我的收藏等功能进行操作;如图5-4所示:

图5-4个人中心界面
5.2后台模块实现
在登录流程中,用户首先在Vue前端界面输入用户名和密码。这些信息通过HTTP请求发送到Java后端。后端接收请求,通过与MySQL数据库交互验证用户凭证。如果认证成功,后端会返回给前端,允许用户访问系统。这个过程涵盖了从用户输入到系统验证和响应的全过程。如图5-5所示。

图5-5后台登录界面
5.2.1管理员功能实现
管理员进入主页面,主要功能包括对用户、教师管理、文件类型管理、文件信息管理、课程类型管理、选课信息管理、退课信息管理、课堂签到管理、学习进度管理、请假信息管理、系统管理、我的信息等进行操作。管理员主页面如图5-6示:

图5-6管理员主界面
用户功能在视图层(view层)进行交互,比如点击“搜索、新增或删除用户表单。这些用户表单动作被视图层捕获并作为请求发送给相应的控制器层(controller层)。控制器接收到这些请求后,调用服务层(service层)以执行相关的业务逻辑,例如验证输入数据的有效性和与数据库的交互。服务层处理完这些逻辑后,进一步与数据访问对象层(DAO层)交互,后者负责具体的数据操作如详情、修改或删除用户信息,并将操作结果返回给控制器。最终,控制器根据这些结果更新视图层,以便用户功能可以看到最新的信息或相应的操作反馈。如图5-7所示:

图5-7用户界面
教师管理功能在视图层(view层)进行交互,比如点击“搜索、新增或删除教师表单。这些教师表单动作被视图层捕获并作为请求发送给相应的控制器层(controller层)。控制器接收到这些请求后,调用服务层(service层)以执行相关的业务逻辑,例如验证输入数据的有效性和与数据库的交互。服务层处理完这些逻辑后,进一步与数据访问对象层(DAO层)交互,后者负责具体的数据操作如详情、修改或删除教师信息,并将操作结果返回给控制器。最终,控制器根据这些结果更新视图层,以便教师功能可以看到最新的信息或相应的操作反馈。如图5-8所示:

图5-8教师管理界面
课程类型管理功能在视图层(view层)进行交互,比如点击“搜索、新增或删除课程类型表单。这些课程类型表单动作被视图层捕获并作为请求发送给相应的控制器层(controller层)。控制器接收到这些请求后,调用服务层(service层)以执行相关的业务逻辑,例如验证输入数据的有效性和与数据库的交互。服务层处理完这些逻辑后,进一步与数据访问对象层(DAO层)交互,后者负责具体的数据操作如详情、修改或删除课程类型,并将操作结果返回给控制器。最终,控制器根据这些结果更新视图层,以便课程类型功能可以看到最新的信息或相应的操作反馈。如图5-9所示:

图5-9课程类型管理主界面
5.2.2教师功能实现
教师进入主页面,主要功能包括对文件信息管理、课程信息管理、选课信息管理、退课信息管理、课堂签到管理、学习进度管理、请假信息管理、系统管理、我的信息等进行操作。教师主界面如图5-10示:

图5-10教师主界面
源码无偿分享,文未领取
更多推荐

所有评论(0)